

1、单选题:
计算机控制系统中的控制器功能是通过 来实现的。
选项:
A: 计算机
B: 采样器
C: 滤波器
D: 保持器
答案: 【 计算机】
2、单选题:
计算机控制系统中,在控制器输入端需要A/D转换器,将模拟量信号转化为 信号。
选项:
A: 连续量
B: 模拟量
C: 数字量
D: 非线性
答案: 【 数字量】
3、单选题:
当A/D、D/A转换器的精度足够高时,数字信号e(kT)与采样信号e*(t)是_________的。
选项:
A: 一致
B: 类似
C: 等价
D: 不等价
答案: 【 等价】
4、单选题:
采样定理对采样开关采样频率的要求是至少 连续时间信号所含最高频率的两倍。这样,采样离散点序列信号的镜像频谱与主频谱才能相互分离。
选项:
A: 低于
B: 等于
C: 低于等于
D: 高于
答案: 【 高于】
5、单选题:
在计算机控制系统的分类当中,分散型控制系统的英文缩写是 。
选项:
A: DDC
B: DCS
C: FCS
D: CIMS
答案: 【 DCS】
6、单选题:
常用的保持器有零阶、一阶及高阶,
为_____________的传递函数。
选项:
A: 零阶保持器
B: 一阶保持器
C: 高阶保持器
D: 采样开关
答案: 【 零阶保持器】
7、单选题:
将数字信号系列恢复成连续信号的装置叫采样保持器。零阶保持器的目的是将____________信号恢复为被控对象能够感知的连续模拟信号。
选项:
A: 模拟量
B: 离散(采样)
C: 连续
D: 线性
答案: 【 离散(采样)】
8、单选题:
零阶保持器ZOH(Zero-Order Hold)所得到的信号是 信号,它只能近似地恢复连续信号。
选项:
A: 阶梯形
B: 斜坡形
C: 抛物线形
D: 二次型
答案: 【 阶梯形】
9、单选题:
计算机控制系统从本质上看,其控制过程可归结为以下三个步骤:实时数据采集、实时决策、______________。
选项:
A: 实时预测
B: 实时诊断
C: 在线分析
D: 实时控制
答案: 【 实时控制】
10、单选题:
__________控制系统“4C”技术综合了计算机(Computer)、控制(Control)、通讯(Communication)和显示(CTR)技术。
选项:
A: 直接数字
B: 操作指导
C: 分散
D: PID
答案: 【 分散】
11、判断题:
计算机在控制系统中的主要用途是进行工程计算和完成控制任务。
选项:
A: 正确
B: 错误
答案: 【 正确】
12、判断题:
在计算机控制系统中,控制器的输入和输出信号均是数字量。在其输入端需A/D转换器,将模拟量信号转换为数字量信号。
选项:
A: 正确
B: 错误
答案: 【 正确】
13、判断题:
在计算机控制系统中,控制器输出端需要D/A转换器,将模拟量信号转化为数字量信号。
选项:
A: 正确
B: 错误
答案: 【 错误】
14、判断题:
采样器、保持器和数字控制器的结构形式和控制规律决定了计算机控制系统的动态特性,稳态控制精度则由A/D、D/A转换器的分辨率决定。
选项:
A: 正确
B: 错误
答案: 【 正确】
15、判断题:
计算机控制系统的采样过程就是连续信号通过采样开关后,转变为脉冲序列(离散信号)或数字序列的过程。
选项:
A: 正确
B: 错误
答案: 【 正确】
16、判断题:
采样定理对采样开关的采样频率要求是至少高于连续时间信号所含的最高频率。
选项:
A: 正确
B: 错误
答案: 【 错误】
17、判断题:
计算机控制系统中的执行机构和控制对象的输入信号一般为连续模拟信号,将计算机输出的数字信号系列还原成连续信号的过程,就是信号的恢复过程。
选项:
A: 正确
B: 错误
答案: 【 正确】
18、判断题:
零阶保持器是一个低通滤波器,高频信号通过零阶保持器不能完全滤除,同时产生相位超前。
选项:
A: 正确
B: 错误
答案: 【 错误】
19、判断题:
连续信号f(t)经理想脉冲函数采样后的离散信号f*(t)由理想脉冲序列组成,幅值由f(t)在t=kT时刻的值确定。
选项:
A: 正确
B: 错误
答案: 【 正确】
20、判断题:
计算机控制系统的典型形式有:操作指导控制系统、直接数字控制系统(DDC)、监督控制系统(SCC)、分散型控制系统(DCS)、现场总线控制系统(FCS)、计算机集成制造CIMS系统。
选项:
A: 正确
B: 错误
答案: 【 正确】
1、单选题:
Z变换实质是拉氏变换的一种推广,也称为 。
选项:
A: 级数求和法
B: 离散拉氏变换
C: 部分分式法
D: 脉冲传递函数
答案: 【 离散拉氏变换】
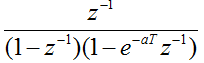
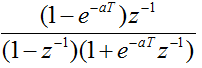
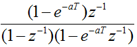
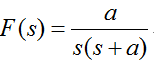
2、单选题:
已知
, 其Z变换式F(z)为: _____________。
选项:
A: 
B: 
C: 
D: 
答案: 【
】
3、单选题:
由F(z)求出相应的离散时间序列f(kT)或f*(t)的过程,称为Z反变换。其中,
为________序列,
为________序列。
选项:
A: 数值,脉冲
B: 脉冲,数值
C: 数值,数值
D: 脉冲,脉冲
答案: 【 数值,脉冲】
4、单选题:
已知Z变换式
,其Z反变换式f(kT)为:_______________。
选项:
A: 
B: 
C: 
D: 
答案: 【
】
5、单选题:
函数
的初值和终值分别为____________和____________。
选项:
A: 1,0
B: 0,1
C: 1,1
D: 0,0
答案: 【 1,0】
6、单选题:
已知 x(k+2)+3x(k+1)+2x(k)=0 的初始条件为x(0)=0, x(1)=1,且
。其时间响应式x(k)为 ,k=0, 1, 2, …。
选项:
A: 
B: 
C: 
D: 
答案: 【
】
7、单选题:
设输入为单位阶跃序列,利用Z变换法求解二阶离散系统 y(k)-5y(k-1)+6y(k-2)=u(k) 的差分方程为: _____________。
选项:
A:
备案号:冀ICP备20010840号 2020-2099辉辉网络科技 All Rights Reserved