

1、判断题:
如下图所示的换热器系统,蒸汽是该系统的操作量,这种说法是对或错?

选项:
A: 正确
B: 错误
答案: 【 正确】
2、判断题:
20世纪40-50年代,过程控制自动化仪表,采用的是基地式仪表和部分单元组合仪表,这种说法是对或错?
选项:
A: 正确
B: 错误
答案: 【 正确】
3、判断题:
20世纪40-50年代过程控制理论:以反馈为中心的经典控制理论,这种说法是对或错?
选项:
A: 正确
B: 错误
答案: 【 正确】
4、判断题:
20世纪90年代至今,过程控制实现了管控一体化现场,综合自动化是当今生产过程控制的发展方向,这种说法是对或错?
选项:
A: 正确
B: 错误
答案: 【 正确】
5、判断题:
调节时间和振荡频率衡量的是过程控制快速性能指标,这种说法是对或错?
选项:
A: 正确
B: 错误
答案: 【 正确】
6、判断题:
余差是衡量过程控制系统相对稳定性指标,这种说法是对或错?
选项:
A: 正确
B: 错误
答案: 【 错误】
7、填空题:
过程控制系统的基本组成包括 、 、 、 和 。
答案: 【 被控对象 执行器 调节器 检测变送 报警联锁装置】
8、填空题:
对过程控制系统的要求包括 、 和
答案: 【 稳定性 安全性 经济性】
9、填空题:
过程控制系统的单项性能指标包括 、 、 、 和
答案: 【 衰减比;衰减率 超调量;最大动态偏差 余差 调节时间;峰值时间;振荡频率】
1、判断题:
单容水槽是一个自平衡对象,这种说法是对或错?
选项:
A: 正确
B: 错误
答案: 【 正确】
2、判断题:
机理法建模的特点是概念明确、适用范围宽,要求对该过程机理明确,这种说法是对或错?
选项:
A: 正确
B: 错误
答案: 【 正确】
3、判断题:
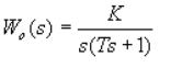
是自衡过程,这种说法是对或错? 
选项:
A: 正确
B: 错误
答案: 【 错误】
4、判断题:
一个无自平衡能力的单容水槽与一个具有自平衡能力的单容水槽串联后的对象具有自平衡能力,这种说法是对或错?
选项:
A: 正确
B: 错误
答案: 【 错误】
5、判断题:
假设某一过程可用一阶惯性加纯延迟表示,下图根据阶跃响应确定过程纯延迟和时间常数的作图法是是对或错?

选项:
A: 正确
B: 错误
答案: 【 正确】
6、判断题:
下图是
的阶跃响应曲线,这种说法是对或错?

选项:
A: 正确
B: 错误
答案: 【 错误】
7、判断题:
频域法建模困难之处在于相角信息测量比较困难,这种说法是对或错? 。
选项:
A: 正确
B: 错误
答案: 【 正确】
8、判断题:
利用相关法,可以剔除与信号不同频的噪声,这种说法是对或错?
选项:
A: 正确
B: 错误
答案: 【 正确】
9、判断题:
白噪声为功率谱密度为常数的信号,这种说法是对或错?
选项:
A: 正确
B: 错误
答案: 【
备案号:冀ICP备20010840号 2020-2099辉辉网络科技 All Rights Reserved