

1、单选题:
指出下面的变量哪一个是属于分类变量()
选项:
A: 年龄
B: 工资
C: 汽车产量
D: 购买商品时的支付方式(现金,信用卡,支票)
答案: 【 购买商品时的支付方式(现金,信用卡,支票)】
2、单选题:
指出下面的变量哪一个是属于顺序变量()
选项:
A: 年龄
B: 工资
C: 汽车产量
D: 员工对企业某项改革措施的态度(赞成、中立、反对)
答案: 【 员工对企业某项改革措施的态度(赞成、中立、反对)】
3、单选题:
指出下面的变量哪一个属于数值型变量?
选项:
A: 年龄
B: 性别
C: 企业类型
D: 员工对企业某项改革措施的态度(赞成、中立、反对)
答案: 【 年龄】
4、单选题:
某研究部门准备在全市200万个家庭中抽取2000个家庭,推断该城市所有职工家庭的年人均收入。这项研究的总体是( )。
选项:
A: 2000个家庭
B: 200万个家庭
C: 2000个家庭的人均收入
D: 200万个家庭的总收入
答案: 【 200万个家庭】
5、单选题:
某研究部门准备在全市200万个家庭中抽取2000个家庭,推断该城市所有职工家庭的年人均收入。这项研究的样本是( )。
选项:
A: 2000个家庭
B: 200万个家庭
C: 2000个家庭的总收入
D: 200万个家庭的人均收入
答案: 【 2000个家庭】
6、单选题:
某研究部门准备在全市200万个家庭中抽取2000个家庭,推断该城市所有职工家庭的年人均收入。这项研究的参数是( )。
选项:
A: 2000个家庭
B: 200万个家庭
C: 2000个家庭的人均收入
D: 200万个家庭的人均收入
答案: 【 200万个家庭的人均收入】
7、单选题:
某研究部门准备在全市200万个家庭中抽取2000个家庭,推断该城市所有职工家庭的年人均收入。这项研究的统计量是( )
选项:
A: 2000个家庭
B: 200万个家庭
C: 2000个家庭的人均收入
D: 200万个家庭的人均收入
答案: 【 2000个家庭的人均收入】
8、单选题:
一家研究机构从IT从业者中随机抽取500人作为样本进行调查,其中60%回答他们的月收人在5000元以上,50%回答他们的消费支付方式是用信用卡。这里的总体是( )。
选项:
A: IT业的全部从业者
B: 500个IT从业者
C: IT从业者的总收入
D: IT从业者的消费支付方式
答案: 【 IT业的全部从业者】
9、单选题:
一家研究机构从IT从业者中随机抽取500人作为样本进行调查,其中60%回答他们的月收入在5000元以上,50%回答他们的消费支付方式是用信用卡。这里的“月收入”是( )。
选项:
A: 分类变量
B: 顺序变量
C: 数值型变量
D: 离散型变量
答案: 【 数值型变量】
10、单选题:
一名统计学专业的学生为了完成其统计作业,在《统计年鉴》中找到了2006年城镇家庭的人均收入数据。这一数据属于( )。
选项:
A: 分类数据
B: 顺序数据
C: 截面数据
D: 时间序列数据
答案: 【 截面数据】
11、单选题:
下列不属于描述统计问题的是( )。
选项:
A: A.根据样本信息对总体进行的推断
B: 了解数据分布的特征
C: 分析感兴趣的总体特征
D: 利用图.表或其他数据汇总工具分析数据
答案: 【 A.根据样本信息对总体进行的推断】
12、单选题:
某大学的一位研究人员希望估计该大学本科生平均每月的生活费支出,为此,他调查了200名学生,发现他们每月平均生活费支出是500元。该研究人员感兴趣的总体是( )。
选项:
A: A.该大学的所有学生
B: 该校所有大学生的总生活费支出
C: 该大学所有的在校本科生
D: 所调查的200名学生
答案: 【 该大学所有的在校本科生】
13、单选题:
某大学的一位研究人员希望估计该大学本科生平均每月的生活费支出,为此,他调查了200名学生,发现他们每月平均生活费支出是500元。该研究人员感兴趣的参数是( )。
选项:
A: 该大学的所有学生人数
B: 该大学所有本科生的月平均生活费支出
C: 该大学所有本科生的月生活费支出
D: 所调查的200名学生的月平均生活费支出
答案: 【 该大学所有本科生的月平均生活费支出】
14、单选题:
某大学的一位研究人员希望估计该大学本科生平均每月的生活费支出,为此,他调查了200名学生,发现他们每月平均生活费支出是500元。该研究人员感兴趣的统计量是( )。
选项:
A: 该大学的所有学生人数
B: 该大学所有本科生的月平均生活费支出
C: 该大学所有本科生的月生活费支出
D: 所调查的200名学生的月平均生活费支出
答案: 【 所调查的200名学生的月平均生活费支出】
15、单选题:
在下列叙述中,采用推断统计方法的是( )。
选项:
A: 用饼图描述某企业职工的学历构成
B: 从一个果园中采摘36个橘子,利用这36个橘子的平均重量估计果园中橘子的平均重量
C: 一个城市在1月份的平均汽油价格
D: 反映大学生统计学成绩的条形图
答案: 【 从一个果园中采摘36个橘子,利用这36个橘子的平均重量估计果园中橘子的平均重量】
16、单选题:
一项民意调查的目的是想确定年轻人愿意与其父母讨论的话题。调查结果表明:45%的年轻人愿意与其父母讨论家庭财务状况,38%的年轻人愿意与其父母讨论有关教育的话题,15%的年轻人愿意与其父母讨论爱情问题。该调查所收集的数据是( )。
选项:
A: 分类数据
B: 顺序数据
C: 数值型数据
D: 实验数据
答案: 【 分类数据】
17、单选题:
根据样本计算的用于推断总体特征的概括性度量值称作( )。
选项:
A: 参数
B: 总体
C: 样本
D: 统计量
答案: 【 统计量】
18、单选题:
为了估计某城市中拥有汽车的家庭比例,抽取500个家庭的一个样本,得到拥有汽车的家庭比例为35%,这里的35%是( )。
选项:
A: 参数值
B: 统计量的值
C: 样本量
D: 变量
答案: 【 统计量的值】
19、单选题:
到商场购物停车变得越来越困难,管理人员希望掌握顾客找到停车位的平均时间。为此,某个管理人员跟踪了50名顾客并记录下他们找到车位的时间。这里管理人员感兴趣的总体是( )。
选项:
A: 管理人员跟踪过的50名顾客
B: 上午在商场停车的顾客
C: 在商场停车的所有顾客
D: 到商场购物的所有顾客
答案: 【 在商场停车的所有顾客】
20、单选题:
某手机厂商认为,如果流水线上组装的手机出现故障的比例每天不超过3%,则组装过程是令人满意的。为了检验某天生产的手机质量,厂商从当天生产的手机中随机抽取了30部进行检测。手机厂商感兴趣的总体是( )
选项:
A: 当天生产的全部手机
B: 抽取的30部手机
C: 3%有故障的手机
D: 30部手机的检测结果
答案: 【 当天生产的全部手机】
21、单选题:
最近发表的一份报告称,“由150部新车组成的一个样本表明,外国新车的价格明显高于本国生产的新车”。这一结论属于( )。
选项:
A: 对样本的描述
B: 对样本的推断
C: 对总体的描述
D: 对总体的推断
答案: 【 对总体的推断 】
22、单选题:
只能归于某一类别的非数字型数据称为( )。
选项:
A: 分类数据
B: 顺序数据
C: 数值型数据
D: 数值型变量
答案: 【 分类数据】
23、单选题:
只能归于某一有序类别的非数字型数据称为( )。
选项:
A: 分类数据
B: 顺序数据
C: 数值型数据
D: 数值型变量
答案: 【 顺序数据】
24、单选题:
按数字尺度测量的观察值称为( )。
选项:
A: 分类数据
B: 顺序数据
C: 数值型数据
D: 数值型变量
答案: 【 数值型数据】
25、单选题:
通过调查或观测而收集到的数据称为( )。
选项:
A: 观测数据
B: 实验数据
C: 时间序列数据
D: 截面数据
答案: 【 观测数据】
26、单选题:
在相同或近似相同的时间点上收集的数据称为( )。
选项:
A: 观测数据
B: 实验数据
C: 时间序列数据
D: 截面数据
答案: 【 截面数据 】
27、单选题:
在不同时间点上收集的数据称为( )。
选项:
A: 观测数据
B: 实验数据
C: 时间序列数据
D: 截面数据
答案: 【 时间序列数据】
28、单选题:
研究者想要了解的总体的某种特征值称为( )。
选项:
A: 参数
B: 统计量
C: 变量
D: 变量值
答案: 【 参数】
29、单选题:
用来描述样本特征的概括性数字度量称为( )。
选项:
A: 参数
B: 统计量
C: 变量
D: 变量值
答案: 【 统计量】
30、多选题:
下列变量中是连续变量的有()
选项:
A: 产品产值
B: 商品销售额
C: 产品总成本
D: 工资总额
E: 基本单位数量
答案: 【 产品产值;
商品销售额;
产品总成本;
工资总额】
31、多选题:
按照所采用的计量尺度,统计数据可以分为()
选项:
A: 分类数据
B: 实验数据
C: 顺序数据
D: 二手数据
E: 数值型数据
答案: 【 分类数据;
顺序数据;
数值型数据】
32、多选题:
数值型变量根据其取值的不同,可以分为( )。
选项:
A: 离散变量
B: 顺序变量
C: 连续变量
D: 随机变量
E: 非随机变量
答案: 【 离散变量;
连续变量】
33、多选题:
分类数据和顺序数据统称( )。
选项:
A: 二手数据
B: 定性数据
C: 品质数据
D: 定量数据
E: 数值型数据
答案: 【 定性数据;
品质数据】
34、多选题:
连续变量具有的特点包括( )。
选项:
A: 可以取无穷多个值
B: 取值连续不断
C: 只可以取有限值
D: 其取值都以整位数断开
E: 取值不能一一列举
答案: 【 可以取无穷多个值;
取值连续不断;
取值不能一一列举】
35、多选题:
变量可以分为( )。
选项:
A: 分类变量
B: 有序变量
C: 顺序变量
D: 无序变量
E: 数值型变量
答案: 【 分类变量;
顺序变量;
数值型变量】
1、单选题:
针对实际问题,一项完整的统计分析过程可分为四个阶段,即
选项:
A: 收集数据、计算数据、比较数据、解释数据
B: 收集数据、对比数据、解释数据、发布数据
C: 收集数据、整理数据、分析数据、解释数据
D: 收集数据、分析数据、发布数据、统计数据
答案: 【 收集数据、整理数据、分析数据、解释数据】
2、单选题:
以下说法正确的是
选项:
A: 方差分析属于描述统计。
B: 数据整理和排序属于描述统计
C: 参数估计属于描述统计
D: 回归分析属于描述统计
答案: 【 数据整理和排序属于描述统计】
3、多选题:
以下软件属于统计软件的是
选项:
A: SAS
B: SPSS
C: EXCEL
D: MINITAB
答案: 【 SAS;
SPSS;
EXCEL;
MINITAB】
1、单选题:
二手数据的特点是()
选项:
A: 采集数据的成本低,但搜集比较困难
B: 采集数据的成本低,搜集比较容易
C: 数据缺乏可靠
D: 不适合自己研究的需要
答案: 【 采集数据的成本低,搜集比较容易】
2、单选题:
从含有N个元素的总体中,抽取n个元素作为样本,使得总体中的每一个元素都有相同的机会(概率)被抽中,这样的抽样方式称为( )。
选项:
A: 简单随机抽样
B: 分层抽样
C: 系统抽样
D: 整群抽样
答案: 【 简单随机抽样】
3、单选题:
从总体中抽取一个元素后,把这个元素放回到总体中再抽取第二个元素,直至抽取n个元素为止,这样的抽样方法称为( )。
选项:
A: 重复抽样
B: 不重复抽样
C: 分层抽样
D: 整群抽样
答案: 【 重复抽样】
4、单选题:
一个元素被抽中后不再放回总体,然后再从剩下的元素中抽取第二个元素,直到抽取”个元素为止,这样的抽样方法称为( )。
选项:
A: 重复抽样
B: 不重复抽样
C: 分层抽样
D: 整群抽样
答案: 【 不重复抽样】
5、单选题:
在抽样之前先将总体的元素划分为若干类,然后从各个类中抽取一定数量的元素组成一个样本,这样的抽样方式称为( )。
选项:
A: 简单随机抽样
B: 分层抽样
C: 系统抽样
D: 整群抽样
答案: 【 分层抽样】
6、单选题:
先将总体各元素按某种顺序排列,并按某种规则确定一个随机起点,然后,每隔一定的间隔抽取一个元素,直至抽取n个元素形成一个样本。这样的抽样方式称为( )。A.简单随机抽样B.分层抽样C.系统抽样D.整群抽样【答案】C查看答案
选项:
A: 简单随机抽样
B: 分层抽样
C: 系统抽样
D: 整群抽样
答案: 【 系统抽样】
7、单选题:
先将总体划分成若干群,然后以群作为抽样单位从中抽取部分群,再对抽中的各个群中所包含的所有元素进行观察,这样的抽样方式称为( )。
选项:
A: 简单随机抽样
B: 分层抽样
C: 系统抽样
D: 整群抽样
答案: 【 整群抽样】
8、单选题:
为了调查某校学生的购书费用支出,从男生中抽取60名学生调查,从女生中抽取40名学生调查,这种调查方法是( )。
选项:
A: 简单随机抽样
B: 整群抽样
C: 系统抽样
D: 分层抽样
答案: 【 分层抽样】
9、单选题:
为了调查某校学生的购书费用支出,从全校抽取4个班级的学生进行调查,这种调查方法是( )。
选项:
A: 简单随机抽样
B: 系统抽样
C: 分层抽样
D: 整群抽样
答案: 【 整群抽样】
10、单选题:
为了调查某校学生的购书费用支出,将全校学生的名单按拼音顺序排列后,每隔50名学生抽取一名学生进行调查,这种调查方法是( )。
选项:
A: 简单随机抽样
B: 整群抽样
C: 系统抽样
D: 分层抽样
答案: 【 系统抽样】
11、单选题:
为了解女性对某种品牌化妆品的购买意愿,调查者在街头随意拦截部分女性进行调查。这种调查方式是( )。
选项:
A: 简单随机抽样
B: 分层抽样
C: 方便抽样
D: 自愿抽样
答案: 【 方便抽样】
12、单选题:
研究人员根据对研究对象的了解有目的选择一些单位作为样本,这种调查方式是( )。
选项:
A: 判断抽样
B: 分层抽样
C: 方便抽样
D: 自愿抽样
答案: 【 判断抽样】
13、单选题:
下面的哪种调查方式样本不是随机选取的( )。
选项:
A: 分层抽样
B: 系统抽样
C: 整群抽样
D: 判断抽样
答案: 【 判断抽样】
14、单选题:
下面的哪种抽样调查的结果不能用于对总体有关参数进行估计( )。
选项:
A: 分层抽样
B: 系统抽样
C: 整群抽样
D: 判断抽样
答案: 【 判断抽样】
15、单选题:
调查时首先选择一组调查单位,对其实施调查之后,再请他们提供另外一些属于研究总体的调查对象,调查人员根据所提供的线索,进行此后的调查。这样的调查方式称为( )。
选项:
A: 系统抽样
B: 整群抽样
C: 滚雪球抽样
D: 判断抽样
答案: 【 滚雪球抽样】
16、单选题:
如果要搜集某一特定群体的有关资料,适宜采用的调查方式是( )。
选项:
A: 系统抽样
B: 整群抽样
C: 滚雪球抽样
D: 判断抽样
答案: 【 滚雪球抽样】
17、单选题:
下面的哪种抽样方式不属于概率抽样( )。
选项:
A: 系统抽样
B: 整群抽样
C: 分层抽样
D: 滚雪球抽样
答案: 【 滚雪球抽样】
18、单选题:
先将总体中的所有单位按一定的标志(变量)分为若干类,然后在每个类中采用方便抽样或判断抽样的方式选取样本单位。这种抽样方式称为( )。
选项:
A: 分类抽样
B: 配额抽样
C: 系统抽样
D: 整群抽样
答案: 【 配额抽样】
19、单选题:
与概率抽样相比,非概率抽样的缺点是( )。
选项:
A: 样本统计量的分布是确定的
B: 无法使用样本的结果对总体相应的参数进行推断
C: 调查的成本比较高
D: 不适合探索性的研究
答案: 【 无法使用样本的结果对总体相应的参数进行推断】
20、单选题:
一家公司的人力资源部主管需要研究公司雇员的饮食习惯,改善公司餐厅的现状。他将问卷发给就餐者,填写后再收上来。他的收集数据的方法属于( )。
选项:
A: 自填式问卷调查
B: 面访式问卷调查
C: 实验调查
D: 观察式调查
答案: 【 自填式问卷调查】
21、单选题:
为了估计某城市愿意乘坐公交车上下班的人数的比例,在收集数据时,最有可能采用的数据搜集方法是( )。
选项:
A: 普查
B: 公开发表的资料
C: 随机抽样
D: 实验
答案: 【 随机抽样】
22、单选题:
某机构十分关心学生每周看电视的时间。该机构随机抽取300名小学生家长对他们的孩子每周看电视的时间进行了估计。结果表明,这些小学生每周看电视的平均时间为15小时,标准差为5小时。该机构搜集数据的方式是( )。
选项:
A: 概率抽样调查
B: 观察调查
C: 实验调查
D: 公开发表的资料
答案: 【 概率抽样调查】
23、单选题:
如果一个样本因人故意操纵而出现偏差,这种误差属于( )。
选项:
A: 抽样误差
B: 非抽样误差
C: 设计误差
D: 实验误差
答案: 【 非抽样误差】
24、单选题:
为了解居民对小区物业服务的意见和看法,管理人员随机抽取了50户居民,上门通过问卷进行调查。这种数据的收集方法称为( )。
选项:
A: 面访式问卷调查
B: 实验调查
C: 观察式调查
D: 自填式问卷调查
答案: 【 面访式问卷调查】
25、单选题:
指出下面的陈述中哪一个是错误的( )。
选项:
A: 抽样误差只存在于概率抽样中
B: 非抽样误差只存在于非概率抽样中
C: 无论是概率抽样还是非概率抽样都存在非抽样误差
D: 在全面调查中也存在非抽样误差
答案: 【 非抽样误差只存在于非概率抽样中】
26、单选题:
指出下面的误差哪一个属于抽样误差( )。
选项:
A: 随机误差
B: 抽样框误差
C: 回答误差
D: 无回答误差
答案: 【 随机误差】
27、单选题:
某居民小区为了解住户对物业服务的看法,准备采取抽样调查方式搜集数据。物业管理部门利用最初的居民户登记名单进行抽样。但现在的小区中,原有的一些居民户已经搬走,同时有些是新入住的居民户。这种调查产生的误差属于( )。
选项:
A: 随机误差
B: 抽样框误差
C: 回答误差
D: 无回答误差
答案: 【 抽样框误差】
28、单选题:
某居民小区为了解住户对物业服务的看法,准备采取抽样调查方式搜集数据。物业管理部门用居民户登记名单进行抽样。但现在的小区中,原有的一些居民户已经搬走而没有回答问题。这种调查产生的误差属于( )。
选项:
A: 随机误差
B: 抽样框误差
C: 回答误差
D: 无回答误差
答案: 【 无回答误差】
29、单选题:
某居民小区的物业管理者怀疑有些居民户有偷电行为。为了解住户的每月用电情况,采取抽样调查方式对部分居民户进行调查。发现有些居民户有虚报或瞒报情况。这种调查产生的误差属于( )。
选项:
A: 有意识误差
B: 抽样框误差
C: 回答误差
D: 无回答误差
答案: 【 有意识误差】
30、单选题:
某居民小区的物业管理者怀疑有些居民户有偷电行为。为了解住户的每月用电情况,采取抽样调查方式对部分居民户进行调查。发现调查员在登记电表数时有抄错的数据。这种调查产生的误差属于( )。
选项:
A: 有意识误差
B: 抽样框误差
C: 调查员误差
D: 无回答误差
答案: 【 调查员误差】
31、单选题:
指出下面的陈述哪一个是错误的( )。
选项:
A: 抽样误差是可以避免的
B: 非抽样误差是可以避免的
C: 抽样误差是不可避免的
D: 抽样误差是可以控制的
答案: 【 抽样误差是可以避免的】
32、多选题:
在估计总体比例的抽样调查中,计算必要样本容量时哪些方法可以用来估计总体方差:( )
选项:
A: 根据试点调查的结果估计
B: 根据历史资料估计
C: 将总体方差假设为0.25
D: 将总体比例假设为0.5
E: 将总体方差假设为0.5
答案: 【 根据试点调查的结果估计;
将总体方差假设为0.25;
将总体比例假设为0.5】
33、多选题:
抽样推断中,影响样本量大小的因素是( )。
选项:
A: 总体方差
B: 置信度
C: 极限误差
D: 总体均值
E: 总体偏度
答案: 【 总体方差;
置信度;
极限误差】
34、多选题:
在造成抽样数据的误差中,以下哪些属于非抽样误差( )。
选项:
A: 被调查人回答误差
B: 调查员误差
C: 抽样样本没有遵循随机原则
D: 样本容量太少而不具备代表性
E: 被调查人无回答误差
答案: 【 被调查人回答误差;
调查员误差;
抽样样本没有遵循随机原则;
被调查人无回答误差】
35、多选题:
下面抽样方式中,属于非概率抽样的有( )。
选项:
A: 方便抽样
B: 滚雪球抽样
C: 配额抽样
D: 多阶段抽样
E: 自愿样本
答案: 【 方便抽样;
滚雪球抽样;
配额抽样;
自愿样本】
36、多选题:
评价二手资料的准则包括( )。
选项:
A: 资料是由谁搜集的
B: 资料是为什么目的而搜集的
C: 资料是怎样搜集的
D: 资料是什么时候搜集的
E: 资料的搜集是否方便
答案: 【 资料是由谁搜集的;
资料是为什么目的而搜集的;
资料是怎样搜集的;
资料是什么时候搜集的】
37、多选题:
下列属于判断抽样的有( )。
选项:
A: 重点抽样
B: 方便抽样
C: 典型抽样
D: 代表抽样
E: 配额抽样
答案: 【 重点抽样;
典型抽样 ;
代表抽样】
38、多选题:
下列关于简单随机抽样的说法,正确的有( )。
选项:
A: 简单随机抽样是一种最基本的抽样方法,是其他抽样方法的基础
B: 简单随机抽样突出特点是简单、直观
C: 在规模较大的调查中,也可以采用简单随机抽样的方法
D: 抽选的概率是相同的
E: 根据简单随机抽样抽出的单位比较集中
答案: 【 简单随机抽样是一种最基本的抽样方法,是其他抽样方法的基础;
简单随机抽样突出特点是简单、直观;
抽选的概率是相同的】
1、单选题:
落在某一特定类别或组中的数据个数称为
选项:
A: 频数
B: 频率
C: 频数分析表
D: 累积频数
答案: 【 频数】
2、单选题:
一个样本或总体中各个部分的数据与全部数据之比称为()
选项:
A: 频数
B: 频率
C: 比例
D: 比率
答案: 【 比例】
3、单选题:
样本或总体中各不同类别数值之间的比值称为( )。
选项:
A: 频数
B: 频率
C: 比例
D: 比率
答案: 【 比率】
4、单选题:
将比例乘以100得到的数值称为
选项:
A: 频率
B: 百分数
C: 比例
D: 比率
答案: 【 百分数】
5、单选题:
下面的哪一个图形最适合于描述结构性问题?()
选项:
A: 条形图
B: 饼图
C: 雷达图
D: 直方图
答案: 【 饼图】
6、单选题:
下面的哪一个图形适合于比较研究两个或多个样本或总体的结构性问题?( )
选项:
A: 环形图
B: 饼图
C: 直方图
D: 茎叶图
答案: 【 环形图】
7、单选题:
将全部变量值依次划分为若干个区间,并将这一区间的变量值作为一组,这样的分组方法称为( )。
选项:
A: 单变量分组
B: 组距分组
C: 等距分组
D: 连续分组
答案: 【 组距分组】
8、单选题:
组中值是()
选项:
A: 一个组的上限与下限之差
B: 一个组的上限与下限之间的中点値
C: 一个组的最小值
D: 一个组的最大值
答案: 【 一个组的上限与下限之间的中点値】
9、单选题:
下面的图形中最适合描述一组数据分布的图形是( )。
选项:
A: 条形图
B: 箱线图
C: 直方图
D: 饼图
答案: 【 直方图】
10、单选题:
对于大批量的数据,最适合描述其分布的图形是( )。
选项:
A: 条形图
B: 茎叶图
C: 直方图
D: 饼图
答案: 【 直方图】
11、单选题:
对于小批量的数据,最适合描述其分布的图形是( )。
选项:
A: 条形图
B: 茎叶图
C: 直方图
D: 饼图
答案: 【 茎叶图】
12、单选题:
对于时间序列数据,用于描述其变化趋势的图形通常是()
选项:
A: 条形图
B: 直方图
C: 箱线图
D: 线图
答案: 【 线图】
13、单选题:
为描述身高与体重之间是否有某种关系,适合采用的图形是( )。
选项:
A: 条形图
B: 对比条形图
C: 散点图
D: 箱线图
答案: 【 散点图】
14、单选题:
气泡图主要用于描述()
选项:
A: 两个变量之间的相互关系
B: 三个变量之间的相互关系
C: 两个变量的对比关系
D: 三个变量的对比关系
答案: 【 三个变量之间的相互关系】
15、单选题:
为了研究多个不同变量在不同样本间的相似性,适合采用的图形是( )。
选项:
A: 环形图
B: 茎叶图
C: 雷达图
D: 箱线图
答案: 【 雷达图】
16、单选题:
10家公司的月销售额数据(万元)分别为:72,63,54,54,29,26,25,23,23,20。下列哪种图形不宜用于描述这些数据?( )
选项:
A: 茎叶图
B: 散点图
C: 条形图
D: 饼图
答案: 【 散点图】
17、单选题:
下面是描述一组数据的一个图形,这个图是( )。

选项:
A: 饼图
B: 直方图
C: 散点图
D: 茎叶图
答案: 【 茎叶图】
18、单选题:
与直方图相比,茎叶图(。)
选项:
A: 没保留原始数据的信息
B: 保留了原始数据的信息
C: 不能有效展示数据的分布
D: 更适合描述分类数据
答案: 【 保留了原始数据的信息】
19、单选题:
下面的哪个图形不适合描述分类数据?( )
选项:
A: 条形图
B: 饼图
C: 帕累托图
D: 茎叶图
答案: 【 茎叶图】
20、单选题:
下面的哪个图形适合描述顺序数据?( )
选项:
A: 直方图
B: 茎叶图
C: 累计频数分布图
D: 箱线图
答案: 【 累计频数分布图】
21、单选题:
将某企业职工的月收入依次分为2000元以下、2000元-3000元、3000元-4000元、4000元-5000元、5000元以上几个组。第一组的组中值近似为( )。
选项:
A: 2000
B: 1000
C: 1500
D: 2500
答案: 【 1500】
22、单选题:
将某企业职工的月收入依次分为2000元以下、2000元-3000元、3000元-4000元、4000元-5000元、5000元以上几个组。最后一组的组中值近似为( )。
选项:
A: 5000
B: 7500
C: 5500
D: 6500
答案: 【 5500】
23、单选题:
直方图与条形图的区别之一是( )。
选项:
A: 直方图的各矩形通常是连续排列的,而条形图则是分开排列的
B: 条形图的各矩形通常是连续排列的,而直方图则是分开排列的
C: 直方图主要用于描述分类数据,条形图则主要用于描述数值型数据
D: 直方图主要用于描述各类别数据的多少,条形图则主要用于描述数据的分布形图则主要用于描述数据的分布
答案: 【 直方图的各矩形通常是连续排列的,而条形图则是分开排列的】
24、单选题:
一组数据中出现频数最多的变量值称为( )。
选项:
A: 众数
B: 中位数
C: 四分位数
D: 平均数
答案: 【 众数】
25、单选题:
下列关于众数的叙述,不正确的是( )。
选项:
A: 一组数据可能存在多个众数
B: 众数主要适用于分类数据
C: 一组数据的众数是唯一的
D: 众数不受极端值的影响
答案: 【 一组数据的众数是唯一的】
26、单选题:
一组数据排序后处于中间位置上的变量值称为( )。
选项:
A: 众数
B: 中位数
C: 四分位数
D: 平均数
答案: 【 中位数】
27、单选题:
一组数据排序后处于25%和75%位置上的值称为( )。
选项:
A: 众数
B: 中位数
C: 四分位数
D: 平均数
答案: 【 四分位数】
28、单选题:
非众数组的频数占总频数的比例称为( )。
选项:
A: 异众比率
B: 离散系数
C: 平均差
D: 标准差
答案: 【 异众比率】
29、单选题:
四分位差是()。
选项:
A: 上四分位数减下四分位数的结果
B: 下四分位数减上四分位数的结果
C: 下四分位数加上四分位数
D: 四分位数与上四分位数的中间值
答案: 【 上四分位数减下四分位数的结果】
30、单选题:
一组数据的最大值与最小值之差称为( )。
选项:
A: 平均差
B: 标准差
C: 极差
D: 四分位差
答案: 【 极差】
31、单选题:
各变量值与其平均数离差平方的平均数称为( )。
选项:
A: 极差
B: 平均差
C: 方差
D: 标准差
答案: 【 方差】
32、单选题:
变量值与其平均数的离差除以标准差后的值称为( )。
选项:
A: 标准分数
B: 离散系数
C: 方差
D: 标准差
答案: 【 标准分数】
33、单选题:
如果一个数据的标准分数是-2,表明该数据( )。
选项:
A: 比平均数高出2个标准差
B: 比平均数低2个标准差
C: 等于2倍的平均数
D: 等于2倍的标准差
答案: 【 比平均数低2个标准差】
34、单选题:
如果一个数据的标准分数是3,表明该数据( )。
选项:
A: 比平均数高出3个标准差
B: 比平均数低3个标准差
C: 等于3倍的平均数
D: 等于3倍的标准差
答案: 【 比平均数高出3个标准差】
35、单选题:
经验法则表明,当一组数据对称分布时,在平均数加减1个标准差的范围之内大约有( )。
选项:
A: 68%的数据
B: 95%的数据
C: 99%的数据
D: 100%的数据
答案: 【 68%的数据】
36、单选题:
如果一组数据不是对称分布的,根据切比雪夫不等式,对于k=2,其意义是( )。
选项:
A: 至少有75%的数据落在平均数加减2个标准差的范围之内
B: 至少有89%的数据落在平均数加减2个标准差的范围之内
C: 至少有94%的数据落在平均数加减2个标准差的范围之内
D: 至少有99%的数据落在平均数加减2个标准差的范围之内
答案: 【 至少有75%的数据落在平均数加减2个标准差的范围之内】
37、单选题:
离散系数的主要用途是( )。
选项:
A: 反映一组数据的离散程度
B: 反映一组数据的平均水平
C: 比较多组数据的离散程度
D: 比较多组数据的平均水平
答案: 【 比较多组数据的离散程度】
38、单选题:
比较两组数据的离散程度最适合的统计量是( )。
选项:
A: 极差
B: 平均差
C: 标准差
D: 离散系数
答案: 【 离散系数】
39、单选题:
偏态系数测度了数据分布的非对称性程度。如果一组数据的分布是对称的,则偏态系数( )。
选项:
A: 等于0
B: 等于1
C: 大于0
D: 大于1
答案: 【 等于0】
40、单选题:
如果一组数据分布的偏态系数在0.5~1或-l~-0.5之间,则表明该组数据属于( )。
选项:
A: 对称分布
B: 中等偏态分布
C: 高度偏态分布
D: 轻微偏态分布
答案: 【 中等偏态分布】
41、单选题:
峰态通常是与标准正态分布相比较而言的。如果一组数据服从标准正态分布,则峰态系数的值( )。
选项:
A: 等于0
B: 大于0
C: 小于0
D: 等于1
答案: 【 等于0】
42、单选题:
如果峰态系数k>0,表明该组数据是( )。
选项:
A: 尖峰分布
B: 扁平分布
C: 左偏分布
D: 右偏分布
答案: 【 尖峰分布】
43、单选题:
某大学经济管理学院有1200名学生,法学院有800名学生,医学院有320名学生,理学院有200名学生。在上面的描述中,众数是( )。
选项:
A: 1200
B: 经济管理学院
C: 200
D: 理学院
答案: 【 经济管理学院】
44、单选题:
某居民小区准备采取一项新的物业管理措施,为此,随机抽取了100户居民进行调查,其中表示赞成的有69户,表示中立的有22户,表示反对的有9户。描述该组数据的集中趋势宜采用( )。
选项:
A: 众数
B: 中位数
C: 四分位数
D: 平均数
答案: 【 中位数】
45、单选题:
某居民小区准备采取一项新的物业管理措施,为此,随机抽取了100户居民进行调查,其中表示赞成的有69户,表示中立的有22户,表示反对的有9户。该组数据的中位数是( )。
选项:
A: 赞成
B: 69
C: 中立
D: 22
答案: 【 赞成】
46、单选题:
某班共有25名学生,期末统计学课程的考试分数分别为:68,73,66,76,86,74,61,89,65,90,69,67,76,62,81,63,68,81,70,73,60,87,75,64,56,该班考试分数的下四分位数和上四分位数分别是( )。
选项:
A: 64.5和78.5
B: 67.5和71.5
C: 64.5和71.5
D: 64.5和67.5
答案: 【 64.5和78.5】
47、单选题:
假定一个样本由5个数据组成:3,7,8,9,13。该样本的方差为( )。
选项:
A: 8
B: 13
C: 9.7
D: 10.4
答案: 【 13】
48、单选题:
对于右偏分布,平均数、中位数和众数之间的关系是( )。
选项:
A: 平均数>中位数>众数
B: 中位数>平均数>众数
C: 众数>中位数>平均数
D: 众数>平均数>中位数
答案: 【 平均数>中位数>众数】
49、单选题:
在某行业中随机抽取10家企业,第一季度的利润额(单位:万元)分别是:72,63.1,54.7,54.3,29,26.9,25,23.9,23,20。该组数据的中位数为( )。
选项:
A: 28.46
B: 30.20
C: 27.95
D: 28.12
答案: 【 27.95】
50、单选题:
在某行业中随机抽取10家企业,第一季度的利润额(单位:万元)分别是:72,63.1,54.7,54.3,29,26.9,25,23.9,23,20。该组数据的平均数为( )。
选项:
A: 28.46
B: 30.20
C: 27.95
D: 39.19
答案: 【 39.19】
51、单选题:
在某行业中随机抽取10家企业,第一季度的利润额(单位:万元)分别是:72,63.1,54.7,54.3,29,26.9,25,23.9,23,20。该组数据的标准差为( )。
选项:
A: 28.46
B: 19.54
C: 27.95
D: 381.94
答案: 【 19.54】
52、单选题:
某班学生的统计学平均成绩是70分,最高分是96分,最低分是62分,根据这些信息,可以计算的测度离散程度的统计量是( )。
选项:
A: 方差
B: 极差
C: 标准差
D: 变异系数
答案: 【 极差】
53、单选题:
某班学生的平均成绩是80分,标准差是l0分。如果已知该班学生的考试分数为对称分布,可以判断成绩在60~100分之间的学生大约占( )。
选项:
A: 95%
B: 89%
C: 68%
D: 99%
答案: 【 95%】
54、单选题:
某班学生的平均成绩是80分,标准差是l0分。如果已知该班学生的考试分数为对称分布,可以判断成绩在70~90分之间的学生大约占( )。
选项:
A: 95%
B: 89%
C: 68%
D: 99%
答案: 【 68%】
55、单选题:
某班学生的平均成绩是80分,标准差是5分。如果已知该班学生的考试分数为非对称分布,可以判断成绩在70~90分之间的学生至少占( )。
选项:
A: 95%
B: 89%
C: 68%
D: 75%
答案: 【 75%】
56、单选题:
在某公司进行的计算机水平测试中,新员工的平均得分是80分,标准差是5分。假设新员工得分的分布是未知的,则得分在65~95分的新员工至少占( )。
选项:
A: 75%
B: 89%
C: 94%
D: 95%
答案: 【 89%】
57、单选题:
在某公司进行的计算机水平测试中,新员工的平均得分是80分,标准差是5分,中位数是86分,则新员工得分的分布形状是( )。
选项:
A: 对称的
B: 左偏的
C: 右偏的
D: 无法确定
答案: 【 左偏的】
58、单选题:
对某个高速路段驶过的120辆汽车的车速进行测量后发现,平均车速是85公里/小时,标准差是4公里/小时,下列哪个车速可以看作异常值( )。
选项:
A: 78公里/小时
B: 82公里/小时
C: 91公里/小时
D: 98公里/小时
答案: 【 98公里/小时】
59、单选题:
下列叙述中正确的是( )。
选项:
A: 如果计算每个数据与平均数的离差,则这些离差的和总是等于零
B: 如果考试成绩的分布是对称的,平均数为75,标准差为12,则考试成绩在63~75分之间的比例大约为95%
C: 平均数和中位数相等
D: 中位数大于平均数
答案: 【 如果计算每个数据与平均数的离差,则这些离差的和总是等于零】
60、单选题:
一组样本数据为3,3,1,5,13,12,11,9,7。这组数据的中位数是( )。
选项:
A: 3
B: 13
C: 7.1
D: 7
答案: 【 7】
61、单选题:
在离散程度的测度中,最容易受极端值影响的是( )。
选项:
A: 极差
B: 四分位差
C: 标准差
D: 平均差
答案: 【 极差】
62、单选题:
测度数据离散程度的相对统计量是( )。
选项:
A: 极差
B: 平均差
C: 标准差
D: 离散系数
答案: 【 离散系数】
63、单选题:
一组数据的离散系数为0.4,平均数为20,则标准差为( )。
选项:
A: 80
B: 0.02
C: 4
D: 8
答案: 【 8】
64、单选题:
在比较两组数据的离散程度时,不能直接比较它们的标准差,因为两组数据的( )。
选项:
A: 标准差不同
B: 方差不同
C: 数据个数不同
D: 计量单位不同
答案: 【 计量单位不同】
65、单选题:
两组数据的平均数不等,但标准差相等,则( )。
选项:
A: 平均数小的,离散程度大
B: 平均数大的,离散程度大
C: 平均数小的,离散程度小
D: 两组数据的离散程度相同
答案: 【 平均数小的,离散程度大】
66、多选题:
在进行统计分析时,需要对获取的数据进行审核,请问以下哪些是需要审核的内容?( )
选项:
A: 数据的完整性
B: 数据的准确性
C: 数据的适用性
D: 数据的时效性
E: 数据的随机性
答案: 【 数据的完整性;
数据的准确性;
数据的适用性;
数据的时效性】
67、多选题:
在进行统计分析时,需要对获取的数据进行审核,请问以下哪些是需要审核的内容?( )
选项:
A: 全距的大小成正比
B: 全距的大小成反比
C: 只和全距大小有关
D: 组数多少成正比
E: 组数多少成反比
答案: 【 全距的大小成正比;
组数多少成反比】
68、多选题:
在进行统计分析时,需要对获取的数据进行审核,请问以下哪些是需要审核的内容?( )
选项:
A: 数据的完整性
B: 数据的准确性
C: 数据的适用性
D: 数据的时效性
E: 数据的随机性
答案: 【 数据的完整性;
数据的准确性;
数据的适用性;
数据的时效性】
69、多选题:
在组距数列中,组距大小()。
选项:
A: 全距的大小成正比
B: 全距的大小成反比
C: 只与全距大小有关
D: 组数多少成正比
E: 组数多少成反比
答案: 【 全距的大小成正比;
组数多少成反比】
70、多选题:
从形式上看,统计表由()组成。
选项:
A: 表头
B: 行标题
C: 列标题
D: 数字资料
E: 宾词
答案: 【 表头;
行标题;
列标题;
数字资料】
71、多选题:
下列关于数据分组的说法,正确的有( )。
选项:
A: 数据分组的组数一般与数据本身的特点及数据的多少有关
B: 对于数据分组的组数并没有什么要求,可以任意分组
C: 一般情况下,一组数据所分的组数不应少于5组且不多于15组
D: 如果组数太少,数据的分布就会过于集中
E: 一般情况下,一组数据所分的组数应大于10组
答案: 【 数据分组的组数一般与数据本身的特点及数据的多少有关;
一般情况下,一组数据所分的组数不应少于5组且不多于15组;
如果组数太少,数据的分布就会过于集中】
72、多选题:
对于分组数据的组中值的计算方法有( )。
选项:
A: 闭口组组中值=(上限+下限)/2
B: 开口组末组组中值=下限+上限/2
C: 开口组首组组中值=上限-下限/2
D: 开口组首组组中值=上限-邻组组距/2
E: 开口组末组组中值=下限+邻组组距/2
答案: 【 闭口组组中值=(上限+下限)/2;
开口组首组组中值=上限-邻组组距/2;
开口组末组组中值=下限+邻组组距/2】
73、多选题:
一张好的图形应具有的特征是( )。
选项:
A: 显示数据
B: 避免歪曲
C: 强调数据之间的比较
D: 应当是多维的
E: 有对图形的统计和文字说明
答案: 【 显示数据;
避免歪曲;
强调数据之间的比较;
有对图形的统计和文字说明】
74、多选题:
偏态系数是对数据分布偏斜程度的测度,下面描述正确的是:( )。
选项:
A: 偏态系数=0为对称分布
B: 偏态系数>0为右偏分布
C: 偏态系数<0为右偏分布
D: 偏态系数>1或偏态系数<-1为高度偏态分布
E: 偏态系数>3或偏态系数<-3为高度偏态分布
答案: 【 偏态系数=0为对称分布;
偏态系数>0为右偏分布;
偏态系数>1或偏态系数<-1为高度偏态分布】
75、多选题:
下列关于众数的叙述,正确的有( )。
选项:
A: 一组数据可能存在多个众数
B: 众数主要适用于分类数据
C: 一组数据的众数是惟一的
D: 众数不受极端值的影响
E: 众数是一个位置代表值
答案: 【 一组数据可能存在多个众数;
众数主要适用于分类数据;
众数不受极端值的影响;
众数是一个位置代表值】
76、多选题:
在数据离散程度的测量值中,不受极端值影响的测度值有( )。
选项:
A: 极差
B: 异众比率
C: 四分位差
D: 标准差
E: 离散系数
答案: 【 异众比率;
四分位差】
77、多选题:
关于极差,下列说法正确的有( )
选项:
A: 只能说明变量值变异的范围
B: 不反映所有变量值差异的大小
C: 反映数据的分配状况
D: 最大的缺点是受极端值的影响
E: 最大的优点是不受极端值的影响
答案: 【 只能说明变量值变异的范围;
不反映所有变量值差异的大小;
最大的缺点是受极端值的影响】
78、多选题:
下列属于平均差和标准差的相同点的有( )。
选项:
A: 对正负离差综合平均的方法相同
B: 有简单式和加权式的计算
C: 依据同一资料进行计算结果相同
D: 将所有相关变量值都考虑在内
E: 以平均数为中心测定各变量值的离散程度
答案: 【 有简单式和加权式的计算;
将所有相关变量值都考虑在内;
以平均数为中心测定各变量值的离散程度】
79、多选题:
下列指标中不可能出现负值的有( )。
选项:
A: 众数
B: 极差
C: 标准差
D: 平均差
E: 平均数
答案: 【 极差;
标准差;
平均差】
1、单选题:
某班学生的年龄是右偏的,均值为22,标准差为4,如果从该班抽取容量为64的样本,则样本均值的抽样分布是( )
选项:
A: 正态分布,均值22,标准差为4
B: 近似正态分布,均值22,标准差为0.4
C: 右偏分布,均值22,标准差为0.4
D: 近似正态分布,均值22,标准差为0.5
答案: 【 近似正态分布,均值22,标准差为0.5】
1、单选题:
中心极限定理可保证在大量观察下( )
选项:
A: 样本平均数趋近于总体平均数的趋势
B: 样本方差趋近于总体方差的趋势
C: 样本平均数分布趋近于正态分布的趋势
D: 样本比例趋近于总体比例的趋势
答案: 【 样本平均数分布趋近于正态分布的趋势】
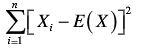
1、单选题:
设
是从某总体X中抽取的一个样本,下面哪一个不是统计量()
选项:
A:
=
B: 
C: 
D: 
答案: 【
】
2、单选题:
下列不是次序统计量的是()
选项:
A: 中位数
B: 均值
C: 四分位数
D: 极差
答案: 【 均值】
3、单选题:
抽样分布是指()
选项:
A: 一个样本各观测值的分布
B: 总体中各观测值的分布
C: 样本统计量的分布
D: 样本数量的分布
答案: 【 样本统计量的分布】
4、单选题:
根据中心极限定理可知,当样本容量充分大时,样本均值的抽样分布服从正态分布,其分布的均值为()
选项:
A: 
B: 
C: 
D: 
答案: 【
】
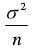
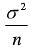
5、单选题:
根据中心极限定理可知,当样本容量充分大时,样本均值的抽样分布服从正态分布,其分布的方差为()
选项:
A: 
B: 
C: 
D: 
答案: 【
】
6、单选题:
从均值为
、方差为
。(有限)的任意一个总体中抽取大小为n的样本,则()。
选项:
A: 当n充分大时,样本均值
的分布近似服从正态分布
B: 只有当n<30时,样本均值
的分布近似服从正态分布
C: 样本均值
的分布与n无关
D: 无论n多大,样本均值
的分布都为非正态分布
答案: 【 当n充分大时,样本均值
的分布近似服从正态分布】
7、单选题:
从一个均值
=10、标准差
=0.6的总体中随即选取容量为n=36的样本。假定该总体并不是很偏的,则样本均值
小于9.9的近似概率为()。
选项:
A: 0.1587
B: 0.1268
C: 0.2735
D: 0.6324
答案: 【 0.1587】
8、单选题:
假设总体服从均匀分布,从此总体中抽取容量为36的样本,则样本均值的抽样分布()。
选项:
A: 服从非正态分布
B: 近似正态分布
C: 服从均匀分布
D: 服从
分布
答案: 【 近似正态分布】
9、单选题:
从服从正态分布的无限总体中分别抽取容量为4,16,36的样本,当样本容量增大时,样本均值的标准差()。
选项:
A: 保持不变
B: 增加
C: 减小
D: 无法确定
答案: 【 减小】
10、单选题:
总体均值为50,标准差为8,从此总体中随机抽取容量为64的样本,则样本均值的抽样分布的均值和标准误差分别为()。
选项:
A: 50,8
B: 50,1
C: 50,4
D: 8,8
答案: 【 50,1】
11、单选题:
某大学的一家快餐店记录了过去5年每天的营业额,每天营业额的均值为2500元,标准差为400元。由于在某些节日的营业额偏高,所以每日营业额的分布是右偏的,假设从这五年中随机抽取100天,并计算这100天的平均营业额,则样本均值的抽样分布是()。
选项:
A: 正态分布,均值为250元,标准差为40元
B: 正态分布,均值为2500元,标准差为40元
C: 右偏,均值为2500元,标准差为400元
D: 正态分布,均值为2500元,标准差为400元
答案: 【 正态分布,均值为2500元,标准差为40元】
12、单选题:
某班学生的年龄分布是右偏的,均值为22,标准差为4.45。如果采取重复抽样的方法从该班抽取容量为100的样本,则样本均值的抽样分布是()
选项:
A: 正态分布,均值为22,标准差为0.445
B: 分布形状未知,均值为22,标准差为4.45
C: 正态分布,均值为22,标准差为4.45
D: 分布形状未知,均值为22,标准差为0.445
答案: 【 正态分布,均值为22,标准差为0.445】
13、单选题:
在一个饭店门口等待出租车的时间是左偏的,均值为12分钟,标准差为3分钟。如果从饭店门口随机抽取100名顾客并记录他们等待出租车的时间,则该样本均值的分布服从( )。
选项:
A: 正态分布,均值为l2分钟,标准差为0.3分钟
B: 正态分布,均值为l2分钟,标准差为3分钟
C: 左偏分布,均值为l2分钟,标准差为3分钟
D: 左偏分布,均值为l2分钟,标准差为0.3分钟
答案: 【 正态分布,均值为l2分钟,标准差为0.3分钟】
14、单选题:
假设某学校学生的年龄分布是右偏的,均值为23岁,标准差为3岁。如果随机抽取100名学生,下列关于样本均值抽样分布描述不正确的是( )
选项:
A: 抽样分布的标准差等于3
B: 抽样分布近似服从正态分布
C: 抽样分布的均值近似为23
D: 抽样分布为非正态分布
答案: 【 抽样分布的标准差等于3】
15、单选题:
某厂家生产的灯泡寿命的均值为60小时,标准差为4小时。如果从中随机抽取30只灯泡进行检测,则样本均值( )
选项:
A: 抽样分布的标准差为4小时
B: 抽样分布近似等同于总体分布
C: 抽样分布的中位数为60小时
D: 抽样分布近似等同于正态分布,均值为60小时
答案: 【 抽样分布近似等同于正态分布,均值为60小时】
16、单选题:
从均值为200、标准差为50的总体中抽取容量为100的简单随机样本,样本均值的期望值是()。
选项:
A: 150
B: 200
C: 100
D: 250
答案: 【 200】
17、单选题:
从均值为200、标准差为50的总体中抽取容量为100的简单随机样本,随机样本均值的标准差为()。
选项:
A: 50
B: 10
C: 5
D: 15
答案: 【 5】
18、单选题:
假设总体比例为0.55,从此总体中抽取容量为100的样本,则样本比例的标准差为()。
选项:
A: 0.01
B: 0.05
C: 0.06
D: 0.55
答案: 【 0.05】
19、单选题:
假设总体比例为0.4,采取重复抽样的方法从总体中抽取一个容量为100的简单随机样本,则样本比例的期望值是()。
选项:
A: 0.3
B: 0.4
C: 0.5
D: 0.45
答案: 【 0.4】
20、单选题:
样本方差的抽样分布服从()
选项:
A: 正态分布
B:
分布
C: F分布
D: 未知
答案: 【 未知】
21、单选题:
大样本的样本比例的的抽样分布服从()。
选项:
A: 正态分布
B: t分布
C: F分布
D:
分布
答案: 【 正态分布】
22、单选题:
大样本的样本比例之差的抽样分布服从()。
选项:
A: 正态分布
B: t分布
C: F分布
D:
分布
答案: 【 正态分布】
23、多选题:
下列关于抽样平均误差、总体变异程度及样本容量之间关系的陈述,正确的有( )。
选项:
A: 总体变异程度一定时,样本容量愈大,抽样平均误差愈大
B: 总体变异程度一定时,样本容量愈大,抽样平均误差愈小
C: 样本容量一定时,总体变异程度愈大,抽样平均误差愈大
D: 样本容量一定时,总体变异程度愈大,抽样平均误差愈小
E: 样本容量一定时,总体变异程度不影响抽样平均误差的大小
答案: 【 总体变异程度一定时,样本容量愈大,抽样平均误差愈小;
样本容量一定时,总体变异程度愈大,抽样平均误差愈大】
24、多选题:
以下关于
分布的描述中,哪些是正确的()?
选项:
A: 其变量值始终为正
B: 属于左偏分布
C: 随着自由度的增大趋于对称
D: 具有可加性
E: 可用于单因素方差分析
答案: 【 其变量值始终为正;
随着自由度的增大趋于对称;
具有可加性】
25、多选题:
下列关于统计量的表述中,正确的有()。
选项:
A: 统计量是样本的函数
B: 估计统一总体参数可以用多个不同统计量
C: 统计量是随机变量
D: 统计量不能含有任何总体参数
E: 统计量不能含有总体未知的参数
答案: 【 统计量是样本的函数;
估计统一总体参数可以用多个不同统计量;
统计量是随机变量;
统计量不能含有总体未知的参数】
26、多选题:
下列属于次序统计量的有()。
选项:
A: 中位数
B: 均值
C: 四分位数
D: 极差
E: 样本方差
答案: 【 中位数;
四分位数;
极差】
27、多选题:
在一个饭店门口等待出租车的时间是左偏的,均值为12分钟,标准差为3分钟。如果从饭店门口随机抽取100名顾客并记录他们等待出租车的时间,下列关于样本均值抽样描述正确的有( )。
选项:
A: 样本均值服从正态分布
B: 样本均值的期望为0.12分钟
C: 样本均值的分布也是左偏的
D: 样本均值的标准差为0.3分钟
E: 样本均值的期望为12分钟
答案: 【 样本均值服从正态分布;
样本均值的标准差为0.3分钟;
样本均值的期望为12分钟】
28、判断题:
设总体ξ~N(μ,σ2),则样本均值~N(μ,σ2)。
选项:
A: 正确
B: 错误
答案: 【 错误】
29、判断题:
t分布与正态分布的区别是前者的分布形态是不对称的,后者是对称的。( )
选项:
A: 正确
B: 错误
答案: 【 错误】
30、判断题:
样本均值的标准差也称抽样估计的标准误差,可用公式表示为s=
。( )
选项:
A: 正确
B: 错误
答案: 【 错误】
31、判断题:
样本均值的抽样分布形式仅与样本量n的大小有关。( )
选项:
A: 正确
B: 错误
答案: 【 错误】
32、判断题:
分别来自两个总体的两个样本,当样本容量足够大时,样本均值之差的抽样分布服从正态分布。( )
选项:
A: 正确
B: 错误
答案: 【 正确】
1、单选题:
已有样本
,以下样本函数中,不是统计量的是( )
选项:
A: 
B: min(
备案号:冀ICP备20010840号 2020-2099辉辉网络科技 All Rights Reserved