

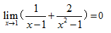
1、单选题:

选项:
A: 
B: 
C: 
D: 
答案: 【
】
2、单选题:
某工厂生产某产品,每天的固定成本为160元,生产一件产品的可变成本为8元,则该厂每天的总成本函数为( ).
选项:
A: c(x)=8x
B: c(x)=160+8x
C: c(x)=160x
D: c(x)=8+160x
答案: 【 c(x)=160+8x】
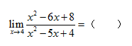
3、单选题:
.
选项:
A: 
B: 
C: 
D: 
答案: 【
】
4、单选题:
.
选项:
A: 3
B: 9
C: 3,6
D: 3,9
答案: 【 3,9】
5、单选题:

选项:
A: 5万元
B: 4.2万元
C: 3.4万元
D: 5.7万元
答案: 【 3.4万元 】
6、单选题:

选项:
A: 50
B: 1500
C: 150
D: 5
答案: 【 1500】
7、单选题:
已知某工厂生产某产品,每天的固定成本为160元,生产一件产品的可变成本为6元,每件产品的售价为10元,该商品的盈亏平衡点为( ).
选项:
A: 10,40
B: 10
C: 40
D: 80
答案: 【 40】
8、单选题:

选项:
A: 5
B: 0
C: 1
D: 不存在
答案: 【 5】
9、单选题:
下列数列中极限存在的是( ).
选项:
A: 
B: 
C: 
D: 
答案: 【
】
10、单选题:
下列数列中极限不存在的是( ).
选项:
A: 
B: 
C: 
D: 
答案: 【
】
11、判断题:
需求函数是关于价格变量的单调增加函数.
选项:
A: 正确
B: 错误
答案: 【 错误】
12、判断题:
供给函数是关于价格变量的单调增加函数.
选项:
A: 正确
B: 错误
答案: 【 正确】
13、判断题:
利润总是随着产量的增加而增加的.
选项:
A: 正确
B: 错误
答案: 【 错误】
14、判断题:
生产中盈亏平衡点是唯一的.
选项:
A: 正确
B: 错误
答案: 【 错误】
15、判断题:
![]()
选项:
A: 正确
B: 错误
答案: 【 正确】
16、判断题:

选项:
A: 正确
B: 错误
答案: 【 错误】
17、判断题:

选项:
A: 正确
B: 错误
答案: 【 错误】
18、判断题:
数列的极限是唯一的.
选项:
A: 正确
B: 错误
答案: 【 正确】
19、判断题:

选项:
A: 正确
B: 错误
答案: 【 错误】
20、判断题:

选项:
A: 正确
B: 错误
答案: 【 正确】
1、单选题:
函数
+cosx是( )
选项:
A: 偶函数
B: 奇函数
C: 非奇非偶函数
D: 既是奇函数又是偶函数
答案: 【 非奇非偶函数】
2、判断题:
y=
是幂函数.
选项:
A: 正确
B: 错误
答案: 【 错误】
1、单选题:
.
选项:
A: 
B: 
C: 
D: 
答案: 【
】
2、单选题:

选项:
A: 
B: 
C: 
D: 
答案: 【
】
3、单选题:
下列各对函数中,相同的一对函数是( ).
选项:
A: 
B: 
C: 
D: 
答案: 【
】
4、单选题:
.
选项:
A: 偶函数
B: 奇函数
C: 非奇非偶函数
D: 既是奇函数又是偶函数
答案: 【 奇函数】
5、单选题:
.
选项:
A: 原点对称
B: y轴对称
C: x轴对称
D: 直线y=x对称
答案: 【 y轴对称 】
6、单选题:
.
选项:
A: 
B: 
C: 
D: 
答案: 【
】
7、单选题:
下列函数中不是复合函数的是( ).
选项:
A: 
B: 
C: 
D: 
答案: 【
】
8、单选题:
下列函数中是基本初等函数的是( ).
选项:
A: 
B: 
C: 
D: 
答案: 【
】
9、单选题:
下列复合函数分解不正确的是( ).
选项:
A: 
B: 
C: 
D: 
答案: 【
】
10、单选题:
下列各组函数中不可进行复合运算的是( ).
选项:
A: 
B: 
C: 
D: 
答案: 【
】
11、判断题:

选项:
A: 正确
B: 错误
答案: 【 错误】
12、判断题:

选项:
A: 正确
B: 错误
答案: 【 正确】
13、判断题:

选项:
A: 正确
B: 错误
答案: 【 正确】
14、判断题:

选项:
A: 正确
B: 错误
答案: 【 正确】
15、判断题:

选项:
A: 正确
B: 错误
答案: 【 错误】
16、判断题:

选项:
A: 正确
B: 错误
答案: 【 错误】
17、判断题:

选项:
A: 正确
B: 错误
答案: 【 错误】
18、判断题:

选项:
A: 正确
B: 错误
答案: 【 错误】
19、判断题:

选项:
A: 正确
B: 错误
答案: 【 错误】
20、判断题:

选项:
A: 正确
B: 错误
答案: 【 错误】
1、单选题:
某工厂生产某产品,每天的固定成本为80元,生产一件产品的可变成本为9元,则该厂每天的总成本函数为( ).
选项:
A: 9x
B: 80+9x
C: 80x
D: 9+80x
答案: 【 80+9x】
2、判断题:
需求函数是关于价格变量的单调增加函数。
选项:
A: 正确
B: 错误
答案: 【 错误】
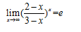
1、单选题:
![]()
选项:
A: 0
B: 1
C: 
D: e
答案: 【 e】
2、判断题:
![]()
选项:
A: 正确
B: 错误
答案: 【 正确】
1、单选题:
下列极限存在的是( )
选项:
A: ![]()
B: ![]()
C: ![]()
D: ![]()
答案: 【
】
2、判断题:
![]()
选项:
A: 正确
B: 错误
答案: 【 错误】
1、单选题:
.
选项:
A: 充分条件
B: 必要条件
C: 充要条件
D: 无关条件
答案: 【 必要条件】
2、单选题:
.
选项:
A: 充分条件
B: 必要条件
C: 充要条件
D: 无关条件
答案: 【 必要条件】
3、单选题:

选项:
A: 0
B: 1
C: 2
D: -1
答案: 【 0】
4、单选题:

选项:
A: 0
B: 1
C: -2
D: -1
答案: 【 -1】
5、单选题:

选项:
A: 
B: 
C: 
D: 
答案: 【
】
6、单选题:

选项:
A: 
B: 
C: 
D: 
答案: 【
】
7、单选题:
.
选项:
A: x=1
B: x=-1
C: x=1和x=-1
D: 不存在
答案: 【 x=1和x=-1】
8、单选题:

选项:
A: x=-1
B: x=3
C: x=-1,x=3
D: x=1,x=3
答案: 【 x=-1,x=3】
9、单选题:

选项:
A: 
B: 
C: 
D: 
答案: 【
】
10、单选题:
如果函数f(x)在某区间上连续,且函数在该区间上一定存在最大值和最小值,则该区间是( ).
选项:
A: (-,+
)
B: (a,b)
C: [a,b]
D: [a,b)
答案: 【 [a,b]】
11、判断题:

选项:
A: 正确
B: 错误
答案: 【 错误】
12、判断题:

选项:
A: 正确
B: 错误
答案: 【 错误】
13、判断题:

选项:
A: 正确
B: 错误
答案: 【 正确】
14、判断题:
一切初等函数在其定义区间内都是连续的.
选项:
A: 正确
B: 错误
答案: 【 正确】
15、判断题:
函数在某点处存在左连续和右连续,则函数在该点处连续.
选项:
A: 正确
B: 错误
答案: 【 正确】
16、判断题:
可去间断点属于第一类间断点.
选项:
A: 正确
B: 错误
答案: 【 正确】
17、判断题:
振荡间断点属于第一类间断点.
选项:
A: 正确
B: 错误
答案: 【 错误】
18、判断题:
![I$7TQDNJZL13GRD]]~6(6)P.png](http://p.ananas.chaoxing.com/star3/origin/3a70752f7edeb46c2f45b84124ffeecd.png)
选项:
A: 正确
B: 错误
答案: 【 错误】
19、判断题:

选项:
A: 正确
B: 错误
答案: 【 错误】
20、判断题:

选项:
A: 正确
B: 错误
答案: 【 正确】
1、单选题:
![]()
选项:
A: 0
B: 1
C: 2
D: -1
答案: 【 0】
2、判断题:
一切初等函数在其定义区间内都是连续的。
选项:
A: 正确
B: 错误
答案: 【 正确】
1、单选题:
![]()
选项:
A: -1
B: 3
C: -1,3
D: 1,-3
答案: 【 -1,3】
2、判断题:
振荡间断点属于第一类间断点。
选项:
A: 正确
B: 错误
答案: 【 错误】
1、单选题:
![]()
选项:
A: 5
B: 0
C: 1
D: 不存在
答案: 【 5】
2、判断题:
数列的极限是唯一的。
选项:
A: 正确
B: 错误
答案: 【 正确】
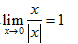
1、单选题:
![]()
选项:
A: 0
B: 1
C: 2
D: 3
答案: 【 3】
2、判断题:
是无穷小量。
选项:
A: 正确
B: 错误
答案: 【 错误】
1、单选题:
![]()
选项:
A: 0
B: 1
C: 
D: 
答案: 【
】
2、判断题:
求极限时函数都可用它的等价无穷小来替换。
选项:
A: 正确
B: 错误
答案: 【 错误】
1、单选题:
下列极限存在的是( ).
选项:
A: 
B: 
C: 
D: 
答案: 【
】
2、单选题:
下列极限存在的是( ).
选项:
A: 
B: 
C: 
D: 
答案: 【
】
3、单选题:
.
选项:
A: 不存在
B: 1
C: -5
D: -3
答案: 【 -5】
4、单选题:
.
选项:
A: 2
B: 6
C: -5
D: -3
答案: 【 6】
5、单选题:
.
选项:
A: 不存在
B: 1
C:
D:
答案: 【 】
6、单选题:
.
选项:
A: 1
B:
C:
D: 2
答案: 【 2】
7、单选题:
.
选项:
A: 1
B:
C:
D: 不存在
答案: 【 】
8、单选题:
.
选项:
A: 1
B:
C:
D: 不存在
答案: 【 1】
9、单选题:
。
选项:
A: 1
B:
C:
D: 2
答案: 【 2】
10、单选题:
.
选项:
A: 1
B:
C:
D: 不存在
答案: 【 】
11、判断题:

选项:
A: 正确
B: 错误
答案: 【 错误】
12、判断题:

选项:
A: 正确
B: 错误
答案: 【 错误】
13、判断题:

选项:
A: 正确
B: 错误
答案: 【 正确】
14、判断题:
.
选项:
A: 正确
B: 错误
答案: 【 错误】
15、判断题:
.
选项:
A: 正确
B: 错误
答案: 【 正确】
16、判断题:
.
选项:
A: 正确
B: 错误
答案: 【 错误】
17、判断题:
.
选项:
A: 正确
B: 错误
答案: 【 错误】
18、判断题:

选项:
A: 正确
B: 错误
答案: 【 正确】
19、判断题:

选项:
A: 正确
B: 错误
答案: 【 正确】
20、判断题:

选项:
A: 正确
B: 错误
答案: 【 错误】
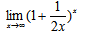
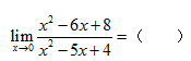
1、单选题:
下列各式中极限值为1的是( ).
选项:
A: 
B: 
C: 
D: 
答案: 【
】
2、单选题:
下列各式中正确的是( ).
选项:
A: 
B: 
C: 
D: 
答案: 【
】
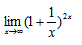
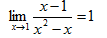
3、单选题:
下列各式中极限值为e的是( ).
选项:
A: 
B: 
C: 
D: 
答案: 【
】
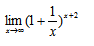
4、单选题:
下列极限不存在的是( ).
选项:
A: 
B: 
C: 
D: 
答案: 【
】
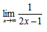
5、单选题:
![]()
选项:
A: 0
B: 1
C: 2
D: 3
答案: 【 3】
6、单选题:
.
选项:
A:
B:
C: e
D:
答案: 【 】
7、单选题:
.
选项:
A: x
B: x1
C: x0
D: x2
答案: 【 x】
8、单选题:
.
选项:
A: 0
B: 1
C:
D:
答案: 【 】
9、单选题:
.
选项:
A: 0
B: 1
C: 2
D:
答案: 【 2】
10、单选题:
.
选项:
A: 0
B: 1
C:
D: e
答案: 【 e】
11、判断题:

选项:
A: 正确
B: 错误
答案: 【 错误】
12、判断题:

选项:
A: 正确
B: 错误
答案: 【 错误】
13、判断题:

选项:
A: 正确
B: 错误
答案: 【 正确】
14、判断题:

选项:
A: 正确
B: 错误
答案: 【 正确】
15、判断题:

选项:
A: 正确
B: 错误
答案: 【 错误】
16、判断题:

选项:
A: 正确
B: 错误
答案: 【 正确】
17、判断题:
.
选项:
A: 正确
B: 错误
答案: 【 错误】
18、判断题:

选项:
A: 正确
B: 错误
答案: 【 正确】
19、判断题:

选项:
A: 正确
B: 错误
答案: 【 正确】
20、判断题:

选项:
A: 正确
B: 错误
答案: 【 正确】
1、单选题:
![]()
选项:
A: 不存在
B: 1
C: 
D: 
答案: 【
】
2、判断题:
![]()
选项:
A: 正确
B: 错误
答案: 【 错误】
1、单选题:
函数
的导数为( )
选项:
A: 
B: 
C: 
D: 
答案: 【
】
2、判断题:
设
,则
选项:
A: 正确
B: 错误
答案: 【 正确】
1、单选题:
若
满足
,,则
( )
选项:
A: -4
B: -2
C: 2
D: 4
答案: 【 -2】
2、判断题:
,
选项:
A: 正确
B: 错误
答案: 【 错误】
1、单选题:
物体运动方程为
,则t=5时的瞬时速度为( )
选项:
A: 5
B: 25
C: 125
D: 625
答案: 【 125】
2、判断题:
函数f(X)在
处的导数就是f(x)在
处对自变量的瞬时变化率。
选项:
A: 正确
B: 错误
答案: 【 正确】
1、单选题:
物体运动方程为,则t=5时的瞬时速度为( ).
选项:
A: 5
B: 25
C: 125
D: 625
答案: 【 125】
2、单选题:
设 ,则
( ).
选项:
A: 2x
B: 2
C: 4
D: -2
答案: 【 4】
3、单选题:
曲线在点(1,-1)处的切线方程为( ).
选项:
A:
B:
C:
D:
答案: 【 】
4、单选题:
与直线2x-y+4=0平行的抛物线y=
的切线方程是( ).
选项:
A: 2x-y+3=0
B: 2x-y-3=0
C: 2x-y+1=0
D: 2x-y-1=0
答案: 【 2x-y-1=0】
5、单选题:
函数在
处连续,则( ).
选项:
A: 函数在点
处可导.
B: .
C: 函数在点
处可微.
D: 以上都不对.
答案: 【 .】
6、单选题:
,则
等于( ).
选项:
A:
B:
C:
D:
答案: 【 】
7、单选题:
若满足
,则
( ).
选项:
A: -4
B: -2
C: 2
D: 4
答案: 【 -2】
8、单选题:
设函数, 则
( ) .
选项:
A: 0
B: 1
C: -1
D: 以上都不对
答案: 【 0】
9、单选题:
下列结论:
①;②
备案号:冀ICP备20010840号 2020-2099辉辉网络科技 All Rights Reserved