

1、单选题:
在做自由落体运动的升降机内,某人竖直上抛一弹性球,此人会观察到:( )
选项:
A: 球匀减速地上升,达最大高度后匀加速下落
B: 球匀速地上升,与顶板碰撞后匀速下落
C: 球匀减速地上升,与顶板接触后停留在那里
D: 球匀减速地上升,达最大高度后停留在那里
答案: 【 球匀速地上升,与顶板碰撞后匀速下落】
2、单选题:
某人骑自行车以10 m/s的速度在大风中向东行驶,他感到风正以同样大小的速率从北方吹来,实际上风的速度为( )
选项:
A: 14 m/s,方向为南偏东45°
B: 14 m/s,方向为南偏西45° C
C: 10 m/s,方向为正北
D: 10 m/s,方向为正南
答案: 【 14 m/s,方向为南偏东45°】
3、判断题:
静止是相对的,运动是绝对的这种说法对吗?
选项:
A: 正确
B: 错误
答案: 【 正确】
1、单选题:
下列说法中,正确的是
选项:
A: 一物体若具有恒定的速率,则没有变化的速度
B: 一物体具有恒定的速度,但仍有变化的速率
C: 一物体具有恒定的加速度,则其速度不可能为零
D: 一物体具有沿y轴负方向的加速度而有沿y轴正方向的速度
答案: 【 一物体具有沿y轴负方向的加速度而有沿y轴正方向的速度】
2、单选题:

选项:
A: 
B: 
C: 
D: 0
答案: 【
】
3、单选题:

选项:
A: 匀速直线运动
B: 变速直线运动
C: 抛物线运动
D: 一般曲线运动
答案: 【 变速直线运动】
4、单选题:

选项:
A: 只有(1)正确
B: 只有(1)(5)正确
C: 只有(4)(5)正确
D: 只有(1)(4)(5)正确
答案: 【 只有(1)(5)正确】
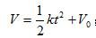
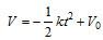
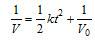
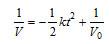
5、单选题:

选项:
A: 
B: 
C: 
D: 
答案: 【
】
1、单选题:
以下哪种情况不可以把研究对象看作质点( )。
选项:
A: 地球自转
B: 地球绕太阳公转
C: 平动的物体
D: 物体的形状和线度对研究问题的性质影响很小
答案: 【 地球自转】
2、单选题:
下列说法中,正确的是:( )
选项:
A: 一物体若具有恒定的速率,则没有变化的速度;
B: 一物体具有恒定的速度,但仍有变化的速率;
C: 一物体具有恒定的加速度,则其速度不可能为零;
D: 一物体具有沿x轴正方向的加速度而有沿x轴负方向的速度。
答案: 【 一物体具有沿x轴正方向的加速度而有沿x轴负方向的速度。】
3、判断题:
当质点做直线运动时,它的位移和路程大小是相等的()
选项:
A: 正确
B: 错误
答案: 【 错误】
1、单选题:
对质点组有以下几种说法:(1)质点组总动量的改变与内力无关;(2)质点组总动能的改变与保守内力无关;(3)质点组机械能的改变与保守内力无关。在上述说法中,[ ]
选项:
A: 只有(1)是正确的
B: (1)、(3)是正确的
C: (1)、(2)是正确的
D: (2)、(3)是正确的
答案: 【 (1)、(3)是正确的】
1、单选题:
一对静摩擦力的功一定为()
选项:
A: 0
B: 不为0
C: 可能为0也可能不为0
D: 无法确定
答案: 【 0】
2、判断题:
重力是非保守力,因为重力做功与路径有关
选项:
A: 正确
B: 错误
答案: 【 错误】
1、单选题:
人造地球卫星,绕地球作椭圆轨道运动,地球在椭圆的一个焦点上,则卫星的
选项:
A: 动量不守恒,机械能不守恒
B: 动量守恒,机械能守恒
C: 对地心的角动量守恒,机械能守恒
D: 对地心的角动量不守恒,机械能守恒
答案: 【 对地心的角动量守恒,机械能守恒】
1、单选题:

选项:
A: 
B: 
C: 
D: 
答案: 【
】
2、单选题:

选项:
A:
备案号:冀ICP备20010840号 2020-2099辉辉网络科技 All Rights Reserved