

1、填空题:

答案: 【 A={x:0<=x<1000}】
1、单选题:
甲、乙、丙三人各向目标射击一发子弹,以A、B、C分别表示甲、乙、丙命中目标,则事件“最多有一人命中目标可表示为”
选项:
A: 
B: 
C: 
D: 
答案: 【
】
2、单选题:
甲、乙、丙三人各向目标射击一发子弹,以A、B、C分别表示甲、乙、丙命中目标,则事件“恰有一人命中目标可表示为”
选项:
A: 
B: 
C: 
D: 
答案: 【
】
3、单选题:
甲、乙、丙三人各向目标射击一发子弹,以A、B、C分别表示甲、乙、丙命中目标,则事件“至少有一人命中目标可表示为”
选项:
A: 
B: 
C: 
D: 
答案: 【
】
1、单选题:
设盒中有3个白球,2个红球,现从盒中任意抽取2个球,则取到2个白球的概率为【 】。
选项:
A: 3/10
B: 3/5
C: 2/5
D: 1/2
答案: 【 3/10】
1、单选题:
将3个球随机地放入4个杯子中去,则有两个杯子是空的概率为【 】
选项:
A: 7/16
B: 1/3
C: 9/16
D: 2/3
答案: 【 9/16】
1、单选题:

选项:
A: 0.3
B: 0.5
C: 0.7
D: 0.8
答案: 【 0.8】
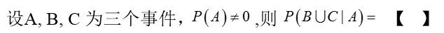
1、填空题:

答案: 【 P(B|A)+P(C|A)-P(BC|A)】
1、单选题:
袋中有3个白球和一个红球,逐次从袋中摸球,每次摸出一球,如是白球则把它放回,并再放入一只白球,如是红球,则不放回,则前两次摸到白球而第3次摸到红球的概率为
选项:
A: 1/10
B: 3/50
C: 1/64
D: 9/64
答案: 【 1/10】
1、单选题:
某疫区新冠肺炎发病率为0.47%,且新冠肺炎患者两周内的死亡率为 4.47%;而未患新冠肺炎的人两周内死亡率为0.06%。现从该地区任取一人,问此人在两周内死亡的概率是
选项:
A: 4.53%
B: 0.47%
C: 0.08%
D: 4.47%
答案: 【 0.08%】
1、单选题:
据统计,某疫区新冠肺炎发病率为0.47%,且新冠肺炎患者两周内的死亡率为 4.47%;而未患新冠肺炎的人两周内死亡率为0.06%。现某人死亡, 则此人患新冠肺炎的概率是【】
选项:
A: 0.47%
B: 2.56%
C: 97%
D: 26%
答案: 【 26%】
1、单选题:
有甲、乙、丙三门火炮同时独立地向某目标射击,命中率分别为0.2,0.3,0.5,则恰有一门火炮命中目标的概率为
选项:
A: 0.72
B: 0.38
C: 0.47
D: 0.5
答案: 【 0.47】
1、单选题:
设A,B为两个随机事件,则下面命题正确的是( )
选项:
A: 
B: 
C: 
D: 
答案: 【
】
2、单选题:

选项:
A: 0.6
B: 0.7
C: 0.8
D: 0.9
答案: 【 0.7】
3、单选题:
某人射击时,每次射击中靶的概率为0.75,如果射击直到中靶为止,则总共射击次数为3的概率为( )
选项:
A: 
B: 
C: 
D: 
答案: 【
】
4、单选题:

选项:
A: 
B: 
C: 
D: 
答案: 【
】
5、单选题:

选项:
A: 
B: 
C: 
D: 
答案: 【
】
6、单选题:

选项:
A: 
B: 
C: 
D: 
答案: 【
】
7、单选题:

选项:
A: 
B: 
C: 
D: 
答案: 【
】
8、单选题:

选项:
A: 
B: 
C: 
D: 
答案: 【
】
9、单选题:

选项:
A: 
B: 
C: 
D: 
答案: 【
】
10、单选题:

选项:
A: 0.72
B: 0.38
C: 0.47
D: 0.5
答案: 【 0.47】
1、单选题:
某超市有3个收银台,调查表明在任一时刻每个收银台有顾客的概率为0.8,则在同一时刻,恰有2个收银台有顾客的概率是【 】
选项:
A: 0.729
B: 0.64
C: 0.384
D: 0.992
答案: 【 0.384】
1、单选题:

选项:
A: 0.2
B: 0.5
C: 0.15
D: 0.75
答案: 【 0.2】
1、单选题:

选项:
A: 1/3
B: 25/26
C: 1/26
D: 2/3
答案: 【 25/26】
2、单选题:

选项:
A: 0.2304
B: 0.663
C: 0.9897
D: 0.5
答案: 【 0.663】
3、单选题:

选项:
A: 0.697
B: 0.879
C: 0.938
D: 0.912
答案: 【 0.938】
4、单选题:

选项:
A: 
B: 
C: 
D: 
答案: 【
】
5、单选题:

选项:
A: 
B: 
C: 
D: 
答案: 【
】
6、单选题:

选项:
A: 1.335
B: 2.918
C: 2.032
D: 0.822
答案: 【 2.918】
7、单选题:

选项:
A: 
B: 
C: 
D: 
答案: 【
】
8、单选题:

选项:
A: 0.9974
B: 0.9544
C: 0.6826
备案号:冀ICP备20010840号 2020-2099辉辉网络科技 All Rights Reserved