

1、单选题:
下列各组中, 函数
和
相同的是
选项:
A: 
B: 
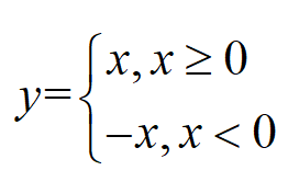
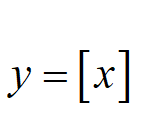
C: 
D: 
答案: 【
】
2、单选题:
函数
在其定义域内为
选项:
A: 有界函数;
B: 偶函数;
C: 单调函数;
D: 周期函数.
答案: 【 有界函数;】
3、单选题:
设
, 则
选项:
A: 
B: 0
C: 
D: 1
答案: 【 0】
4、单选题:

选项:
A: 
B: 
C: 
D: 
答案: 【
】
5、单选题:
下列函数中不是初等函数的是
选项:
A: 
B: 
C: 
D: 
答案: 【
】
6、单选题:
某市近10年国内生产总值从1000亿元开始以8%的速度增长,则这个城市近10年的国内生产总值一共是( )亿元.
选项:
A: 
B: 
C: 
D: 
答案: 【
】
7、判断题:
函数
在
时是增函数,
时也是增函数, 所以
是增函数.
选项:
A: 正确
B: 错误
答案: 【 错误】
8、判断题:
函数
是奇函数.
选项:
A: 正确
B: 错误
答案: 【 正确】
9、判断题:
函数
是由
复合而成的.
选项:
A: 正确
B: 错误
答案: 【 错误】
10、判断题:

选项:
A: 正确
B: 错误
答案: 【 错误】
11、判断题:

选项:
A: 正确
B: 错误
答案: 【 正确】
12、判断题:

选项:
A: 正确
B: 错误
答案: 【 错误】
13、填空题:
已知
, 则
答案: 【 2】
14、填空题:

答案: 【 2】
15、填空题:

答案: 【 11】
1、单选题:
下列数列有极限,并且极限值为1的是
选项:
A: 
B: 
C: 
D: 
答案: 【
】
2、单选题:

选项:
A: 2
B: 
C: 
D: 
答案: 【
】
3、单选题:

选项:
A: 
B: 
C: 
D: 
答案: 【
】
4、单选题:

选项:
A: 
B: 
C: 
D: 
答案: 【
】
5、单选题:
̴
备案号:冀ICP备20010840号 2020-2099辉辉网络科技 All Rights Reserved