

1、单选题:
以太网络最典型的应用形式为顶层采用Ethernet,网络层和传输层一般采用国际标准()协议。
选项:
A: TCP/IP
B: IPX/SPX
C: NetBEUI
D: RS-232-C
答案: 【 TCP/IP】
2、单选题:
D/A转换器误差的主要来源是( )和保持器(采样点之间插值)的形式以及规定的时间间隔T来决定。
选项:
A: 转换器种类
B: 信号种类
C: 转换器字长
D: 信号大小
答案: 【 转换器字长】
3、单选题:
智能仪表接入计算机有两种途径,一种是485串行方式,另一种是( )。
选项:
A: ATM网
B: 以太网Ethernet
C: FDDI网
D: 互联网 Internet
答案: 【 以太网Ethernet】
4、多选题:
计算机控制系统的主要特点是
选项:
A: 结构混合
B: 信号混合
C: 结构唯一
D: 信号唯一
答案: 【 结构混合;
信号混合】
5、多选题:
计算机控制系统的性能指标主要有
选项:
A: 稳定性
B: 稳态指标
C: 动态指标
D: 综合指标等
答案: 【 稳定性 ;
稳态指标;
动态指标;
综合指标等】
6、多选题:
计算机控制系统的基本类型有哪些
选项:
A: 计算机监督控制系统
B: 集中式计算机控制系统
C: 集散控制系统
D: 总线控制系统
答案: 【 计算机监督控制系统;
集中式计算机控制系统;
集散控制系统;
总线控制系统】
7、判断题:
计算机控制系统就是由模拟器件参与并作为核心环节的自动控制系统,即应用模拟器件参与控制并借助一些辅助部件与被控对象相联系,以获得一定控制目的而构成的系统。
选项:
A: 正确
B: 错误
答案: 【 错误】
8、判断题:
计算机控制系统主要从信号变换、对象建模与性能分析、控制算法设计、控制系统仿真、控制系统实现等5个方面系统讲述计算机控制系统分析和设计的基本理论和方法。
选项:
A: 正确
B: 错误
答案: 【 正确】
9、判断题:
计算机控制实验的基本要求是对课本中所涉及的计算机控制系统的相关理论进行仿真和控制实验研究,包括基础型实验,扩展型实验和研究型实验。
选项:
A: 正确
B: 错误
答案: 【 正确】
10、判断题:
实验平台的“场所便利化”是指被控对象和控制系统小型化,安全性高、成本低,便于使用者携带和使用,在家中和宿舍等场所即可完成各种实验。
选项:
A: 正确
B: 错误
答案: 【 正确】
11、判断题:
分级控制系统由现场总线控制、计算机监督控制、直接数字控制三级组成。
选项:
A: 正确
B: 错误
答案: 【 错误】
12、判断题:
直接数字控制系统DDC把显示、打印、报警和设定值的设定等功能都集中到操作控制台上,实现集中监督和控制,给操作人员带来了极大的方便,且DDC对计算机可靠性要求不高,使用成本低廉。
选项:
A: 正确
B: 错误
答案: 【 错误】
13、填空题:
计算机控制系统中典型的被控对象类型有快过程和慢过程两种,电机调速运动控制系统是( ),炉温控制系统是慢过程。
答案: 【 快过程】
14、填空题:
计算机控制系统中典型的被控对象类型有快过程和慢过程两种,电机调速运动控制系统是快过程,炉温控制系统是( )。
答案: 【 慢过程】
15、填空题:
计算机控制系统典型结构由( )、D/A转换器、执行机构和被控对象、数字控制器、采样开关和A/D转换环节等组成。
答案: 【 测量变送环节】
16、填空题:
计算机控制系统典型结构由测量变送环节、D/A转换器、执行机构和被控对象、( )、采样开关和A/D转换环节等组成。
答案: 【 数字控制器】
17、填空题:
将采样时刻的信号幅值按最小量化单位取整的过程称为( ),其单位越小,采样时刻信号的幅值与变换成的有限位数的二进制数码的差异也越小。
答案: 【 量化】
1、单选题:
零阶保持器的幅频特性表达式为
选项:
A: 
B: 
C: 
D: 
答案: 【
】
2、单选题:
香农采样定理就是如果一个连续信号不包含高于频率
的频率分量,那么就完全可以用周期__________的均匀采样值来描述。
选项:
A: 
B: 
C: 
D: 
答案: 【
】
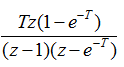
3、单选题:

选项:
A: 
B: 
C: 
D: 
答案: 【
】
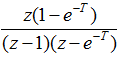
4、单选题:

选项:
A: 
B: 
C: 
D: 
答案: 【
】
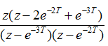
5、单选题:

选项:
A: 
B: 
C: 
D: 
答案: 【
】
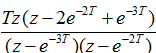
6、单选题:

选项:
A: 
B: 
C: 
D: 
答案: 【
】
7、单选题:

选项:
A: 
B: 
C: 
D: 
答案: 【
】
8、单选题:

选项:
A: 
B: 
C: 
D: 
答案: 【
】
9、单选题:

选项:
A: 
B: 
C: 
D: 
答案: 【
】
10、单选题:

选项:
A: 
B: 
C:
备案号:冀ICP备20010840号 2020-2099辉辉网络科技 All Rights Reserved