

1、单选题:
对于基尔霍夫定律,以下描述正确的是( )。
选项:
A: 基尔霍夫电流定律反映了回路中电流相互制约的关系
B: 基尔霍夫电流定律反映了节点上电流相互制约的关系
C: 基尔霍夫电压定律反映了回路中电流相互制约的关系
D: 基尔霍夫电压定律反映了节点上电流相互制约的关系
答案: 【 基尔霍夫电流定律反映了节点上电流相互制约的关系】
2、单选题:
图示电路中,已知I1 = 4A,I2 = –2A,I3 = 1A,I4 = –3A,I5为( )。

选项:
A: -8 A
B: 8 A
C: 7 A
D: -7 A
答案: 【 -8 A】
3、单选题:
在如图所示的电路中,电压U 为( )。

选项:
A: -15 V
B: 15V
C: 45 V
D: -45 V
答案: 【 45 V】
4、单选题:
在图示电路中,U、I 的关系式正确的是 ( ) 。

选项:
A: U = US + R0 I
B: U = US -RL I
C: U = US -R0 I
D: U = US + R0 I
答案: 【 U = US -R0 I】
1、单选题:
关于电量参考方向与实际方向的关系,以下描述正确的是( )。
选项:
A: 电量参考方向与实际方向相同
B: 电量参考方向与实际方向不相同
C: 电量参考方向与实际方向可能相同也可能不相同
D: 参考方向必须与实际方向一致
答案: 【 电量参考方向与实际方向可能相同也可能不相同】
2、单选题:
Uab是否表示a端的实际电位高于b端的实际电位( )。
选项:
A: 是
B: 不一定
C: 不是
D: 根据Uab的值也无法确定哪端电位高
答案: 【 不一定】
3、单选题:
在参考方向选定后,经计算电压值为正,说明( )。
选项:
A: 电压的实际方向和参考方向一致
B: 电压的实际方向和参考方向相反
C: 计算有错误
D: 电压的实际方向和参考方向没关系
答案: 【 电压的实际方向和参考方向一致】
4、单选题:
在图示电路中,已知U =–6 V,电流 I =2 A,则电阻值R 为 ( ) 。
选项:
A: -3 Ω
B: 2 Ω
C: 3 Ω
D: -2 Ω
答案: 【 3 Ω】
5、判断题:
电阻上电压和电流的参考方向一定是相同的。
选项:
A: 正确
B: 错误
答案: 【 错误】
6、判断题:
在选择参考方向时,参考方向可以与实际方向相同,也可以不同。
选项:
A: 正确
B: 错误
答案: 【 正确】
1、单选题:

选项:
A: 4 V
B: -4 V
C: -16 V
D: 16 V
答案: 【 -4 V 】
2、单选题:
图示电路中,电源发出的功率为 ( )。

选项:
A: 20 W
B: 16 W
C: 12 W
D: 18 W
答案: 【 16 W】
3、单选题:

选项:
A: 电压源发出功率
B: 电流源发出功率
C: 电压源和电流源都不发出功率
D: 电压源和电流源都发出功率
答案: 【 电压源发出功率】
4、单选题:
在图示电路中,已知RL消耗功率20 W,则发出电功率的元件为 ( )。

选项:
A: 电压源
B: 电流源
C: 电压源和电流源
D: 电阻RL
答案: 【 电流源】
5、单选题:

选项:
A: 电压源
B: 电流源
C: 电压源和电流源
D: 不确定
答案: 【 电流源】
1、填空题:
任何一个完整的电路都必须有 、 负载和中间环节3个基本部分组成。
答案: 【 电源】
2、填空题:
电路的作用是对电能进行 、 分配 和 转换 ;对电信号进行 传递 、 存储 和 处理 。
答案: 【 传输】
3、填空题:
具有单一电磁特性的电路元件称为 电路元件,由它们组成的电路称为电路模型。
答案: 【 理想】
4、填空题:
电路有通路、开路和 三种工作状态。
答案: 【 短路##%_YZPRLFH_%##短接】
5、填空题:
电源电动势是电源力把 经电源内部从负极推向正极所做的功,它的方向是负极指向正极。
答案: 【 单位正电荷】
1、判断题:
电路中各点的电位的高低与绕行方向无关
选项:
A: 正确
B: 错误
答案: 【 正确】
2、判断题:
电路中各点的电位的高低与零电位点的选择有关。
选项:
A: 正确
B: 错误
答案: 【 正确】
3、判断题:
电路中任意两点间的电压与零电位参考点的选取有关。
选项:
A: 正确
B: 错误
答案: 【 错误】
1、单选题:
一个输出电压几乎不变的设备有载运行,当负载增大时,是指( )。
选项:
A: 负载电阻增大
B: 负载电阻减小
C: 电源输出的电流增大
D: 不确定
答案: 【 电源输出的电流增大】
2、单选题:
用一只额定植为110V/100W 的白炽灯和一只110V/40W 的白炽灯串联后,接到220V的电源上,当开关闭合时,( )。
选项:
A: 能正常工作
B: 100W的灯丝烧毁
C: 40W的灯丝烧毁
D: 100W和40W的2个灯的灯丝都烧毁
答案: 【 40W的灯丝烧毁】
3、单选题:
一个220V/100W的电烙铁,如果将它接在380V的电源上,电烙铁不能正常工作,其原因是( )。
选项:
A: 温度正常
B: 达不到正常使用温度
C: 电烙铁烧坏
D: 高于正常温度
答案: 【 电烙铁烧坏】
4、单选题:
有一台直流发电机,其铭牌上标有50kW/220V/228A。当发电机输出端未接有任何负载,输出电流I = 0,输出功率P = 0,称为( )运行。
选项:
A: 轻载
B: 过载
C: 空载
D: 不确定
答案: 【 空载】
5、单选题:
电路如图所示,电源开路电压Uo 为230V,电源短路电流IS为1150A。当负载电流I 为50A 时,负载电阻R 为( )。

选项:
A: 0.2 Ω
B: 4.4 Ω
C: 4.6 Ω
D: -4.4 Ω
答案: 【 4.4 Ω】
1、单选题:
对于起重设备,一般选择( )电动机。
选项:
A: 软特性
B: 硬特性
C: 功率比较大
D: 无所谓
答案: 【 软特性】
2、单选题:
三相绕线式异步电动机的转子电路串入外接电阻后,它的机械特性将 ( )。
选项:
A: 变得更硬
B: 变得较软
C: 保持不变
D: 不确定
答案: 【 变得较软】
3、判断题:
三相异步电动机的转矩与定子电压的平方成正比。
选项:
A: 正确
B: 错误
答案: 【 正确】
4、判断题:
绕线型异步电动机可外接电阻来改变转子电阻R2,从而改变转距。
选项:
A: 正确
B: 错误
答案: 【 正确】
5、判断题:
U1变化会改变三相异步电动机的临界转差率。
选项:
A: 正确
B: 错误
答案: 【 错误】
1、单选题:
以下制动方法中,电动机的转速大于旋转磁场同步转速的是( )。
选项:
A: 能耗制动
B: 反接制动
C: 机械制动
D: 发电反馈制动
答案: 【 发电反馈制动】
2、单选题:
欲使电动机反转,可采取的方法是( )。
选项:
A: 将电动机端线中任意两根对调后接电源
B: 将三相电源任意两相和电动机任意两端线同时调换后接电动机
C: 将电动机的三根端线调换后接电源
D: 以上都不正确
答案: 【 将电动机端线中任意两根对调后接电源】
3、多选题:
三相异步电动机电气调速的方法有( )、( )以及( )。
选项:
A: 变频调速
B: 变极对数调速
C: 变电流调速
D: 绕线型异步电动机串电阻调速
答案: 【 变频调速;
变极对数调速;
绕线型异步电动机串电阻调速】
4、多选题:
以下调速方法,可以做到无极调速的方法是( )和( )
选项:
A: 变极对数调速
B: 变频调速
C: 变转差率调速
D: 所有的调速都是无极调速
答案: 【 变频调速;
变转差率调速】
5、填空题:
能耗制动时,定子电流形成的磁场是( )磁场
答案: 【 固定##%_YZPRLFH_%##静止】
1、单选题:
星三角换接起动时,起动电流将降为三角形直接起动时起动电流的( )。
选项:
A: 一半
B: 三分之一
C: 
D: 由电压决定
答案: 【 三分之一】
2、单选题:
采用自耦变压器降压起动时,如果起动电压降为原来电压的
倍,则电源侧电流将降为原来的( )。
选项:
A:
倍
B: 
C:
倍
D: 
答案: 【
倍】
3、单选题:
三相鼠笼式异步电动机在空载和满载两种情况下的起动电流的关系是( )。
选项:
A: 满载起动电流较大
B: 空载起动电流较大
C: 两者相等
D: 不确定
答案: 【 两者相等】
4、多选题:
下列起动方式,属于降压起动的有( )。
选项:
A: 直接起动
B: 绕线型异步电动机串电阻起动
C: 星三角换接起动
D: 自耦变压器降压起动
答案: 【 星三角换接起动;
自耦变压器降压起动】
5、多选题:
绕线型异步电动机串电阻起动,如果电阻取的合适,可以( )和( )。
选项:
A: 提高起动转矩
B: 提高起动电流
C: 降低起动电流
D: 使电动机反转
答案: 【 提高起动转矩;
降低起动电流】
6、多选题:
采取适当措施降低三相鼠笼式电动机的起动电流是为了( )。
选项:
A: 防止烧坏电机
B: 防止烧断熔断丝
C: 减小起动电流所引起的电网电压波动
D: 减小电动机的起动转矩
答案: 【 防止烧坏电机 ;
减小起动电流所引起的电网电压波动】
7、填空题:
让三相异步电动机实现反转,只需要交换电动机电源进线中的 。
答案: 【 两根##%_YZPRLFH_%##2根】
1、单选题:
三 相 异 步 电 动 机 产 生 的 电 磁 转 矩 是 由 于( ) 。
选项:
A: 定 子 磁 场 与 定 子 电 流 的 相 互 作 用
B: 转 子 磁 场 与 转 子 电 流 的 相 互 作 用
C: 旋 转 磁 场 与 转 子 电 流 的 相 互 作 用
D: 以上都不正确
答案: 【 旋 转 磁 场 与 转 子 电 流 的 相 互 作 用】
2、单选题:
三 相 异 步 电 动 机 的 转 差 率 s = 1 时,其 转 速 为 ( ) 。
选项:
A: 额 定 转 速
B: 同 步 转 速
C: 零
D: 最 大 转 速
答案: 【 零】
3、单选题:
三相异步电动机在额定转速下运行时,其转差率( ) 。
选项:
A: 小于0.1
B: 接近1
C: 大于 0.1
D: 0
答案: 【 小于0.1】
4、判断题:
三相异步电动机的转速与同步转速是相同的。
选项:
A: 正确
B: 错误
答案: 【 错误】
5、判断题:
三相异步电动机在额定工作状态时,转差率一般都比较小。
选项:
A: 正确
B: 错误
答案: 【 正确】
6、填空题:
旋转磁场的同步转速和电动机转子转速之差与旋转磁场的同步转速之比称为 。
答案: 【 转差率】
1、单选题:
额定电压为660 /380 V的三相异步电动机,其联结形式在铭牌上表示为 ( ) 。
选项:
A: Y/△
B: △/Y
C: Y
D: △
答案: 【 Y/△】
2、判断题:
电动机铭牌数据上标注的功率是指从电源获得的功率。
选项:
A: 正确
B: 错误
答案: 【 错误】
3、填空题:
三相异步电动机铭牌上标注的电压指的是绕组上所加的 。
答案: 【 线电压】
4、填空题:
三相异步电动机铭牌上标注的电流指的是绕组上的 。
答案: 【 线电流】
1、多选题:
交流异步电动机根据转子结构的不同,可以分为:
选项:
A: 绕线型异步电动机
B: 笼型异步电动机
C: 单相异步电动机
D: 电容分相式异步电动机
答案: 【 绕线型异步电动机;
笼型异步电动机】
2、多选题:
关于笼型异步电动机的转子,描述正确的是:
选项:
A: 笼型异步电动机的转子分成三相
B: 笼型异步电动机的转子不能外加电阻
C: 笼型异步电动机的转子结构比较简单
D: 笼型异步电动机的转子不需要铁芯
答案: 【 笼型异步电动机的转子不能外加电阻;
笼型异步电动机的转子结构比较简单】
3、判断题:
绕线型异步电动机的转子绕组可以跟定子一样,接成星形或者三角形。
选项:
A: 正确
B: 错误
答案: 【 错误】
4、判断题:
不管是三相异步电动机的定子或者转子,其铁芯都是由硅钢片叠成的,而不是一整块的铁。
选项:
A: 正确
B: 错误
答案: 【 正确】
5、判断题:
笼型电动机和绕线式异步电动机的定子结构是一样的,区别在转子。
选项:
A: 正确
B: 错误
答案: 【 正确】
6、填空题:
三相异步电动机根据转子结构不同可以分为笼型异步电动机和 型异步电动机
答案: 【 绕线型】
1、多选题:
常见的单相异步电动机有( )和( )。
选项:
A: 绕线型单相异步电动机
B: 电容分相式单相异步电动机
C: 罩极式单相异步电动机
D: 串电阻起动型电动机
答案: 【 电容分相式单相异步电动机;
罩极式单相异步电动机】
2、判断题:
电容分相式单相异步电动机不能改变电动机的转向。
选项:
A: 正确
B: 错误
答案: 【 错误】
3、判断题:
罩极式单相异步电动机常用在风扇等不需要改变电动机转向的场合。
选项:
A: 正确
B: 错误
答案: 【 正确】
4、判断题:
由于单相异步电动机中产生的磁场是脉动的,所以单相异步电动机不能长时间转动。
选项:
A: 正确
B: 错误
答案: 【 错误】
1、单选题:
三相异步电动机的旋转磁场的旋转方向决定于( ) 。
选项:
A: 电源电压大小
B: 电源频率高低
C: 定子电流的相序
D: 电动机的转向
答案: 【 定子电流的相序】
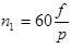
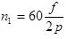
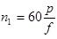
2、单选题:
旋 转 磁 场 的 转 速 n1 与 极 对 数 p 和 电 源 频 率 f 的 关 系 是( ) 。
选项:
A: 
B: 
C: 
D: 没有正确答案
答案: 【
】
3、多选题:
三相异步电动机中旋转磁场的转速与 和 有关。
选项:
A: 磁极对数
B: 电压大小
C: 电源频率
D: 电源相序
答案: 【 磁极对数;
电源频率】
4、判断题:
三相异步电动机中的旋转磁场都是一对极的。
选项:
A: 正确
B: 错误
答案: 【 错误】
5、判断题:
三相异步电动机中的旋转磁场是一个合成磁场,不是由磁铁形成的。
选项:
A: 正确
B: 错误
答案: 【 正确】
6、判断题:
如果三相异步电动机的三相绕组中,只有一相通以正弦交流电流,也能形成旋转磁场。
选项:
A: 正确
B: 错误
答案: 【 错误】
1、单选题:
图示电路,换路前已处于稳态,换路时开关断开,电路时间常数为( )。

选项:
A: 1ms
B: 4ms
C: 2ms
D: 3ms
答案: 【 2ms】
2、单选题:
电路如图1所示。换路前电路已处于稳态,当开关在t =0时刻打开时,这是一个( )过程。

选项:
A: 全响应
B: 稳态
C: 零输入
D: 零状态
答案: 【 全响应】
3、单选题:
电路如图所示,换路前电路已处于稳态,当开关在t =0时刻打开时,电流i (0+)为( )。

选项:
A: 3A
B: 0.75
C: 1.5A
D: 2A
答案: 【 1.5A】
4、判断题:
全响应即为电源激励、电容元件的初始状态均不为零时电路的响应。根据叠加定理,全响应可视为零输入响应 和零状态响应的叠加。
选项:
A: 正确
B: 错误
答案: 【 正确】
1、单选题:
电路的初始储能为零,仅由外加激励作用于电路引起的响应称为( )。
选项:
A: 暂态响应
B: 零状态响应
C: 零输入响应
D: 全响应
答案: 【 零状态响应】
2、单选题:
零状态响应的实质就是电容的( )过程。
选项:
A: 放电
B: 稳态
C: 充电
D: 稳态
答案: 【 充电】
3、单选题:
RC电路零状态响应中,若电源上电压的初始值为10V,经过一个τ 的时间后,电容上的电压为( )V。
选项:
A: 6.32V
B: 3.68V
C: -8V
D: 8V
答案: 【 6.32V】
4、单选题:
时间常数越小,暂态持续的时间( )。
选项:
A: 不受影响
B: 越长
C: 增加
D: 越短
答案: 【 越短】
5、单选题:
RC串联电路与电压为8V的恒压源在t = 0瞬间接通,如图1所示,接通前uC ( 0– ) = 0 ,电阻分别为1 kΩ,6kΩ,3kΩ和
备案号:冀ICP备20010840号 2020-2099辉辉网络科技 All Rights Reserved