

1、单选题:
手机属于。
选项:
A: 机械
B: 机构
C: 机器
D: 即不属机构,也不属机器
答案: 【 机器】
2、单选题:
下列常用装置哪些属于机器。
选项:
A: 电动卷扬机
B: 折叠烫衣板
C: 手动窗扇开闭装置
D: 汽车引擎罩铰链装置
答案: 【 电动卷扬机】
3、单选题:
下列常用装置哪些属于机构
选项:
A: 活动扳手
B: 电梯
C: 摩托车
D: 洗衣机
答案: 【 活动扳手】
4、单选题:
机构的特征完整表述
选项:
A: 三者均应具备
B: 人为实物的组合体
C: 具有确定的机械运动
D: 用来变换或传递运动或力
答案: 【 三者均应具备】
5、单选题:
机器的特征完整表述
选项:
A: 三者均具备
B: 人为实物的组合体
C: 具有确定的机械运动
D: 用来变换或传递能量、物料、信息的功能
答案: 【 三者均具备】
6、单选题:
机械原理课程的研究内容下列哪些表述是不准确的
选项:
A: 有关各种机器与机构的工作原理及设计问题
B: 有关机械的基本理论问题
C: 有关机构的结构学、运动学及动力学和常用机构的分析与综合以及机械传动方案设计的问题
D: 有关各种机器和机构所具有的一般共性问题和各种常用机构的分析与设计方法,以及机械系统运动方案设计的问题
答案: 【 有关各种机器与机构的工作原理及设计问题】
7、单选题:
一般机器的主要组成部分应为
选项:
A: 驱动部分+传动部分+执行部分+ 控制部分
B: 驱动部分+执行部分
C: 驱动部分+传动部分+执行部分
D: 驱动部分+传动部分+执行部分+ 控制部分+智能部分
答案: 【 驱动部分+传动部分+执行部分+ 控制部分】
8、单选题:
在下列机械产品设计过程的各设计环节中,哪个设计环节需用机械原理课程的知识来完成
选项:
A: 机械传动方案设计
B: 机械的概念设计
C: 机械的结构设计
D: 产品的外观设计
答案: 【 机械传动方案设计】
9、单选题:
下列机械未来发展方向的表述中,哪些表述是不正确的
选项:
A: 机构向智能机构的方向发展
B: 机械向智能机械的方向发展
C: 机器向机器人和智能机器人,再向智能仿生机器人的方向发展
D: 机构是向电、液、气、磁、声、光、热等传动机构的方向发展
答案: 【 机构向智能机构的方向发展】
10、单选题:
如何学习机械原理课程,正确的学习方法是
选项:
A: 除了打好数学、物理、理论力学及制图等先修课知识,采取理论联系实际、建立工程观点和用逻辑、抽象及形象思维和丰富想象力才能学好
B: 机械原理是一门古老的学科,机械本身比较死板,其内容变化不太多,采用死记硬背的方法就可以学好
C: 机械原理课程内容中运用了大量的理论力学的知识,掌握好理论力学的理论和方法就可顺利地学好
D: 结合一些机械原理课程考试题,有针对性的学习课程就可以学好
答案: 【 除了打好数学、物理、理论力学及制图等先修课知识,采取理论联系实际、建立工程观点和用逻辑、抽象及形象思维和丰富想象力才能学好】
1、单选题:
下列哪些组成结构属于复合铰链( )
选项:
A: 
B: 
C: 
D: 
答案: 【
】
2、单选题:
在下列图示机构中的各高副中,哪些高副属于平面复合高副

选项:
A: 图c中齿轮1与齿轮2的接触高副算两个约束;
B: 图b中偏心轮1与构件2的两处接触高副也只算一个约束;
C: 图a中滚子2与杆3的两处接触组成高副只算一个约束
D: 图c中齿轮2与齿轮4的接触高副算一个约束
答案: 【 图c中齿轮1与齿轮2的接触高副算两个约束;】
3、单选题:
计算下列图示各机构的自由度如下,哪个计算结果是错误的

选项:
A: 图C机构的自由度为2
B: 图A机构的自由度为1
C: 图B机构的自由度为1
D: 图D机构的自由度为1
答案: 【 图C机构的自由度为2】
4、单选题:
当机构的原动件数目小于其自由度数时,该机构( )确定的运动
选项:
A: 不完全有
B: 具有
C: 没有
D: 薄弱环节将能破坏
答案: 【 不完全有】
5、单选题:
下列装置在满足功能运动要求时其机构所需的自由度, 是不正确的
选项:
A: 汽车千斤顶机构需有两个自由度
B: 设计一擦黑板装置所需控制其板擦的机构的自由度为2
C: 可调臂台灯的可调节臂机构需要3个自由度。
D: 共有N节的收音机拉杆天线的伸缩自由度为N–1
答案: 【 汽车千斤顶机构需有两个自由度】
6、单选题:
某一平面机构共有5个低副和1个高副,其机构的自由度为1,问该机构具有( )个活动构件
选项:
A: 4
B: 2
C: 3
D: 5
答案: 【 4】
7、单选题:
三个构件相互接触而构成了两个转动副,符合下列 情况者属于复合铰链
选项:
A: 两转动副的轴线重合
B: 两转动副的轴线平行而不重合
C: 两转动副的轴线相交垂直
D: 两转动副的轴线既不重合平行,也不相交垂直,而是相错
答案: 【 两转动副的轴线重合】
8、单选题:
平面运动副的最大约束数为____, 最小约束数为_____。
选项:
A: 2 , 1
B: 5,1
C: 4,1
D: 3,1
答案: 【 2 , 1】
9、单选题:
引入一个约束的平面运动副有____,引入两个约束的平面运动副有___。
选项:
A: 齿轮高副和凸轮高副,转动副和移动副
B: 平面高副,平面副
C: 点高副,平面低副
D: 槽销副,复合铰链
答案: 【 齿轮高副和凸轮高副,转动副和移动副】
10、单选题:
一个运动链要变成为一个机构,()
选项:
A: 必须取其中一个构件为机架
B: 必须使运动链中原动件数目等于其自由度数;
C: 必须使运动链的自由度大于零
D: 必须选择运动链中一构件为原动件
答案: 【 必须取其中一个构件为机架】
11、单选题:
某一平面机构共有5个低副和1个高副,其机构的自由度为1,问该机构具有( )个活动构件。
选项:
A: 4
B: 2
C: 3
D: 5
答案: 【 4】
12、单选题:
对于下图所示机构自由度F计算,确定下列哪些分析是正确的( )

选项:
A: 因机构中两滑块铰接铰接前后B点的轨迹相重合,故此处存在1个虚约束
B: 应将两滑块铰接的构件组除去,再计算F = 2
C: 因两滑块不会发生相对转动运动,应除去其转动副再计算F = 4
D: 该机构中无复合铰链、局部自由度及虚约束,计算F = 2
答案: 【 该机构中无复合铰链、局部自由度及虚约束,计算F = 2】
13、单选题:
对于图示机构按机构自由度计算一般公式[ F = 3n –(2 pl + ph – p ‘)– F ‘ ]的形式给出了不同的计算式,试分析哪个计算式是错误的( )。

选项:
A: F = 3×7 –(2×9 + 2 – 2)– 2 = 1
B: F = 3×7 –(2×9+ 2– 0)– 0 = 1
C: F = 3×7 –(2×8+ 2 – 0)– 2 = 1
D: F = 3×5 –(2×6+ 2– 0)– 0 = 1
答案: 【 F = 3×7 –(2×9+ 2– 0)– 0 = 1】
14、单选题:
试确定图示插齿机的自由度,判断下列哪些分析步骤是正确的。( )

选项:
A: 机构中的活动构件数为n = 4
B: 机构中无复合铰链,pl = 4;
C: 机构中齿轮高副提供了两个约束,ph=2
D: 机构的自由度为F = 3×4–(2×4 + 2 –0)– 0 =2
答案: 【 机构中的活动构件数为n = 4】
15、单选题:
计算图示机构的自由度,若有复合铰链、局部自由度、虚约束,必需注明。试判断下列哪个分析是错误的。( )

选项:
A: 机构中的活动构件数n = 4
B: 机构中A处为复合铰链,而无局部自由度,pl = 4,ph=2 ,F ‘=0
C: D处齿轮被B和C处两高副约束,右侧两副杆连接所引入约束为虚约束,p ‘=1
D: 机构自由度计算结果应为F = 2
答案: 【 D处齿轮被B和C处两高副约束,右侧两副杆连接所引入约束为虚约束,p ‘=1】
16、单选题:
计算图示机构的自由度,并确定该机构的级别,其中小齿轮为原动件。若有复合铰链、局部自由度、虚约束,必须注明。试判断下列计算分析哪个是不正确的。( )

选项:
A: 该机构有一个II级组和一个III级组,该机构为III级机构
B: 按图示机构计算:F = 3×6 –2×8– 1= 1
C: 高副低代后计算:F = 3×7 –2×10 = 1
D: 该机构有三个II级组,该机构为II级机构。
答案: 【 该机构有三个II级组,该机构为II级机构。】
17、多选题:
如果将下列各图所示的机构的部分结构图绘出机构运动简图,那么其中构件2的不正确表达为

选项:
A: 图a中构件2为曲柄
B: 图b中构件2为凸轮
C: 图c中构件2为摇块
D: 图b中构件2也曲柄
答案: 【 图a中构件2为曲柄;
图b中构件2为凸轮;
图c中构件2为摇块】
18、多选题:
图示机构能否具有确定运动并实现设计者意图? 如不能,应如何修改? 试指出下列哪些分析结论或改进方案是正确的( )。

选项:
A: 因该机构中一个原动件,该机构可以运动
B: 计算此机构的自由度F = 0,故该机构不能运动
C: 因构件CDE与滑块和机架组成了不可相对运动的结构,故不能运动
D: 只要在滑块的转动副处再引入1个构件和1个转动副,该机构便可运动。
答案: 【 计算此机构的自由度F = 0,故该机构不能运动;
因构件CDE与滑块和机架组成了不可相对运动的结构,故不能运动;
只要在滑块的转动副处再引入1个构件和1个转动副,该机构便可运动。】
19、多选题:
图示机构的自由度计算中,下列哪些分析结果是正确的( )

选项:
A: 该机构的自由度等于1。
B: 该机构的自由度计算等于0
C: 该机构是不能运动的
D: 该机构存在1个虚约束
答案: 【 该机构的自由度等于1。;
该机构存在1个虚约束】
20、多选题:
对于下图所示机构自由度计算,确定下列哪些表述是正确的( )

选项:
A: 该机构的自由度计算应等于0
B: 机构中C和F两处转动副均为复合铰链
C: 机构中存在1个虚约束
D: 该机构的自由度计算应等于1。
答案: 【 机构中C和F两处转动副均为复合铰链;
机构中存在1个虚约束;
该机构的自由度计算应等于1。】
21、多选题:
计算图示齿轮-连杆组合机构的自由度。当构件H为原动件时,该机构的运动是否确定?若存在复合铰链、局部自由度和虚约束,应指明。试指出下列哪些分析结果是正确的( )

选项:
A: 机构中无局部自由度和虚约束
B: 机构中无复合铰链,则F = 3×5 – 2×5– 1 = 4
C: 机构中有复合铰链,则F = 3×5 – 2×6– 1 = 2
D: 该机构的运动确定
E: 该机构的运动不确定
答案: 【 机构中无局部自由度和虚约束;
机构中有复合铰链,则F = 3×5 – 2×6– 1 = 2;
该机构的运动不确定】
22、多选题:
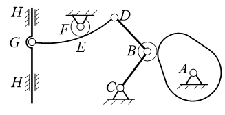
图示机构为一齿轮-连杆组合机构(图中各圆均表示齿轮),计算其机构的自由度,若机构AB杆为原动件时,问该机构是否运动确定?机构中若有复合铰链、局部自由度和虚约束,应明确指出。

选项:
A: 机构中无局部自由度和虚约束
B: 机构中B、C两处转动副为复合铰链
C: 机构中A、B两处转动副为复合铰链
D: 机构的自由度F = 3×6 – 2×7– 3 = 1
E: 该机构的运动确定
答案: 【 机构中无局部自由度和虚约束;
备案号:冀ICP备20010840号 2020-2099辉辉网络科技 All Rights Reserved