

1、单选题:
设向量
满足
, 且
, 则 
选项:
A: -25
B: 25
C: 50
D: -50
答案: 【 -25】
2、单选题:
设
均为非零向量, 满足
, 则 
选项:
A: 
B: 
C: 
D: 不确定
答案: 【
】
3、单选题:
对任意向量
, 总有
选项:
A: 
B: 
C: 
D: 
答案: 【
】
4、单选题:
平面
的位置是:( )
选项:
A: 通过 y 轴
B: 平行于xOz坐标面
C: 平行于 x 轴
D: 垂直于 x 轴
E: 垂直于 y 轴
答案: 【 通过 y 轴】
5、单选题:
平面
与 平面
重合的充要条件是:
选项:
A: 
B: 
C: 
D: 
答案: 【
】
6、单选题:
已知两平面
, 则当
时,
选项:
A: 
B: 
C: 
D: 
答案: 【
】
7、单选题:

选项:
A: 
B: 
C: 
D: 
答案: 【
】
8、单选题:

选项:
A: 13
B: 16
C: -13
D: -16
答案: 【 13】
9、单选题:
下列向量的运算中,错误的是:
选项:
A: 
B: 
C: 
D: 
答案: 【
】
10、单选题:

选项:
A: 
B: 
C: 
D: 
答案: 【
】
1、单选题:
两平面
,
各自与平面
的交线是( )
选项:
A: 平行的
B: 相交的
C: 异面的
D: 重合的
E: 无法判断
答案: 【 平行的】
2、单选题:
曲面
与曲面
的交线是( )
选项:
A: 圆周
B: 抛物线
C: 双曲线
D: 椭圆
答案: 【 圆周】
3、单选题:
旋转曲面
的旋转轴是( )
选项:
A: z 轴
B: x 轴
C: y 轴
D: 直线: x=y=z
答案: 【 z 轴】
4、单选题:
空间曲面
与 曲面
的交线在 xOy 坐标面上的投影方程是( )
选项:
A: 
B: 
C: 
D: 
E: 
答案: 【
】
5、单选题:
直线
与直线
的相对关系是( )
选项:
A: 垂直
B: 平行
C: 重合
D: 异面
答案: 【 垂直】
6、单选题:
方程
在空间直角坐标系中表示( )
选项:
A: 圆柱面
B: 点
C: 圆
D: 旋转抛物面
E: 椭圆锥面
答案: 【 圆柱面】
7、单选题:
zOx 坐标面上的抛物线
绕 x 轴旋转而成的曲面方程是( )
选项:
A: 
B: 
C: 
D: 
E: 
答案: 【
】
8、单选题:
方程
在空间直角坐标系中表示( )
选项:
A: 顶点在坐标原点,开口向上的圆锥面
B: 旋转抛物面
C: 顶点在坐标原点,开口向下的圆锥面
D: 抛物柱面
答案: 【 顶点在坐标原点,开口向上的圆锥面】
9、单选题:
顶点在原点的椭圆锥面方程为
选项:
A: 
B: 
C: 
D: 
答案: 【
】
10、单选题:

选项:
A: 
B: 4
C: 5
D: 
答案: 【
】
11、单选题:

选项:
A: 直线段
B: 椭圆
C: 抛物线
D: 圆
答案: 【 直线段】
12、单选题:

选项:
A: 1
B: 2
C: 3
D: 4
答案: 【 1】
1、单选题:
点 (3, 5, -2) 在下述哪个坐标面上的投影点是M(0, 5, -2).
选项:
A: yOz坐标面
B: xOy坐标面
C: zOx坐标面
D: xOy坐标面,或者 zOx坐标面
答案: 【 yOz坐标面】
2、单选题:
设有非零向量
, 若
则必有:
选项:
A: 
B: 
C: 
D: 
答案: 【
】
3、单选题:
点(1, -2, 3)到 y 轴的距离为:
选项:
A: 
B: 
C: 
D: 
E: 
答案: 【
】
4、单选题:
设向量
有共同的起点,则与
共面且平分
与
夹角的向量是:
选项:
A: 
B: 
C: 
D: 
E: 
答案: 【
】
5、单选题:
设向量
的方向角依次为
, 且满足
, 则向量
垂直于下述哪个坐标面?
选项:
A: xOy坐标面
B: yOz坐标面
C: zOx坐标面
D: 无法判断
答案: 【 xOy坐标面】
6、单选题:
设
,
与轴
的夹角为30度,则向量
在轴
上的投影为:
选项:
A: 
B: 
C: 2
D: -2
答案: 【
】
7、单选题:

选项:
A: 
B: 
C: 
D: 
答案: 【
】
8、单选题:

选项:
A: 
B: 
C: 
D: 
答案: 【
】
1、单选题:
函数
在点 (0, 0)处 ( )
选项:
A: 偏导存在,但不可微
B: 连续,但不可微
C: 可微
D: 既不连续,偏导也不存在
答案: 【 偏导存在,但不可微】
2、单选题:
设
具有二阶连续导数,则 
选项:
A: 
B: 
C: 
D: 
答案: 【
】
3、单选题:
设
是由
确定, 则 
选项:
A: z
B: x
C: y
D: 1
答案: 【 z】
4、单选题:
设函数
是由方程
所确定, 其中
具有一阶连续偏导数,则 
选项:
A: 1
B: 0
C: -1
D: 2
答案: 【 1】
5、单选题:
二元函数
在某一点处有偏导数是它在该点存在全微分的 ( )
选项:
A: 必要而非充分条件
B: 充分而非必要条件
C: 充分且必要条件
D: 既非充分也非必要条件
答案: 【 必要而非充分条件】
6、单选题:
设
是二元可微函数,
,则 
选项:
A: 
B: 0
C: 
D: 
答案: 【
】
7、单选题:
设
, 则 
选项:
A: 
B: 
C: 
D: 
答案: 【
】
8、单选题:
设函数
, 则 
选项:
A: 
B: 
C: 
D: 
答案: 【
】
9、单选题:
设
有连续的一阶偏导数,又函数
及
分别由下列两式确定,则
(1)
;
(2) 
选项:
A: 
B: 
C: 
D: 
答案: 【
】
10、单选题:
设
,且当
时,
,则 
选项:
A: 
B: 
C: 
D: 
答案: 【
】
11、单选题:
设函数
由方程
所确定, 则
选项:
A: 
B: 
C: 
D: 
答案: 【
】
12、单选题:
已知方程
, 则
分别等于
选项:
A: 
B: 
C: 
D: 
答案: 【
】
1、单选题:
设
,则 
选项:
A: 
B: 
C: 
D: 
E: 
答案: 【
】
2、单选题:
设
, 且
, 则 
选项:
A: 2
B: 4
C: – 4
D: – 2
E: 1
答案: 【 2】
3、单选题:
设
,则 
选项:
A: 1, 1
B: 0, 0
C: 1, 0
D: 0, 1
答案: 【 1, 1】
4、单选题:
当
时,下列极限存在的是:
选项:
A: 
B: 
C: 
D: 
E: 
答案: 【
】
5、单选题:

选项:
A: 
B: 
C: 
D: 
答案: 【
】
6、单选题:

选项:
A: 函数在该点连续,但在该点处的两个偏导均不存在
B: 函数在该点不连续,但在该点处的两个偏导均存在
C: 函数在该点连续,且在该点处的两个偏导均存在
D: 函数在该点不连续,且在该点处的两个偏导均不存在
答案: 【 函数在该点连续,但在该点处的两个偏导均不存在】
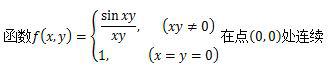
7、单选题:
关于函数
在点
处的连续性和可导性,下列说法正确的是:
选项:
A: 函数在该点不连续,但在该点处的两个偏导均存在
B: 函数在该点连续,但在该点处的两个偏导均不存在
C: 函数在该点连续,且在该点处的两个偏导均存在
D: 函数在该点不连续,且在该点处的两个偏导均不存在
答案: 【 函数在该点不连续,但在该点处的两个偏导均存在】
8、单选题:
函数
, 求
和
.
选项:
A: 
B: 
C: 
D: 
答案: 【
】
9、单选题:

选项:
A: 0
B: 
C: 
D: 
答案: 【 0】
10、判断题:

选项:
A: 正确
B: 错误
答案: 【 错误】
11、判断题:

备案号:冀ICP备20010840号 2020-2099辉辉网络科技 All Rights Reserved