

1、单选题:
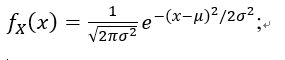
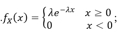
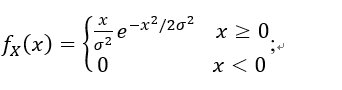
以下随机变量的概率密度函数哪一个为指数分布的概率密度函数?
选项:
A: 
B: 
C: 
D: 
答案: 【
】
2、多选题:
下列选项那些可以认为是随机变量?
选项:
A: 电源中的电压值;
B: 天空中的云彩;
C: 主动声纳回波信号时刻;
D: 硬币的正面。
答案: 【 电源中的电压值;;
主动声纳回波信号时刻;】
3、多选题:
以下哪种情况两个随机变量X、Y相互独立?
选项:
A: X、Y不相关;
B: 
C: X、Y的方差相同;
D: 
答案: 【
;
】
4、判断题:
确定性事件可以认为是随机事件的特例。
选项:
A: 正确
B: 错误
答案: 【 正确】
5、判断题:
条件概率P[A|B]中,事件B是否必须要在时间上先于事件A发生。
选项:
A: 正确
B: 错误
答案: 【 错误】
6、判断题:
事件A和事件B统计独立,两事件可能同时发生。
选项:
A: 正确
B: 错误
答案: 【 正确】
7、判断题:
连续型随机变量X的概率密度函数fX(x)的最大取值是1?
选项:
A: 正确
B: 错误
答案: 【 错误】
8、判断题:
随机变量数学期望值是随机变量取值的中值。
选项:
A: 正确
B: 错误
答案: 【 错误】
9、判断题:
高斯随机变量的分布函数只取决于一阶矩和二阶矩。
选项:
A: 正确
B: 错误
答案: 【 正确】
10、判断题:
两个随机变量正交和不相关是等价。
选项:
A: 正确
B: 错误
答案: 【 错误】
11、判断题:
若随机变量的方差等于零,可以说这个随机变量以概率1收敛于常数。
选项:
A: 正确
B: 错误
答案: 【 正确】
12、判断题:
样本均值是一个随机变量。
选项:
A: 正确
B: 错误
答案: 【 正确】
13、判断题:
事件A的相对频率可以直接替代随机变量的概率。
选项:
A: 正确
B: 错误
答案: 【 错误】
14、判断题:
两个高斯随机变量不相关则两个随机变量相互独立。
选项:
A: 正确
B: 错误
答案: 【 正确】
15、判断题:

选项:
A: 正确
B: 错误
答案: 【 错误】
16、判断题:
一个随机变量的数字特征仍然是随机变量。
选项:
A: 正确
B: 错误
答案: 【 正确】
17、填空题:
随机变量经过( )变换后仍是随机变量。
答案: 【 线性】
1、单选题:
连续型随机变量X的概率密度函数fX(x)的最大取值是1?
选项:
A: 错误
B: 正确
C: 不一定错误
D: 不一定正确
答案: 【 错误】
2、单选题:
以下随机变量的概率密度函数哪一个为指数分布的概率密度函数?
选项:
A: 
B: 
C: 
D: 
答案: 【
】
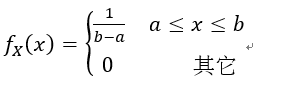
3、单选题:

选项:
A: a
B: b+a
C: 
D: (a+b)/2
答案: 【 (a+b)/2】
4、多选题:
下列选项那些可以认为是随机变量?
选项:
A: 电源中的电压值;
B: 天空中的云彩;
C: 主动声纳回波信号时刻;
D: 硬币的正面。
答案: 【 电源中的电压值;;
主动声纳回波信号时刻;】
5、多选题:
以下哪种情况两个随机变量X、Y相互独立?
选项:
A: X、Y不相关;
B: 
C: X、Y的方差相同;
D: 
答案: 【
;
】
6、判断题:
确定性事件可以认为是随机事件的特例。
选项:
A: 正确
B: 错误
答案: 【 正确】
7、判断题:
条件概率P[A|B]中,事件B是否必须要在时间上先于事件A发生。
选项:
A: 正确
B: 错误
答案: 【 错误】
8、判断题:
事件A和事件B统计独立,两事件可能同时发生。
选项:
A: 正确
B: 错误
答案: 【 正确】
9、判断题:

选项:
A: 正确
B: 错误
答案: 【 正确】
10、判断题:
随机变量数学期望值是随机变量取值的中值。
选项:
A: 正确
B: 错误
答案: 【 错误】
11、判断题:
高斯随机变量的分布函数只取决于一阶矩和二阶矩。
选项:
A: 正确
B: 错误
答案: 【 正确】
12、判断题:
两个随机变量正交和不相关是等价。
选项:
A: 正确
B: 错误
答案: 【 错误】
13、判断题:
若随机变量的方差等于零,可以说这个随机变量以概率1收敛于常数。
选项:
A: 正确
B: 错误
答案: 【 正确】
14、判断题:
样本均值是一个随机变量。
选项:
A: 正确
B: 错误
答案: 【 正确】
15、判断题:
事件A的相对频率可以直接替代随机变量的概率。
选项:
A: 正确
B: 错误
答案: 【 错误】
16、判断题:

选项:
A: 正确
B: 错误
答案: 【 错误】
17、判断题:
两个高斯随机变量不相关则两个随机变量相互独立。
选项:
A: 正确
B: 错误
答案: 【 正确】
18、判断题:
随机变量X、Y的均值和方差均相等,则这两个随机变量相等
选项:
A: 正确
B: 错误
答案: 【 错误】
19、判断题:
一个随机变量的数字特征仍然是随机变量。
选项:
A: 正确
B: 错误
答案: 【 错误】
20、判断题:
两个随机变量的相关系数为负值,说明两个随机变量不相关。
选项:
A: 正确
B: 错误
答案: 【 错误】
21、判断题:
多个随机变量之和构成新的随机变量,当个数足够多时和随机变量为正态随机变量。
选项:
A: 正确
B: 错误
答案: 【 错误】
22、填空题:
随机变量经过( )变换后仍是随机变量。
答案: 【 线性】
1、单选题:
随机过程的数学期望,是随机过程的( )平均,而非( )平均
选项:
A: 统计平均,时间平均
B: 时间平均,统计平均
C: 集合平均,统计平均
D: 统计平均,集合平均
答案: 【 统计平均,时间平均】
2、单选题:
随机过程X(t)的互相关函数,描述了( )个随机过程任意( )个不同时刻状态之间的相互关系(相关程度)
选项:
A: 1,2
B: 2,1
C: 2,2
D: 1,1
答案: 【 2,2】
3、单选题:
如果两个随机过程相互独立,则这两个随机过程之间没有( )关系。如果两个随机过程互不相关,则这两个随机过程之间没有( )关系
选项:
A: 任何,线性
B: 任何,任何
C: 线性,线性
D: 线性,任何
答案: 【 任何,线性】
4、多选题:
确定随机试验的3个基本要素是什么?
选项:
A: 相同条件下可以重复;
B: 结果不止一个;
C: 试验之前却不能断言它出现哪个结果
D: 不同条件下可以重复
答案: 【 相同条件下可以重复;;
结果不止一个;;
试验之前却不能断言它出现哪个结果】
5、多选题:
随机过程宽平稳的判据有?
选项:
A: 数学期望是一常数
B: 自相关函数只与时间间隔有关,
C: 均方值是常数
D: 均方值有限
答案: 【 数学期望是一常数;
自相关函数只与时间间隔有关,】
6、判断题:
某次试验的随机变量,可以描述该次随机试验的所有结果,对吗?
选项:
A: 正确
B: 错误
答案: 【 正确】
7、判断题:
随机过程是把以时间t作为参数的随机函数的统称,对吗?
选项:
A: 正确
B: 错误
答案: 【 正确】
8、判断题:
随机过程的一维概率密度,描述的是随机过程在任一特定时刻对应的随机变量的一维概率密度。
选项:
A: 正确
B: 错误
答案: 【 正确】
9、判断题:
随机过程的二维概率密度,描述的是随机过程在任意两个时刻的两个随机变量的二维概率密度
选项:
A: 正确
B: 错误
答案: 【 正确】
10、判断题:
随机过程的数字特征,指的是随机过程里的随机变量的数字特征
选项:
A: 正确
B: 错误
答案: 【 正确】
11、判断题:
随机过程X(t)方差的物理意义,是随机过程在某一时刻的随机变量取值,偏离中心值的程度
选项:
A: 正确
B: 错误
答案: 【 正确】
12、判断题:
随机过程X(t)的自相关函数,描述了两个随机过程任意两个不同时刻状态 之间的相互关系(相关程度)
选项:
A: 正确
B: 错误
答案: 【 错误】
13、判断题:
随机过程 X(t)同时刻的自相关函数,即为该时刻的方差
选项:
A: 正确
B: 错误
答案: 【 错误】
14、判断题:
随机过程X(t) 的自相关函数是自协方差函数在方差为0时的特例
选项:
A: 正确
B: 错误
答案: 【 正确】
15、判断题:
概率密度和数字特征均是随机变量、随机过程特征的描述方法,对吗?
选项:
A: 正确
B: 错误
答案: 【 正确】
16、判断题:
独立一定不相关,不相关一定独立,对吗?
选项:
A: 正确
B: 错误
答案: 【 错误】
17、判断题:
一个随机过程,如果它的特性不随观测时间起点的选择而变化,那么这个随机过程是平稳的,对吗?
选项:
A: 正确
B: 错误
答案: 【 正确】
18、判断题:
严平稳随机过程的数学期望,均是与时间t无关的常数,对吗?
选项:
A: 正确
B: 错误
答案: 【 正确】
19、判断题:
宽平稳随机过程的自相关函数只与时间间隔有关
选项:
A: 正确
B: 错误
答案: 【 正确】
20、判断题:
如果一个随机过程具有遍历性,则从随机过程的任何一个样本函数就可以得到随机过程的全部统计信息,对吗?
选项:
A: 正确
B: 错误
答案: 【 正确】
21、判断题:
时间平均是对样本函数不同时刻的状态求平均,统计平均是对随机变量的状态求平均
选项:
A: 正确
B: 错误
答案: 【 正确】
22、判断题:
宽遍历(各态历经)过程是平稳随机过程,对吗?
选项:
A: 正确
B: 错误
答案: 【 正确】
23、判断题:
对于一个遍历的噪声,可以通过时间均值、统计均值计算其直流分量
选项:
A: 正确
B: 错误
答案: 【 正确】
24、判断题:
对于一个遍历的噪声,可以通过均方值计算其总能量
选项:
A: 正确
B: 错误
答案: 【 错误】
25、填空题:
( )是随机试验中的基本事件
答案: 【 随机试验的每一种可能结果】
26、填空题:
从随机过程的第一种定义出发,可以将随机过程看成( )。
答案: 【 样本函数族】
27、填空题:
从随机过程的第二种定义出发,可以将随机过程看成( )。
答案: 【 随机变量族】
28、填空题:
按时间和状态的特点分类,时间连续,状态离散的随机过程称为( )
答案: 【 离散型随机过程】
29、填空题:
平稳随机过程,是按( )对随机过程分类中的一种
答案: 【 概率密度特征】
30、填空题:
白色随机过程中的“白色”,描述的是随机过程的( )特征
答案: 【 频谱】
1、单选题:
随机过程的数学期望,是随机过程的( )平均,而非( )平均
选项:
A: 统计平均,时间平均
B: 时间平均,统计平均
C: 集合平均,统计平均
D: 统计平均,集合平均
答案: 【 统计平均,时间平均】
2、单选题:
随机过程X(t)的互相关函数,描述了( )个随机过程任意( )个不同时刻状态之间的相互关系(相关程度)
选项:
A: 1,2
B: 2,1
C: 2,2
D: 1,1
答案: 【 2,2】
3、单选题:
如果两个随机过程相互独立,则这两个随机过程之间没有( )关系。如果两个随机过程互不相关,则这两个随机过程之间没有( )关系
选项:
A: 任何,线性
B: 任何,任何
C: 线性,线性
D: 线性,任何
答案: 【 任何,线性】
4、单选题:
实现遍历过程时间自相关的三部曲正确的顺序是( ),( )和( )
选项:
A: 平移、点对点相乘、相加
B: 相加、点对点相乘,平移
C: 点对点相乘、平移、相加
D: 相加、平移、点对点相乘
答案: 【 平移、点对点相乘、相加】
5、单选题:
实现卷积运算的的四部曲( ),( ),( )和( )
选项:
A: 反转、相加、点对点相乘,平移
B: 反转、平移、点对点相乘、相加
C: 点对点相乘、平移、相加、反转
D: 点对点相乘、平移、反转、相加
答案: 【 反转、平移、点对点相乘、相加】
6、单选题:
若平稳随机过程含有一个周期分量,则其自相关函数则含有一个( )的周期分量
选项:
A: 0.5倍周期
B: 1倍周期
C: 2倍周期
D: 3倍周期
答案: 【 1倍周期】
7、单选题:

选项:
A: 1
B: 0
C: 2
D: 5
答案: 【 0】
8、单选题:

选项:
A: 
B: 
C: 
D: 
答案: 【
】
9、单选题:

选项:
A: 0
B: 1
C: 2
D: 5
答案: 【 5】
10、单选题:

选项:
A: 
B: 
C: 
D: 
答案: 【 
备案号:冀ICP备20010840号 2020-2099辉辉网络科技 All Rights Reserved