

1、单选题:

选项:
A: 一定收敛,而且和为0.
B: 一定收敛,但是和不一定为0.
C: 一定发散
D: 不一定收敛
答案: 【 不一定收敛】
2、判断题:
级数
和级数
有相同的敛散性。
选项:
A: 正确
B: 错误
答案: 【 错误】
3、判断题:
如果级数
均发散,则级数
发散。
选项:
A: 正确
B: 错误
答案: 【 错误】
4、填空题:
判断级数
的敛散性。
答案: 【 收敛】
1、单选题:

选项:
A: 仍收敛于s
B: 仍收敛,但是不一定收敛于s
C: 不一定收敛
D: 一定发散
答案: 【 仍收敛于s】
2、单选题:

选项:
A: 
B: 
C: 
D: 
答案: 【
】
3、判断题:
如果级数
都收敛,那么级数
也收敛。
选项:
A: 正确
B: 错误
答案: 【 错误】
4、填空题:
判断级数
的敛散性
答案: 【 发散##%_YZPRLFH_%##不收敛】
1、单选题:
级数
选项:
A: 1
B: 
C: 
D: 发散
答案: 【
】
2、填空题:
求
的和。
答案: 【 1.5】
1、判断题:
如果级数
收敛,而且对于任意的
也收敛。
选项:
A: 正确
B: 错误
答案: 【 错误】
2、判断题:
级数
收敛。
选项:
A: 正确
B: 错误
答案: 【 正确】
3、判断题:
级数
发散。
选项:
A: 正确
B: 错误
答案: 【 错误】
4、判断题:

选项:
A: 正确
B: 错误
答案: 【 错误】
1、判断题:
级数
收敛。
选项:
A: 正确
B: 错误
答案: 【 正确】
2、判断题:
对于收敛的正项级数,其通项必定单调趋于零。
选项:
A: 正确
B: 错误
答案: 【 错误】
3、判断题:
级数
发散。
选项:
A: 正确
B: 错误
答案: 【 错误】
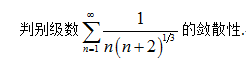
4、填空题:
判别级数
的敛散性
答案: 【 收敛】
5、填空题:
判别级数
的敛散性。
答案: 【 收敛】
6、填空题:
判别级数
,
的敛散性。
答案: 【 收敛】
1、单选题:

选项:
A: 收敛于某一个正数。
B: 发散
C: 不一定收敛
D: 收敛于0
答案: 【 不一定收敛】
2、单选题:

选项:
A: 
B: 
C: 
D: 
答案: 【
】
3、单选题:

选项:
A: 当
时,级数收敛
B: 当
时,级数收敛
C: 当
时,级数发散
D: 以上答案都不对
答案: 【 当
时,级数收敛】
4、判断题:

选项:
A: 正确
B: 错误
答案: 【 正确】
5、判断题:
级数
收敛。
选项:
A: 正确
B: 错误
答案: 【 错误】
6、判断题:
级数
收敛。
选项:
A: 正确
B: 错误
答案: 【 错误】
7、判断题:
级数
收敛.
选项:
A: 正确
B: 错误
答案: 【 正确】
8、填空题:
判别级数
的敛散性。
答案: 【 发散##%_YZPRLFH_%##不收敛】
9、填空题:
求级数
的和。
答案: 【 1】
10、填空题:
求级数
的和。
答案: 【 3】
1、判断题:
级数
条件收敛。
选项:
A: 正确
B: 错误
答案: 【 错误】
2、判断题:
级数
条件收敛。
选项:
A: 正确
B: 错误
答案: 【 正确】
3、判断题:
级数
条件收敛
选项:
A: 正确
B: 错误
答案: 【 正确】
4、判断题:
级数
条件收敛
选项:
A: 正确
B: 错误
答案: 【 错误】
5、判断题:
级数
绝对收敛
选项:
A: 正确
B: 错误
答案: 【 正确】
6、判断题:
如果级数
绝对收敛,那么级数
绝对收敛。
选项:
A: 正确
B: 错误
答案: 【 正确】
1、单选题:

选项:
A: 交错级数
B: 条件收敛
C: 绝对收敛
D: 发散
答案: 【 绝对收敛】
2、单选题:

选项:
A: 
B: 
C: 
D: 
答案: 【
】
3、多选题:

选项:
A: 0<p<1. 条件收敛
B: p>1绝对收敛
C: p=1条件收敛
D: p=1绝对收敛
答案: 【 0<p<1. 条件收敛;
p>1绝对收敛;
p=1条件收敛】
4、多选题:

选项:
A:
时绝对收敛
B:
条件收敛
C:
发散
D:
条件收敛
答案: 【
时绝对收敛;
发散;
条件收敛】
5、判断题:

选项:
A: 正确
B: 错误
答案: 【 正确】
6、判断题:

选项:
A: 正确
B: 错误
答案: 【 正确】
7、判断题:
对于一个收敛而且通项单调递减趋于零的正项级数
,必成立
选项:
A: 正确
B: 错误
答案: 【 错误】
8、判断题:
对于收敛的正项级数,其通项必定单调趋于零。
选项:
A: 正确
B: 错误
答案: 【 错误】
9、填空题:

答案: 【 绝对收敛】
10、填空题:

答案: 【 条件收敛】
11、填空题:
判断级数
的收敛性。
答案: 【 不收敛##%_YZPRLFH_%##发散】
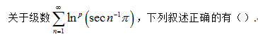
1、多选题:
关于级数
,下列叙述正确的有()
选项:
A:
时条件收敛
B: x>1时发散
C: 0<x<1时绝对收敛
D: 0<x<1时条件收敛
答案: 【
时条件收敛;
0<x<1时绝对收敛】
2、判断题:
如果正项级数
收敛,而且数列
单调,那么级数
收敛。
选项:
A: 正确
B: 错误
答案: 【 正确】
3、填空题:
判别级数
的敛散性
答案: 【 条件收敛】
4、填空题:
判别级数
的敛散性
答案: 【 条件收敛】
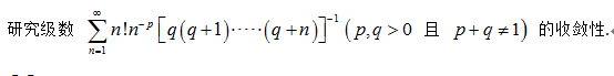
1、多选题:
关于级数
,下列说法正确的是()
选项:
A:
时,该级数收敛
B:
时,该级数发散
C:
时,该级数收敛
D:
时,该级数发散。
答案: 【
时,该级数收敛;
时,该级数发散。】
2、多选题:

选项:
A: p>2,q>1时收敛。
B: 1<p<2, q=1/2时发散
C: p>1,q>1时,级数一定收敛
D: p<1,q<1时级数一定发散
答案: 【 p>2,q>1时收敛。;
p>1,q>1时,级数一定收敛】
1、判断题:
如果正项级数
收敛,级数
发散,那么除去有限项外,必定有
.
选项:
A: 正确
B: 错误
答案: 【 错误】
2、判断题:
对于任意收敛的正项级数
,总是存在常数
使得除去有限项外,满足
选项:
A: 正确
B: 错误
答案: 【 错误】
3、判断题:
如果正项级数
满足
,则该级数收敛。
选项:
A: 正确
B: 错误
答案: 【 错误】
4、填空题:
判别级数
的敛散性。
答案: 【 收敛】
5、填空题:
判别级数
的敛散性。
答案: 【 发散##%_YZPRLFH_%##不收敛】
6、填空题:
判别级数
的敛散性。
答案: 【 收敛】
1、单选题:
关于级数
,下列叙述正确的是()
选项:
A: x>1 时收敛,0<x<1时发散
B: x>0 时收敛
C: x<1 时收敛,x>1时发散
D: x>0时发散
答案: 【 x>0 时收敛】
2、单选题:

选项:
A: 
B: 
C: 
D: 
答案: 【
】
3、判断题:
级数
收敛。
选项:
A: 正确
B: 错误
答案: 【 错误】
4、判断题:
判别级数
收敛。
选项:
A: 正确
B: 错误
答案: 【 正确】
5、判断题:

选项:
A: 正确
B: 错误
答案: 【 错误】
6、填空题:
判断级数
的敛散性。
答案: 【 收敛】
1、多选题:
关于级数
,下列叙述正确的是()
选项:
A: p>1.q>1时收敛
B: p>1. 0<q<1时发散
C: p=1, 0<q<1时发散
D: p=1, q>1时收敛
答案: 【 p>1.q>1时收敛;
p=1, 0<q<1时发散;
p=1, q>1时收敛】
2、填空题:
判别级数
的敛散性。
答案: 【 收敛】
3、填空题:
判别级数
的敛散性。
答案: 【 收敛】
4、填空题:
判别级数
敛散性。
答案: 【 发散##%_YZPRLFH_%##不收敛】
1、多选题:
关于级数
,下列叙述正确的有( )
选项:
A: s>2时该级数收敛
B: 0<s<2时,该级数发散
C: s=2时该级数发散
D: s=2时该级数收敛
答案: 【 s>2时该级数收敛;
0<s<2时,该级数发散;
s=2时该级数发散】
2、多选题:

选项:
A: p>1时该级数收敛
B: p>1时该级数发散
C: p<1时该级数收敛
D: p<1时该级数发散
答案: 【 p>1时该级数收敛;
p<1时该级数发散】
3、多选题:

选项:
A:
时发散
B:
时收敛
C:
时收敛
D:
时发散
答案: 【
时发散;
时收敛;
时收敛;
时发散】
4、多选题:

选项:
A: p>1时收敛
B:
时收敛
C:
时发散
D: 0<p<1时发散
答案: 【 p>1时收敛;
时发散】
5、判断题:

选项:
A: 正确
B: 错误
答案: 【 错误】
6、判断题:

选项:
A: 正确
B: 错误
答案: 【 正确】
7、判断题:
如果正项级数
收敛,那么级数
也收敛。
选项:
A: 正确
B: 错误
答案: 【 正确】
8、判断题:
级数
和正项级数
有相同的敛散性。
选项:
A: 正确
B: 错误
答案: 【 错误】
9、填空题:

答案: 【 发散##%_YZPRLFH_%##不收敛】
10、填空题:

答案: 【 收敛】
11、填空题:
判断正项级数
的敛散性。
答案: 【 收敛】
12、填空题:
判断正项级数
的敛散性。
答案: 【 收敛】
1、多选题:
在[0,1]上定义函数列
备案号:冀ICP备20010840号 2020-2099辉辉网络科技 All Rights Reserved