

1、单选题:
本课程我们拟采用的教学方法是( )。
选项:
A: 传统教学
B: 翻转课堂
C: 在线教学
D: 多媒体辅助教学
答案: 【 翻转课堂】
2、单选题:
在《大学物理》中,根据国际惯例,从坐标系到物理定律的矢量叉乘公式( )。
选项:
A: 一律用右手螺旋法则,不能用左手
B: 一律用左手螺旋法则,不能用右手
C: 只要遵守螺旋法则,无所谓左手或者右手
D: 以上说法都不对
答案: 【 一律用右手螺旋法则,不能用左手】
3、单选题:
以下说法正确的是( )。
选项:
A: 在标准国际单位制中,长度的单位是英寸。
B: 在标准国际单位制中,时间的单位是小时。
C: 在标准国际单位制中,质量的单位是千克。
D: 在标准国际单位制中,压强的单位是毫米汞柱。
答案: 【 在标准国际单位制中,质量的单位是千克。】
4、单选题:
以下不属于物理学的基本单位的是( )。
选项:
A: 长度单位:米
B: 时间单位:秒
C: 质量单位:千克
D: 功的单位:焦耳
答案: 【 功的单位:焦耳】
5、多选题:
《大学物理》上册主要涉及的教学内容有( )。
选项:
A: 力学
B: 振动与波动
C: 热学
D: 电磁学
答案: 【 力学;
振动与波动;
热学】
6、多选题:
《大学物理》下册主要涉及的教学内容包括( )。
选项:
A: 热学
B: 电磁学
C: 波动光学
D: 量子物理
答案: 【 电磁学;
波动光学;
量子物理】
7、多选题:
《大学物理》在线课程主要包括以下哪些内容( )。
选项:
A: 课程教案
B: 课程讲稿
C: 教学课件
D: 教学视频
E: 在线测试
答案: 【 课程教案;
课程讲稿;
教学课件;
教学视频;
在线测试】
8、多选题:
实施翻转课堂,必须要完成以下哪些环节( )?
选项:
A: 完整观看教学视频
B: 完成知识点测试题目
C: 参加期中考试
D: 参加期末考试
答案: 【 完整观看教学视频;
完成知识点测试题目;
参加期中考试;
参加期末考试】
9、多选题:
以下对物理学的描述正确的是( )。
选项:
A: 物理学是一门研究物质世界及其运动规律的科学
B: 物理学的成就不断促进人类的物质与精神文明
C: 学习大学物理课程重在提高科学素质
D: 学习大学物理课程重在提高科学素质
答案: 【 物理学是一门研究物质世界及其运动规律的科学;
物理学的成就不断促进人类的物质与精神文明;
学习大学物理课程重在提高科学素质;
学习大学物理课程重在提高科学素质】
10、判断题:
大学物理是在中学物理基础上的对其广度与深度的扩展。
选项:
A: 正确
B: 错误
答案: 【 正确】
11、判断题:
大学物理与中学物理的区别在于,中学物理是基于初等数学方法对物理问题的讨论,大学物理则是基于高等数学方法对物理问题的讨论。
选项:
A: 正确
B: 错误
答案: 【 正确】
12、判断题:
大学物理是学习专业基础课和专业课的桥梁。
选项:
A: 正确
B: 错误
答案: 【 正确】
13、判断题:
相对于专业课而言,大学物理的学习对塑造学生的专业技能是没有帮助的。
选项:
A: 正确
B: 错误
答案: 【 错误】
1、单选题:
下列关于质点的概念叙述正确的是 ( )
选项:
A: 只要是细小的物体都可以看作质点。
B: 只要是静止的物体都可以看作质点。
C: 在研究某个问题时,一物体可以看做质点,那么在研究另一个问题时,该物体也一定可看做质点。
D: 一个物体可否可以看做质点,要看所研究问题的具体情况而定。
答案: 【 一个物体可否可以看做质点,要看所研究问题的具体情况而定。 】
2、单选题:
下列关于质点的说法中正确的是 ( )
选项:
A: 只有体积很小的物体才能看作质点
B: 在研究足球旋转的问题时,可把足球看作质点
C: 在太空中进行飞船对接的宇航员观察该飞船,可把飞船看作质点
D: 从地球上的控制中心跟踪观察在太空中飞行的宇宙飞船,可把飞船看作质点
答案: 【 从地球上的控制中心跟踪观察在太空中飞行的宇宙飞船,可把飞船看作质点 】
3、单选题:
在有云的夜晚,抬头望月,觉得月亮在云中穿行,这是选取的参考系是( )
选项:
A: 月亮
B: 云
C: 地面
D: 星
答案: 【 云】
4、单选题:
汽车在平直的公路上向东冒雨行驶,下列说法中正确的是 ( )
选项:
A: 选择汽车为参考系,雨滴是静止的
B: 选择地面为参考系,坐在汽车里的乘客是静止的
C: 选择汽车为参考系,路旁的树木在向西运动
D: 选择乘客为参考系,刮雨器一定是静止的
答案: 【 选择汽车为参考系,路旁的树木在向西运动】
5、单选题:
下面关于质点的正确说法有 ( )
选项:
A: 研究和观察日食时可把太阳当做质点
B: 研究地球的公转时可把地球看做质点
C: 研究地球的自转时可把地球看做质点
D: 原子核很小,可把原子核看做质点
答案: 【 研究地球的公转时可把地球看做质点】
6、单选题:
一辆汽车在平直公路上匀速行驶,车上的人看到车上的木箱保持静止不动,这是选取( )为参考系的。
选项:
A: 汽车
B: 公路
C: 车上的人
D: 车上的木箱
答案: 【 汽车】
7、单选题:
一辆汽车在平直公路上匀速行驶,车上的人看到车上的木箱保持静止不动,若选取汽车为参考系,则路边的电线杆是( )的。
选项:
A: 静止不动
B: 加速运动
C: 匀速运动
D: 以上说法都不对
答案: 【 匀速运动】
8、单选题:
第一次世界大战期间,一名法国飞行员在2000 m高空飞行时,发现脸旁有一个小东西,他以为是一只小昆虫,敏捷地把它一把抓过来,令他吃惊的是,抓到的竟是一颗子弹。飞行员能抓到子弹,是因为( )
选项:
A: 飞行员的反应快
B: 子弹相对于飞行员是静止的
C: 子弹已经飞得没有劲了,快要落在地上了
D: 飞行员的手有劲
答案: 【 子弹相对于飞行员是静止的】
9、单选题:
敦煌曲子词中有这样的诗句:“满眼风波多闪烁,看山恰似走来迎,仔细看山山不动,是 船行。”其中“看山恰似走来迎”和“是船行”所选的参考系分别是( )
选项:
A: 船和河岸
B: 山和船
C: 地面和山
D: 河岸和流水
答案: 【 船和河岸】
10、单选题:
在有云的夜晚,抬头望月,发现“月亮在白莲花般的云朵里穿行”,这时取的参考系是( )
选项:
A: 月亮
B: 云
C: 地面
D: 观察者
答案: 【 云】
11、单选题:
以北京长安街为坐标轴x,向东为正方向,以天安门中心所对的长安街中心为坐标原点O,建立一维坐标,一辆汽车最初在原点以西3 km处,几分钟后行驶到原点以东2 km处。则这辆汽车最初位置和最终位置分别是( )
选项:
A: 3 km 2 km
B: -3 km 2 km
C: 3 km -2 km
D: -3 km -2 km
答案: 【 -3 km 2 km】
12、多选题:
在研究下列哪些运动时,指定的物体可以看作质点 ( )
选项:
A: 从广州到北京运行中的火车
B: 研究车轮自转情况时的车轮
C: 研究地球绕太阳运动时的地球
D: 研究地球自转运动时的地球
答案: 【 从广州到北京运行中的火车;
研究地球绕太阳运动时的地球】
13、多选题:
描述物体地运动,必须选择参考系,关于参考系,下列说法中正确地是( )
选项:
A: 早晨太阳从东方升起,参考系是地面
B: 地球绕太阳近似做圆周运动,参考系是太阳
C: 研究地面上物体的运动只能取地面为参考系
D: 在不同参考系中描述物体的运动,简繁程度会不同
答案: 【 早晨太阳从东方升起,参考系是地面;
地球绕太阳近似做圆周运动,参考系是太阳;
在不同参考系中描述物体的运动,简繁程度会不同 】
14、多选题:
在下列物体的运动中,可视作质点的物体有 ( )
选项:
A: 从北京开往广州的一列火车
B: 研究转动的汽车轮胎
C: 研究转动的汽车轮胎
D: 表演精彩芭蕾舞演员
答案: 【 从北京开往广州的一列火车 ;
研究转动的汽车轮胎 】
15、多选题:
关于坐标系,下列说法正确的是( )
选项:
A: 建立坐标系是为了定量描写物体的位置和位置变化
B: 坐标系都是建立在参考系上的
C: 坐标系的建立与参考系无关
D: 物体在平面内做曲线运动,需要用平面直角坐标系才能确定其位置
答案: 【 建立坐标系是为了定量描写物体的位置和位置变化;
坐标系都是建立在参考系上的】
1、单选题:
一质点按规律
沿x轴运动,(x和t的单位分别为m和s),前3秒内质点的位移和路程分别为( )。
选项:
A: 3 m, 3 m
B: -3 m, -3 m
C: -3 m, 3 m
D: -3 m, 5 m
答案: 【 -3 m, 5 m】
2、单选题:
作直线运动质点的运动方程为
,从t1到t2时间间隔内,质点的平均速度为( )。
选项:
A: 
B: 
C: 
D: 
答案: 【 
】
3、单选题:
一质点沿直线运动,其速度与时间成反比,则其加速度( ).
选项:
A: 与速度成正比
B: 与速度成反比
C: 与速度的平方成正比
D: 与速度的平方成反比
答案: 【 与速度的平方成正比】
4、单选题:
一质点沿直线运动,每秒钟内通过的路程都是1m,则该质点( ).
选项:
A: 作匀速直线运动
B: 平均速度为1m/s
C: 任一时刻的加速度都等于零
D: 任何时间间隔内,位移大小都等于路程
答案: 【 平均速度为1m/s】
5、单选题:
某物体的运动规律为
,式中k为大于零的常数。当t=0时,其初速度为v0,则速度v和时间t的函数的关系是( ).
选项:
A: 
B: 
C: 
D: 
答案: 【 
】
6、单选题:
某质点作直线运动的运动学方程为
,则该质点作 ( ).
选项:
A: 匀加速直线运动,加速度沿x轴正方向
B: 匀加速直线运动,加速度沿x轴负方向
C: 变加速直线运动,加速度沿x轴正方向
D: 变加速直线运动,加速度沿x轴负方向.
答案: 【 变加速直线运动,加速度沿x轴负方向. 】
7、单选题:
一质点沿直线运动,其运动方程为
,在 t从0秒到3秒的时间间隔内,质点走过的路程为( )
选项:
A: 4m
B: 6m
C: 8m
D: 10m
答案: 【 10m】
8、单选题:
一质点作直线运动,某时刻的瞬时速度
,瞬时加速度
,则一秒钟后质点的速度( ).
选项:
A: 等于零
B: 等于-2 m/s
C: 等于2 m/s
D: 不能确定
答案: 【 不能确定】
9、单选题:

下列说法中正确的是( )
选项:
A: 方法一正确,方法二正确
B: 方法一正确,方法二错误
C: 方法一错误,方法二正确
D: 方法一错误,方法二错误。
答案: 【 方法一错误,方法二正确】
10、单选题:
一质点沿
轴运动,其速度与时间的关系为
,式中υ的单位为cm/s,t的单位为s。当
时质点位于
处,则质点的位置与时间的关系为( )
选项:
A: 
B: 
C: 
D: 
答案: 【 
】
11、单选题:
质点作曲线运动,
表示位置矢量,
表示路程,
表示速度,
表示加速度,
表示切向加速度。下列表达式中正确的是( )
选项:
A: 
B: 
C: 
D: 
答案: 【 
】
12、单选题:
质点沿x轴正向运动,其加速度随位置的变化关系为
。如在x=0处,速度υ0=5 m/s,那么,x=3 m处的速度为( )m/s.
选项:
A: 9
B: 8
C: 7.8
D: 7.2
答案: 【 9】
13、单选题:
一质点沿直线L运动,其位置与时间的关系为x = 6t 2 -2t 3 ,x和t的单位分别是m和s。求:(1)第2s内的平均速度;(2)第3s末和4s末的速度;(3)第3s末和4s末的加速度。
选项:
A: (1)40m/s(2)-24m/s、-48m/s(3)-18m/s^2、-36m/s^2
B: (1)-36m/s(2)-24m/s、-48m/s(3)-18m/s^2、-40m/s^2
C: (1)40m/s(2)-24m/s、-36m/s(3)-18m/s^2、-36m/s^2
D: (1)40m/s(2)-18m/s、-48m/s(3)-24m/s^2、-36m/s^2
答案: 【 (1)40m/s(2)-18m/s、-48m/s(3)-24m/s^2、-36m/s^2】
14、单选题:
已知质点的运动方程为
(时间单位s,长度单位m),试求:(1)轨迹方程;(2)
时刻质点的速度和加速度。
选项:
A: (1)
(2)

B: (1)
(2)

C:
(1)
(2)

D:
(1)
(2)

答案: 【 (1)
(2)

】
15、单选题:
一质点在Oxy平面上运动,其加速度
,单位为
。当
时,质点速度为零,位置在
处,求:(1)任意时刻质点的位置;(2)质点的轨迹方程。
选项:
A: (1)
(2)
B: (1)
(2)
C: (1)
(2)
D: (1)
(2)
答案: 【 (1)
(2)
】
16、单选题:
一质点沿某直线作减速运动,其加速度为a = –Cv2,C是常量。若t = 0时质点的速度为v0 ,并处于s0 的位置上,求任意时刻t质点的速度和位置。(
)
选项:
A: 
B: 
C: 
D: 
答案: 【 
】
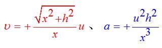
1、单选题:
如图所示,通过绞车拉动湖中小船拉向岸边。如果绞车以恒定的速率u拉动纤绳, 绞车定滑轮离水面的高度为h, 求小船向岸边移动的速度和加速度。

选项:
A: 
B: 
C: 
D: 
答案: 【
】
2、单选题:
如图所示,一高度为h=0.2m的水平面在A点处与一倾角为θ=30°的斜面连接,一小球 以V0=5m/s的速度在平面上向右运动。则小球从A点运动到地面所需的时间为( )秒。
注:平面与斜面均光滑,取g=10m/s2。

选项:
A: 0.1
B: 0.2
C: 0.3
D: 0.4
答案: 【 0.2】
3、单选题:
在塔顶上分别以跟水平面成45°角斜向上的、水 平的、跟水平线成45°角斜向下的三个方向开枪,子弹射到地面时的速度大小分别是v1、v2、v3(设三方向射出的子弹初速度的大小一样,不计空气阻力),那么( )。
选项:
A: v1= v 3> v 2
B: v 3> v 2> v 1
C: v 1> v 2> v 3
D: v 1= v 2= v 3
答案: 【 v 1= v 2= v 3】
4、单选题:
一足球运动员开出角球,球的初速度是20 m/s,踢出时和水平面的夹角是37°,如果球在飞行过程中,没有被任何一名队员碰到,空气阻力不计,落点与开出点之间的距离为( )。
选项:
A: 38.4 m
B: 19.2 m
C: 76.8 m
D: 153.6 m
答案: 【 38.4 m】
5、单选题:
一个物体以速度v0水平抛出,落地时速度的大小为v,不计空气的阻力,则物体在空中飞行的时间为( ) 。
选项:
A: 
B: 
C: 
D: 
答案: 【
】
6、单选题:
在离水面高为h的岸边,一电动机用绳子拉船靠岸。如果电动机收绳速率恒为u,则船前进速率υ( )。

选项:
A: 必小于u
B: 必大于u
C: 必等于u
D: 先大于u后小于u
答案: 【 必大于u】
7、单选题:
人站在地面上抛出一球,球离开手时的初速度为
,落地时的末速度为
。忽略空气阻力,下面哪一个图正确地表示了速度矢量的演变过程( )
选项:
A: 
B: 
C: 
D: 
答案: 【
】
8、单选题:
质点沿轨道AB作平面曲线运动,其运动速率逐渐减少。图中哪一个正确地表示了质点在C处的加速度 ?( )
选项:
A: 
B: 
C: 
D: 
答案: 【
】
9、单选题:
以初速
将一物体斜向上抛出,抛射角为
,忽略空气阻力,则物体飞行轨道最高点处的曲率半径是( )。
选项:
A: 
B: 
C: 
D: 条件不足不能确定条件不足不能确定
答案: 【
】
10、单选题:
设火箭引信的燃烧时间为6.0 s,今在与水平面成45°角的方向将火箭发射出去,欲使火箭在弹道的最高点爆炸,必须以( )米/秒的初速度发射火箭。
选项:
A: 38
B: 72
C: 83
D: 128
答案: 【 83】
11、单选题:
如图所示,一小球以
的速率水平抛射,任意时刻t小球的切向加速度和法向加速度分别为( )。

选项:
A: 
B: 
C: 
D: 
答案: 【
】
12、多选题:
物体在平抛运动的过程中,在相等的时间内,下列物理量相等的是( )。
选项:
A: 速度的增量
B: 加速度
C: 位移
D: 平均速度
答案: 【 速度的增量;
加速度】
13、多选题:
物体以速度v0抛出做斜抛运动,则( )。
选项:
A: 在任何相等的时间内速度的变化量是相同的
B: 可以分解为水平方向的匀速直线运动和竖直方向的自由落体运动
C: 射高和射程都取决于v0的大小
D: v0很大,射高和射程可能很小
答案: 【 在任何相等的时间内速度的变化量是相同的;
v0很大,射高和射程可能很小】
1、单选题:
质点沿半径为R的圆周作匀速率运动,每T秒转一圈。在2T时间间隔中,其平均速度大小与平均速率大小分别为( ).
选项:
A: 2PR/T,2PRT
B: 0,2πR/T
C: 0 ,0
D: 2πR/T,0
答案: 【 0,2πR/T】
2、单选题:
质点作沿半径R=1m的圆周运动,某时刻角速度ω=1rad/s,角加速度α=1rad/s2,则质点速度和加速度的大小为( )。
选项:
A: 1m/s 1m/s2
B: 1m/s 2m/s2
C: 1m/s
m/s2
D: 2m/s
m/s2
答案: 【 1m/s
m/s2】
3、单选题:
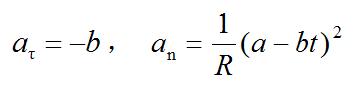
质点沿半径为R的圆周按规律
运动,a、b为正常量,s为其路程。则任意时刻切向加速度和法向加速度分别为( );
选项:
A: 
B: 
C: 
D: 
答案: 【
】
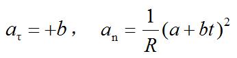
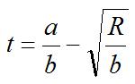
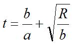
4、单选题:
质点沿半径为R的圆周按规律
运动, a、b为正常量,s为其路程。当切向加速度和法向加速度数值相等时,质点运动的时间为( )。
选项:
A: 
B: 
C: 
D: 
答案: 【
】
5、单选题:
一质点在半径为1.0m的圆周上运动,其角位置为θ = 2+4t3,式中θ的单位为rad, t的单位为s。则在t =2.0s时刻质点的线速度、法向加速度和切向加速度分别为( )。
选项:
A: υ=48m/s,an=1204m/s2,at=4.8 m/s2
B: υ=4.8m/s,an=23.04m/s2,at=4.8 m/s2
C: υ=48m/s,an=2304m/s2,at=48 m/s2
D: υ=48m/s,an=23.04m/s2,at=48 m/s2
答案: 【 υ=48m/s,an=2304m/s2,at=48 m/s2】
6、单选题:
一质点在半径为1.0m的圆周上运动,其角位置为θ = 2+4t3,式中θ的单位为rad, t的单位为s。则角位置为( )时,加速度方向与半径成30°角?
选项:
A: 
B: 
C: 
D: 
答案: 【
】
7、判断题:
做匀速圆周运动的物体相等时间内通过的弧长相等。
选项:
A: 正确
B: 错误
答案: 【 正确】
8、判断题:
做匀速圆周运动的物体相等时间内通过的位移相同。
选项:
A: 正确
B: 错误
答案: 【 错误】
9、判断题:
匀速圆周运动是一种匀速运动。
选项:
A: 正确
B: 错误
答案: 【 正确】
10、判断题:
做圆周运动的物体,其速度一定是变化的。
选项:
A: 正确
B: 错误
答案: 【 正确】
11、判断题:
角速度是标量,它没有方向。
选项:
A: 正确
B: 错误
答案: 【 错误】
12、判断题:
圆周运动线速度公式v=Δt(Δs)中的Δs表示位移。
选项:
A: 正确
B: 错误
答案: 【 错误】
1、单选题:
质点沿轨道AB作平面曲线运动,其运动速率逐渐减少。图中哪一个正确地表示了质点在C处的加速度 ?( )
选项:
A: 
B: 
C: 
D: 
答案: 【
】
2、单选题:
沿曲线运动的物体,以下说法正确的是( )
选项:
A: 切向加速度必不为零;
B: 法向加速度必不为零。
C: 由于速度沿切线方向,法向分速度为零,所以法向加速度也为零;
D: 匀速圆周运动的物体做匀加速运动。
答案: 【 法向加速度必不为零。】
3、单选题:
关于运动的性质,以下说法中正确的是( ) 。
选项:
A: 曲线运动一定是变速运动。
B: 变速运动一定是曲线运动。
C: 曲线运动一定是变加速运动。
D: 加速度不变的运动一定是直线运动。
答案: 【 曲线运动一定是变速运动。】
4、判断题:
人造卫星围绕地球的运动是曲线运动。
选项:
A: 正确
B: 错误
答案: 【 正确】
5、判断题:
研究风筝的运动时,可以选择平面直角坐标系。
选项:
A: 正确
B: 错误
答案: 【 错误】
6、判断题:
当物体运动到某点时,位移的分矢量可用该点的坐标来表示。
选项:
A: 正确
B: 错误
答案: 【 正确】
7、判断题:
曲线运动的速度可以不变。
选项:
A: 正确
B: 错误
答案: 【 错误】
8、判断题:
分速度是标量
选项:
A: 正确
B: 错误
答案: 【 错误】
9、判断题:
物体做曲线运动时,加速度一定不为零。
选项:
A: 正确
B: 错误
答案: 【 正确】
1、单选题:
下列说法中,哪个是正确的( )。
选项:
A: 物体总是沿着它所受的合外力方向运动。
B: 物体的加速度方向总与它受的合外力方向相同。
C: 作用在物体上的合外力在某时刻为零,则物体在该时刻的速度必定为零。
D: 作用在物体上的合外力在某时刻为零,则物体在该时刻的加速度也可能不为零。
答案: 【 物体的加速度方向总与它受的合外力方向相同。】
2、单选题:
如图,质量相同的物块A、B 用轻弹簧连接后,再用细绳悬吊着,当系统平衡后,突然将细绳剪断,则剪断后瞬间( )。

选项:
A: A、B的加速度均为g
B: A、B的加速度均为零
C: A的加速度为零,B的加速度为2g
D: A的加速度为2g,B的加速度为零
答案: 【 A的加速度为2g,B的加速度为零】
3、单选题:
质量m的人站在以加速度a上升着的升降机中,人对升降机的压力为( )。
选项:
A: ma
B: m(g+a)
C: m(g-a)
D: mg
答案: 【 m(g+a)】
4、单选题:
飞船在离地球表面H的高空绕地球作匀速圆周运动,飞船上的宇航员对坐椅的压力为( )。(已知地球质量为M,人质量为m,地球半径为R)( )
选项:
A: 
B: 
C: 0
D: mg
答案: 【 0】
5、单选题:
如图所示,质量为m的物体用用平行于斜面的细线连结并置于光滑的斜面上,若斜面向左方作加速运动,当物体刚脱离斜面时,它的加速度为( )

选项:
A: mgsinθ
B: mgcosθ
C: mgtanθ
D: mgcotθ
答案: 【 mgcotθ】
6、单选题:
一质量为10 kg 的质点在力F 的作用下沿x 轴作直线运动,已知F =120t +40,式中F 的单位为N,t 的单位的s。在t =0 时,质点位于x =5.0 m处,其速度v0=6.0 m/s。则质点在任意时刻的速度和位置为( )。
选项:
A: 
B: 
C: 
D: 
答案: 【
】
7、单选题:
一半径为R的半球形碗,内表面光滑,碗口向上固定于桌面上。一质量为m的小球正以角速度w 沿碗的内面在水平面上作匀速率圆周运动。则小球的运动水平面距离碗底的高度为( )。

选项:
A: 
B: 
C: 
D: 
答案: 【
】
8、单选题:
已知一质量为m的质点在x轴上运动,质点只受到指向原点的引力的作用,引力大小与质点离原点的距离x的平方成反比,即
,k是比例常数。已知质点在 x = A时的速度为零,则质点在x = A / 4处的速度大小为( )。
选项:
A: 
B: 
C: 
D: 
答案: 【
】
1、单选题:
用水平力FN把一个物体压着靠在粗糙的竖直墙面上保持静止。当FN逐渐增大时,物体所受的静摩擦力Ff的大小( )。
选项:
A: 不为零,但保持不变。
B: 随FN成正比地增大。
C: 开始随FN增大,达到某一最大值后,就保持不变。
D: 无法确定。
答案: 【 不为零,但保持不变。】
2、单选题:
质量m的人站在以加速度a上升着的升降机中,人对升降机的压力为( )。
选项:
A: ma
B: m(g+a)
C: m(g-a)
D: mg
答案: 【 m(g+a)】
3、单选题:
一段路面水平的公路,转弯处轨道半径为R,汽车轮胎与路面间的摩擦因数为μ。要使汽车不致于发生侧向打滑,汽车在该处的行驶速率( )。
选项:
A: 不得小于
B: 必须等于
C: 不得大于
D: 还应由汽车的质量m决定
答案: 【 不得大于
】
4、单选题:
水平地面上放一物体A,它与地面间的滑动摩擦系数为μ,现加一恒力F,如图所示,欲使物体A有最大的加速度,则恒力F与水平方向的夹角θ应满足( )

选项:
A: tanθ=μ
B: cosθ=μ
C: sinθ=μ
D: cotθ=μ
答案: 【 tanθ=μ】
5、单选题:
在滑冰场上,甲、乙两小孩分别坐在滑冰板上.原来静止不动,在相互猛推一下后分别向相反方向运动。假定两板与冰面间的摩擦因数相同,巳知甲在冰上滑行的距离比乙远,这是由于( )。
选项:
A: 在推的过程中,甲推乙的力小于乙推甲的力。
B: 在推的过程中,甲推乙的时间小于乙推甲的时间。
C: 在刚分开时,甲的初速度大于乙的初速度。
D: 在分开后,甲的加速度的大小小于乙的加速度的大小。
答案: 【 在刚分开时,甲的初速度大于乙的初速度。】
6、单选题:
关于力的叙述正确的是( )。
选项:
A: 只有互相接触的物体间才有力的作用
B: 物体受到力的作用,运动状态一定改变
C: 施力物体一定受力的作用
D: 竖直向上抛出的物体,物体竖直上升,是因为竖直方向受到升力的作用
答案: 【 施力物体一定受力的作用】
7、单选题:
关于重心的正确说法是( )。
选项:
A: 重心就是物体的中心
B: 重心的位置一般随物体的形状变化而变化
C: 重心的位置随物体的位置变化而变化
D: 均匀木球的重心在球心,挖去球心部分,本球就没有重心了
答案: 【 重心的位置一般随物体的形状变化而变化】
8、多选题:
如图所示,A物体重2N,B物体重4N,中间用弹簧连接,弹力大小为2N,此时吊A物体的绳的张力为T,B对地的压力为N,则T,N的数值可能是( )。

选项:
A: 7N 0
B: 4N 2N
C: 1N 6N
D: 0 6N
答案: 【 4N 2N;
0 6N】
9、多选题:
下列关于力的说法中,正确的是( )。
选项:
A: 只有相互接触的两物体之间才会产生力的作用
B: 力是不能离开物体而独立存在的,一个力既有施力物体,又有受力物体
C: 一个物体先对别的物体施加力后,才能受到反作用力
D: 一个物体先对别的物体施加力后,才能受到反作用力
答案: 【 力是不能离开物体而独立存在的,一个力既有施力物体,又有受力物体;
一个物体先对别的物体施加力后,才能受到反作用力】
10、多选题:
下列关于物体重力的说法正确的是( )。
选项:
A: 重力就是地球对物体的吸引力
B: 静止在水平面上的物体,对水平面的压力等于物体的重力
C: 重心就是物体内最重的一点
D: 将物体拿到月球上时,重力会发生改变
答案: 【 静止在水平面上的物体,对水平面的压力等于物体的重力;
将物体拿到月球上时,重力会发生改变】
1、单选题:
工厂常用绕定轴转动的水平转台来自动传送工件,如图所示,在距离转轴R处有一质量为m的工件,随转台作圆周运动。设工件与转台间的静摩擦系数为
,若使工件在转台上无滑动则转台的角速度
为( )。

选项:
A: 
B: 
C: 
D: 
答案: 【 
】
2、单选题:
如图,木块A的质量为1.0kg,B质量2.0kg,A、B间摩擦系数μ1=0.20,B与桌面之间的摩擦系数μ2=0.30,若木块开始滑动后,它们的加速度都为a=0.15m/s2,则作用在B上的拉力F为( )牛顿。(滑轮与绳的质量均忽略不计,绳与滑轮间的摩擦也不计,g=10m/s2)

选项:
A: 1.345
B: 13.45
C: 134.5
D: 1345
答案: 【 13.45】
3、单选题:
如图所示,物体a、b和c叠放在水平桌面上,水平力Fb=5N、Fc=10N分别作用于物体b、c上,a、b和c仍保持静止.以f1、f2、f3分别表示a与b、b与c,c与桌面间的静摩擦力的大小,则( )。

选项:
A: f1=5 N,f2=0,f3=5N
B: f1=5 N,f2=5 N,f3=0
C: f1=0,f2=5 N,f3=5 N
D: f1=0,f2=10 N,f3=5 N
答案: 【 f1=0,f2=5 N,f3=5 N】
4、单选题:
物体B放在物体A上,A、B的上下表面均与斜面平行(如图所示,当两者以相同的速度靠惯性沿光滑固定斜面C向上做匀减速运动( )

选项:
A: A、B之间的摩擦力为零
B: A受到B的摩擦力沿斜面方向向下
C: A受到B的摩擦力沿斜面方向向上
D: A、B之间是否存在摩擦力取决于A、B表面的性质
答案: 【 A受到B的摩擦力沿斜面方向向上】
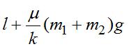
5、单选题:
如图所示,在一粗糙水平面上有两个质量分别为m1和m2的木块1和2,中间用一原长为l、劲度系数为k的轻弹簧连结起来,木块与地面间的摩擦因数为μ,现用一水平向右的力拉木块2,当两木块一起匀速运动时两木块之间的距离是( )。

选项:
A: 
B: 
C: 
D: 
答案: 【 
】
6、单选题:
S1和S2表示劲度系数分别为k1和k2的两根弹簧,k1〉k2;a和b表示质量分别为ma和mb的两个小物体,ma〉mb,将弹簧与物块按图所示方式悬挂起来,现要求两根弹簧的总长度最大,则应使( ).

选项:
A: S1在上,a在上
B: S1在上,b在上
C: S2在上,a在上
D: S2在上,b在上
答案: 【 S2在上,b在上】
7、单选题:
如图所示:质量为m的木块在质量为M的长木板上滑行,长木板与地面间动摩擦因数为μ1,木块与长木板间动摩擦因数为山,若长木板仍处于静止状态,则长木板受地面摩擦力大小一定为( ).

选项:
A: μ1(m1+m2)g
B: μ2g
C: μ1mg
D: μ2mg+μ1mg
答案: 【 μ2g】
8、单选题:
如图所示,在μ=0.1的水平面上向右运动的物体,质量为20 kg,在运动过程中,还受到一个水平向左的大小为10N的 拉力作用,则物体受到的滑动摩擦力为( )。(g=10 N/kg)

选项:
A: 10N,向右
B: 10N,向左
C: 20 N,向右
D: 20N,向左
答案: 【 20N,向左 】
1、判断题:
伽利略变换表明,经典时空中长度的量是绝对的。
选项:
A: 正确
B: 错误
答案: 【 正确】
2、判断题:
伽利略变换表明,经典时空中时间的量是相对的。
选项:
A: 正确
B: 错误
答案: 【 错误】
3、判断题:
伽利略变换表明,经典时空中同时性具有绝对性。
选项:
A: 正确
B: 错误
答案: 【 正确】
4、判断题:
伽利略变换表明,经典时空中速度满足速度叠加原理。
选项:
A: 正确
B: 错误
答案: 【 正确】
5、判断题:
伽利略变换表明,在经典时空中,不同惯性系下,描述同一质点的加速度相同。
选项:
A: 正确
B: 错误
答案: 【 正确】
6、判断题:
从伽利略变换可以看出,经典时空中牛顿第二定律适用于任何惯性系。
选项:
A: 正确
B: 错误
答案: 【 正确】
7、判断题:
在惯性系中,所有力学规律相同,这就是牛顿力学相对性原理。
选项:
A: 正确
B: 错误
答案: 【 正确】
8、判断题:
力学相对性原理可以这样描述:对于所有惯性系,力学现象都遵守相同的规律,力学规律都各自有相同的形式。
选项:
A: 正确
B: 错误
答案: 【 正确】
9、判断题:
力学相对性原理可以这样来理解:在研究力学现象时,一切惯性系都是等价的。
选项:
A: 正确
B: 错误
答案: 【 正确】
10、判断题:
根据伽利略相对性原理,我们不能借助于力学实验来发现系统的惯性运动。
选项:
A: 正确
B: 错误
答案: 【 正确】
1、单选题:
一船往返于甲、乙两码头之间,顺水行驶时速度为v1,逆水行驶时速度为v2,船往返一次的平均速度为( )。
选项:
A: 
B: 
C: 
D: 
答案: 【 
】
2、单选题:
小船以速度v从河边A点沿河岸划至B点又返回A点。不计船掉头时间,若水不流动时往返时间为t,那么水速为v0时,往返时间为( ).
选项:
A: 
B: 
C: 
D: 
答案: 【 
】
3、单选题:
有艘汽艇,顺着河流从甲地到乙地要行驶3h,逆水返回要行驶6h,如果汽艇不用发动机,顺流从甲地漂流到乙地,需要的时间是( )小时。
选项:
A: 6
B: 8
C: 10
D: 12
答案: 【 12】
4、单选题:
车站上,坐在火车里的乘客从窗口发现有两列火车沿相反的方向运动,由此得出的下列判断中错误的是( )
选项:
A: 乘客坐的火车和看到的两列火车中一定有两列在沿相反方向运动
B: 乘客坐的火车可能在运动;
C: 三列火车可能沿同一方向运动
D: 三列火车中可能有一列是静止的。
答案: 【 乘客坐的火车和看到的两列火车中一定有两列在沿相反方向运动】
5、单选题:
李明同学放学回家,正碰上刮风下雨,他以18km/h的速度由西向东快跑,此时他发现了奇怪的现象,雨滴成竖直下落状态,你觉得此时的风向和风速分别应该是( )。
选项:
A: 东风 5米每秒
B: 东风 10米每秒
C: 西风 5米每秒
D: 西风 10米每秒
答案: 【 西风 5米每秒】
6、单选题:
有一架飞机沿水平向左做匀速直线运动,每隔1秒钟从飞机上轻轻释放一小球,当三只小球落下且均未落至地面时,若不计空气阻力,则这三只小球在空中的排列情况应是( )图所示的情形。
选项:
A: 
B: 
C: 
D: 
答案: 【 
】
7、单选题:
已知一人骑车以速率
向正西方向行驶,遇到从北向南刮的风,速率也是v,则人感觉到风是从( )方向吹来的。
选项:
A: 北偏南45°
B: 北偏西45°
C: 东偏南45°
D: 北偏东45°
答案: 【 北偏西45°】
8、单选题:
如果一辆车以88.2m/s的速度行驶,坐在车上的人看到车窗上的雨水垂直掉下,如图所示。则与相对于地面的速度大小是( )m/s。

选项:
A: 88.2
B: 139.6
C: 239.6
D: 389.2
答案: 【 239.6】
1、判断题:
伽利略变换表明,经典时空中长度的量是绝对的。
选项:
A: 正确
B: 错误
答案: 【 正确】
2、判断题:
伽利略变换表明,经典时空中时间的量是相对的。
选项:
A: 正确
B: 错误
答案: 【 错误】
3、判断题:
伽利略变换表明,经典时空中同时性具有绝对性。
选项:
A: 正确
B: 错误
答案: 【 正确】
4、判断题:
伽利略变换表明,经典时空中速度满足速度叠加原理。
选项:
A: 正确
B: 错误
答案: 【 正确】
5、判断题:
伽利略变换表明,在经典时空中,不同惯性系下,描述同一质点的加速度相同。
选项:
A: 正确
B: 错误
答案: 【 正确】
6、判断题:
从伽利略变换可以看出,经典时空中牛顿第二定律适用于任何惯性系。
选项:
A: 正确
B: 错误
答案: 【 正确】
7、判断题:
在惯性系中,所有力学规律相同,这就是牛顿力学相对性原理。
选项:
A: 正确
B: 错误
答案: 【 正确】
8、判断题:
力学相对性原理可以这样描述:对于所有惯性系,力学现象都遵守相同的规律,力学规律都各自有相同的形式。
选项:
A: 正确
B: 错误
答案: 【 正确】
9、判断题:
力学相对性原理可以这样来理解:在研究力学现象时,一切惯性系都是等价的。
选项:
A: 正确
B: 错误
答案: 【 正确】
10、判断题:
根据伽利略相对性原理,我们不能借助于力学实验来发现系统的惯性运动。
选项:
A: 正确
B: 错误
答案: 【 正确】
1、单选题:
在国际单位制中,功的单位是( )。
选项:
A: 牛顿
B: 千克
C: 瓦特
D: 焦耳
答案: 【 焦耳】
2、单选题:
如图所示的四幅图是小新提包回家的情景,小新提包的力不做功的是( ) 。
选项:
A: 
B: 
C: 
D: 
答案: 【 
】
3、单选题:
关于力、距离、功与功率的关系,下列说法正确的是( )。
选项:
A: 力越大,功率越大
B: 距离越长,功率越大
C: 做功越多,功率越大
D: 做功越快,功率越大
答案: 【 做功越快,功率越大 】
4、单选题:
关于摩擦力对物体做功,以下说法中正确的是( )。
选项:
A: 滑动摩擦力总是做负功
B: 滑动摩擦力可能做负功,也可能做正功
C: 静摩擦力对物体一定做负功
D: 静摩擦力对物体总是做正功
答案: 【 滑动摩擦力可能做负功,也可能做正功】
5、单选题:
如图所示,一个物体放在水平面上,在跟竖直方向成θ角的斜向下的推力F的作用下沿平面移动了距离s,若物体的质量为m,物体与地面之间的摩擦力大小为f,则在此过程中( )。

选项:
A: 摩擦力做的功为fs
B: 力F做的功为Fscosθ
C: 力F做的功为Fssinθ
D: 重力做的功为mgs
答案: 【 力F做的功为Fssinθ】
6、单选题:
起重机竖直吊起质量为m的重物,上升的加速度是a,上升的高度是h,则起重机对货物所做的功是( )。
选项:
A: mgh
B: mah
C: m(g+a)h
D: m(g-a)h
答案: 【 m(g+a)h】
7、单选题:
质量为m的小球系于长度为R的细绳的末端, 细绳的另一端固定在点A, 将小球悬挂在空间。现小球在水平推力F的作用下, 缓慢地从竖直位置移到细绳与竖直方向成a角的位置,如图所示。则水平推力F所作的功为( )(不考虑空气阻力)。

选项:
A: mgR(1-cosa)
B: mgR(1-sina)
C: mgR(1+sina)
D: mgR(1+cosa)
答案: 【 mgR(1-cosa)】
8、单选题:
已知弹簧的劲度系数k = 200 N×m-1 , 若忽略弹簧的质量和摩擦力,将弹簧压缩10 cm , 则弹性力所作的功和外力所作的功分别为( )。
选项:
A: 弹性力所作的总功为1.0J,外力做的总功为1.0J
B: 弹性力所作的总功为-1.0J,外力做的总功为1.0J
C: 弹性力所作的总功为1.0J,外力做的总功为-1.0J
D: 弹性力所作的总功为-1.0J,外力做的总功为-1.0J
答案: 【 弹性力所作的总功为-1.0J,外力做的总功为1.0J】
9、单选题:
某质点沿x轴作直线运动,受力
(N),当质点从x0=0移动到x=10m处的过程中,该力作功为( )
选项:
A: 540J
B: 290J
C: 580J
D: 270J
答案: 【 290J】
10、单选题:
一物体挂在弹簧下面,平衡位置在O点。现用手向下拉物体,第一次把物体由O点拉到M点,第二次把物体由O点拉到N点,再由N点送回M点。则在这两个过程中( )

选项:
A: 弹性力作的功相等,重力作的功不相等
B: 弹性力作的功相等,重力作的功也相等
C: 弹性力作的功不相等,重力作的功相等
D: 弹性力作的功不相等,重力作的功也不相等
答案: 【 弹性力作的功相等,重力作的功也相等】
1、单选题:
质量为m的一架航天飞机关闭发动机返回地球时,可认为它只在地球引力场中运动。已知地球质量为M,万有引力常数为G,则当它从距地心R1处的高空下降到R2(R2< R1)处时,增加的动能应为( )。
选项:
A: 
B: 
C: 
D: 
答案: 【 
】
2、单选题:
质点的动能定理:外力对质点所做的功,等于质点动能的增量,其中所描述的外力是指( )。
选项:
A: 质点所受的任意一个外力
B: 质点所受的保守力
C: 质点所受的非保守力
D: 质点所受的合外力。
答案: 【 质点所受的合外力。】
3、单选题:
一水平放置的两组结构相同的轻弹簧装置,劲度系数为k,其一端固定,一组的另一端分别有一质量为m的滑块A,另一组连接质量为2m的滑块B,若用外力推压使弹簧压缩量均为d后静止,然后撤消外力,则A和 B离开弹簧时的动能( )。

选项:
A: EpA>EpB
B: EpA=EpB
C: EpA<EpB
D: 无法判断
答案: 【 EpA=EpB】
4、单选题:
一个作直线运动的物体,其速度v与时间t的关系曲线如图所示。设时刻t1至t2间外力作功为W1,时刻t2至t3间外力作功为W2,时刻t3至t4间外力作功为W3 ,则( )。

选项:
A: W1>0,W2<0,W3<0
B: W1>0,W2<0,W3>0
C: W1=0,W2<0,W3>0
D: W1=0,W2<0,W3<0
答案: 【 W1=0,W2<0,W3>0】
5、单选题:
将一重物匀速地推上一个斜坡,因其动能不变,所以( )。
选项:
A: 推力不做功
B: 推力功与摩擦力的功等值反号
C: 推力功与重力功等值反号
D: 此重物所受的外力的功之和为零
答案: 【 此重物所受的外力的功之和为零】
6、单选题:
一辆汽车的速度从10/kmh增加到20/kmh,动能的增量为
;若速度从40/kmh增加到 50/kmh,动能的增量为
,则( )
选项:
A: 
B: 
C: 
D: 无法判断
答案: 【 
】
7、单选题:
关于对动能的理解,下列说法中错误的是( )。
选项:
A: 动能是能的一种表现形式,凡是运动的物体都具有动能
B: 动能总为正值,但对于不同的参考系,同一物体的动能大小是不同的
C: 一定质量的物体,动能变化时,速度一定变化;但速度变化时,动能不一定变化
D: 动能不变的物体,一定处于平衡状态
答案: 【 动能不变的物体,一定处于平衡状态】
8、单选题:
如图所示,物体从高为h的斜面上的A点由静止滑下,恰好停在平面上的B点,若使其从B点开始运动且能回到斜面上的A点,则物体在B点的初速度应为( )。

选项:
A: 
B: 
C: 
D: 
答案: 【 
】
9、单选题:
如图所示,质量为m的物体从斜面上的A处由静止滑下,在由斜面底端进入水平面时速度大小不变,最后停在水平面上的B处。量得A、B两点间的水平距离为s,A高为h,已知物体与斜面及水平面的动摩擦因数相同,则此动摩擦因数为( )。

选项:
A: hs
B: 
C: 
D: 条件不足,无法判断
答案: 【 
】
10、单选题:
质量为m的小球被系在轻绳的一端,在竖直平面内做半径为R的圆周运动,运动过程中小球受到空气阻力的作用。设某一时刻小球通过轨道的最低点,此时绳子的张力为7mg,此后小球继续做圆周运动,经过半个圆周恰好能通过最高点,则在此过程中小球克服空气阻力所做的功为( )
选项:
A: 
B: 
C: 
D: 
答案: 【 
】
1、单选题:
对功的概念有以下几种说法:(1)保守力作正功时,系统内相应的势能增加;(2)质点运动经一闭合路径,保守力对质点作的功为零;(3)作用力和反作用力大小相等、方向相反,所以两者所作的功的代数和必然为零。在上述说法中( )。
选项:
A: (1)、(2)是正确的
B: (2)、(3)是正确的
C: 只有(2)是正确的
D: 只有(3)是正确的
答案: 【 只有(2)是正确的】
2、单选题:
对功的概念,以下几种说法中正确的是( )。
选项:
A: 保守力作正功时,系统内相应的势能增加。
B: 质点运动经一闭合路径,非保守力对质点作的功为零
C: 作用力和反作用力大小相等、方向相反,所以两者所作功的代数和必为零
D: 一对内力作功为零的条件是作用点无相对位移,或相互作用力与相对位移垂直
答案: 【 一对内力作功为零的条件是作用点无相对位移,或相互作用力与相对位移垂直】
3、单选题:
A、B两弹簧的倔强系数分别是kA和kB,设弹簧质量不计。今将两弹簧 连接起来,竖直悬挂如图,当系统静止,这两个弹簧的弹性势能之比值为( )。

选项:
A: EPA/EPB = kA/kB
B: EPA/EPB = kA2/kB2
C: EPA/EPB = kB/kA
D: EPA/EPB = kB2/kA2
答案: 【 EPA/EPB = kB/kA】
4、单选题:
将一物体系于一竖直悬挂的弹簧下端,且让它慢慢降到平衡位置,这时弹簧伸长的长度为l ,若让物体自由下落,求此时弹簧最大伸长长度为( )。
选项:
A: l
B: 2l
C: 3l
D: 4l
答案: 【 2l】
5、单选题:
如图,轻轻将物体m移向自由状态的弹簧的顶端,弹簧的劲度系数为k,然后松手,m下落,弹簧的最大压缩量L0为( )。

选项:
A: mg/(2k)
B: 3mg/k
C: mg/k
D: 2mg/k
答案: 【 2mg/k】
6、单选题:
自由下落的小球,从接触竖直放置的轻弹簧开始,到压缩弹簧有最大形变的过程中,以下说法中正确的是( )。
选项:
A: 小球的动能逐渐减少
B: 小球的重力势能逐渐减少
C: 小球的加速度逐渐减小
D: 小球的加速度逐渐增大
答案: 【 小球的重力势能逐渐减少】
7、单选题:
如图所示,一根轻弹簧下端固定,竖立在水平面上。其正上方A位置有一只小球。小球从静止开始下落,在B位置接触弹簧的上端,在C位置小球所受弹力大小等于重力,在D位置小球速度减小到零,小球下降阶段下列说法中错误的是( )。

选项:
A: 从A→D过程中小球的加速度的大小逐渐减小
B: 在C位置小球动能最大
C: 从A→C位置小球重力势能的减少大于小球动能的增加
D: 从A→D位置小球重力势能的减少等于弹簧弹性势能的增加
答案: 【 从A→D过程中小球的加速度的大小逐渐减小】
8、单选题:
一质点由原点从静止出发沿x轴运动,它在运动过程中受到指向原点的力作用,此力的大小正比于它与原点的距离,比例系数为k,那么当质点离开原点为x时,它相对原点的势能值是( )。
选项:
A: 
B: 
C: 
D: 
答案: 【 
】
9、单选题:
以质量为m的地球卫星,沿半径为3RE的圆轨道运动,RE为地球的半径。已知地球的质量为mE,则卫星的引力势能为( )。
选项:
A: 
B: 
C: 
D: 
答案: 【 
】
10、单选题:
有一斜面长5.0 m、顶端高3.0 m,今有一机械手将一个质量为1000 kg的物体以匀速从斜面底部推到顶部,如果机械手推动物体的方向与斜面成30º,斜面与物体的摩擦系数为0.20,则机械手的推力
和它对物体所作的功
分别为( )。
选项:
A: 
B: 
C: 
D: 
答案: 【 
】
1、单选题:
如图所示,劲度系数为k的弹簧下悬挂一个质量为m的重物,处于静止状态.手托重物使之缓慢上移,直到弹簧恢复原长,然后放手使重物从静止开始下落,重物下落过程中的最大速度为v,不计空气阻力。下列说法错误的是( )

选项:
A: 手对重物做的功
B: 重物从静止下落到速度最大过程中重物克服弹簧弹力所做的功
C: 弹性势能最大时小球加速度大小为g
D: 最大的弹性势能为
答案: 【 手对重物做的功
】
2、单选题:
如图所示,两质量相等的物块A、B通过一轻质弹簧连接,B足够长、放置在水平面上,所有接触面均光滑。弹簧开始时处于原长,运动过程中始终处在弹性限度内。在物块A上施加一个水平恒力,A、B从静止开始运动到第一次速度相等的过程中,下列说法中错误的是( ).

选项:
A: 当A、B加速度相等时,系统的机械能最大
B: 当A、B加速度相等时,A、B的速度差最大
C: 当A、B的速度相等时,A的速度达到最大
D: 当A、B的速度相等时,弹簧的弹性势能最大
答案: 【 当A、B的速度相等时,弹簧的弹性势能最大】
3、单选题:
如图所示,水平传送带两端点A、B间的距离为L,传送带开始时处于静止状态。把一个小物体放到右端的A点,某人用恒定的水平力F使小物体以速度v1匀速滑到左端的B点,拉力F所做的功为W1、功率为P1,这一过程物体和传送带之间因摩擦而产生的热量为Q1。随后让传送带以v2的速度匀速运动,此人仍然用相同的水平力恒定F拉物体,使它以相对传送带为v1的速度匀速从A滑行到B,这一过程中, 拉力F所做的功为W2、功率为P2,物体和传送带之间因摩擦而产生的热量为 Q2.下列关系中正确的是( )

选项:
A: W1=W2 ,P1<P2,Q1=Q2
B: W1=W2 ,P1<P2,Q1>Q2
C: W1>W2 ,P1=P2,Q1 >Q2
D: W1>W2 ,P1=P2,Q1=Q2
答案: 【 W1=W2 ,P1<P2,Q1>Q2】
4、单选题:
如图所示,足够长的水平传送带以速度v沿顺时针方向运动,传送带的右端与光滑曲面的底部平滑连接,曲面上的A点距离底部的高度h=0.45 m.一小物块从A点静止滑下,再滑上传送带,经过一段时间又返回曲面.g取10 m/s2,则下列说法正确的是( )。

选项:
A: 若v=1 m/s,则小物块能回到A点
B: 若v=2 m/s,则小物块能回到A点
C: 若v=5 m/s,则小物块能回到A点
D: 无论v等于多少,小物块都不能回到A点
答案: 【 若v=5 m/s,则小物块能回到A点】
5、单选题:
一物体自高度为H的A点沿不同倾角的光滑的斜面由静止开始下滑,如不计空气阻力,物体滑到斜面末端时速率最大的倾角是( )

选项:
A: 30º
B: 45º
C: 60º
D: 各种倾角的速率都一样
答案: 【 各种倾角的速率都一样】
6、单选题:
A、B两弹簧的倔强系数分别是kA和kB,设弹簧质量不计。今将两弹簧 连接起来,竖直悬挂如图,当系统静止,这两个弹簧的弹性势能之比值为( )

选项:
A: EPA/EPB = kA/kB
B: EPA/EPB = kA2/kB2
C: EPA/EPB = kB/kA
D: EPA/EPB = kB2/kA2
答案: 【 EPA/EPB = kB/kA】
7、单选题:
如图,轻轻将物体m移向自由状态的弹簧的顶端,弹簧的劲度系数为k,然后松手,m下落,弹簧的最大压缩量L0为( )

选项:
A: mg/(2k)
B: 3mg/k
C: mg/k
D: 2mg/k
答案: 【 2mg/k】
8、单选题:
如图所示,把A、B两球由图示位置同时由静止释放(绳开始时拉直),则在两球向左下摆动时。下列说法正确的是( )

选项:
A: 绳子OA对A球做正功
B: 绳子AB对B球不做功
C: 绳子AB对A 球做负功
D: 绳子AB对B 球不做功
答案: 【 绳子AB对A 球做负功】
9、多选题:
如图所示,两个3/4竖直圆弧轨道固定在同一水平地面上,半径R相同,左侧轨道由金属凹槽制成,右侧轨道由金属圆管制成,均可视为光滑。在两轨道右侧的正上方分别将金属小球A和B由静止释放,小球距离地面的高度分别为hA和hB,下列说法正确的是( )

选项:
A: 若使小球A沿轨道运动并且从最高点飞出,释放的最小高度为5R/2
B: 若使小球B沿轨道运动并且从最高点飞出,释放的最小高度为5R/2
C: 适当调整hA,可使A球从轨道最高点飞出后,恰好落在轨道右端口处
D: 适当调整hB,可使B球从轨道最高点飞出后,恰好落在轨道右端口处
答案: 【 若使小球A沿轨道运动并且从最高点飞出,释放的最小高度为5R/2;
适当调整hB,可使B球从轨道最高点飞出后,恰好落在轨道右端口处】
10、多选题:
如图所示,汽车通过轻质光滑的定滑轮,将一个质量为m的物体从井中拉出,绳与汽车连接点A距滑轮顶点高为h,开始时物体静止,滑轮两侧的绳都竖直绷紧,汽车以速度v向右匀速运动,运动到跟汽车连接的细绳与水平夹角为30°,则( )。

选项:
A: 从开始到绳与水平夹角为30°时,拉力做功mgh
B: 从开始到绳与水平夹角为30°时,拉力做功mgh+3/8mv2
C: 在绳与水平夹角为30°时,拉力功率为mgv
D: 在绳与水平夹角为30°时,拉力功率大于
答案: 【 从开始到绳与水平夹角为30°时,拉力做功mgh+3/8mv2;
在绳与水平夹角为30°时,拉力功率大于
】
1、单选题:
下列说法中正确的是( )
选项:
A: 保守内力不改变系统的总机械能
B: 摩擦力只能作负功
C: 内力不改变系统的总机械能
D: 以上结论都不对。
答案: 【 保守内力不改变系统的总机械能】
2、单选题:
如图所示,将悬线拉至水平位置无初速释放,当小球到达最低点时,细线被一与悬点同一竖直线上的小钉B挡住,比较悬线被小钉子挡住的前后瞬间,以下说法中,正确的是( )
①小球的机械能减小;②小球的动能减小;
③悬线的张力变大;④小球的向心加速度变大

选项:
A: ①②
B: ②③
C: ③④
D: ①④
答案: 【 ③④】
3、单选题:
地球绕太阳公转,从近日点向远日点运动的过程中,下面叙述中正确的是( )
选项:
A: 太阳的引力做正功
B: 地球的动能在增加
C: 系统的引力势能在增加
D: 系统的机械能在减少。
答案: 【 系统的引力势能在增加】
4、单选题:
质量为m的一架航天飞机关闭发动机返回地球时,可认为它只在地球引力场中运动。已知地球质量为M,万有引力常数为G,则当它从距地心R1处的高空下降到R2(R2< R1)处时,增加的动能应为( )
选项:
A: 
B: 
C: 
D: 
答案: 【 
】
5、单选题:
子弹射入放在水平光滑地面上静止的木块而不穿出。以地面为参考系,下列说法中正确的说法是( )
选项:
A: 子弹的动能转变为木块的动能了
B: 子弹-木块系统的机械能守恒
C: 子弹动能的减少等于子弹克服木块阻力所作的功
D: 子弹克服木块阻力所作的功等于这一过程中产生的热。
答案: 【 子弹动能的减少等于子弹克服木块阻力所作的功】
6、单选题:
在经典力学中,关于动能、功、势能与参考系的关系,下列说法正确的是( ).
选项:
A: 动能和势能与参考系的选取有关
B: 动能和功与参考系的选取有关
C: 势能和功与参考系的选取有关
D: 动能、势能和功均与参考系选取无关。
答案: 【 动能和功与参考系的选取有关】
7、单选题:
质点的动能定理:外力对质点所做的功,等于质点动能的增量,其中所描述的外力是指( )
选项:
A: 质点所受的任意一个外力
B: 质点所受的保守力
C: 质点所受的非保守力
D: 质点所受的合外力
答案: 【 质点所受的合外力】
8、单选题:
对于一个物体系统来说,下面哪种情况下系统的机械能守恒?( )
选项:
A: 合外力为0
B: 合外力不作功
C: 外力和非保守内力都不作功
D: 外力和保守力都不作功
答案: 【 外力和非保守内力都不作功】
9、单选题:
质点系机械能守恒的条件是:( )
选项:
A: 外力作功之和为零,非保守内力作功之和为零
B: 外力作功之和为零,非保守内力作功之和不为零
C: 外力作功之和为零,保守内力作功之和为零
D: 外力作功之和为零,内力作功之和不为零
答案: 【 外力作功之和为零,非保守内力作功之和为零】
10、单选题:
考虑下列四个实例,你认为哪一个实例中物体和地球构成的系统的机械能不守恒? ( )
选项:
A: 物体在拉力作用下沿光滑斜面匀速上升
B: 物体作圆锥摆运动
C: 抛出的铁饼作斜抛运动(不计空气阻力)
D: 物体在光滑斜面上自由滑下
答案: 【 物体在拉力作用下沿光滑斜面匀速上升】
1、单选题:
已知地球质量为M,半径为R,地球表面的重力加速度为g,引力常数为G,有一颗人造地球通讯卫星,在离地面上空高h处的圆轨道上绕地球做匀速圆周运动,那么这个卫星的运行 速率为 ( )
选项:
A: 
B: 
C: 
D: 
答案: 【 
】
2、单选题:
人造卫星由于受大气阻力,轨道半径逐渐减小,则线速度和周期变化情况为( ).
选项:
A: 线速度增大,周期增大
B: 线速度增大,周期减小
C: 线速度减小,周期增大
D: 线速度减小,周期减小
答案: 【 线速度增大,周期减小】
3、单选题:
图中所示是我国发射的绕月运行的探月卫星“嫦娥1号”。设该卫星的轨道是圆形的,且贴近月球表面。己知月球的质量约为地球质量的1/81。月球的半径约为地球半径的1/4,地球上的第一宇宙速度约为7.9km/s,则该探月卫星绕月运行的速率约为( )。

选项:
A: 0.4km/s
B: 1.8km/s
C: 11km/s
D: 36km/s
答案: 【 1.8km/s】
4、单选题:
人造地球卫星绕地球做圆周运动的线速度可以是( ) ①11.2km/s ②7.9km/s ③6km/s ④16.7km/s
选项:
A: ①②
B: ②③
C: ③④
D: ①④
答案: 【 ②③】
5、单选题:
人造卫星离地面距离等于地球半径R,卫星以速度v沿圆轨道运动,设地面的重力加速度为g,则有 ( )。
选项:
A: 
B: 
C: 
D: 
答案: 【 
】
6、单选题:
1990年3月,紫金山天文台将1965年9月20日发现的一颗小行星命名为吴健雄星,直径为32km,如果该行星的密度与地球相同,则对该小行星来说,其上物体的第一宇宙速度约为( ).(已知地球半径为6400km,地球上第一宇宙速度为7.9km/s)
选项:
A: 10m/s
B: 15m/s
C: 20m/g
D: 25m/s
答案: 【 20m/g】
7、单选题:
已知太阳的质量M=2.0×1030kg,光的速度c=3.0×108m/s,如果太阳演变成了黑洞,它的半径将变成( )。
选项:
A: 0.5km
B: 1.0km
C: 1.5km
D: 2.0km
答案: 【 1.5km】
8、单选题:
宇宙飞船进人一个围绕太阳运行的近乎圆形轨道上运动,如果轨道半径是地球轨道半径的9倍,那么宇宙飞船绕太阳运行的周期是( )年.
选项:
A: 3
B: 9
C: 27
D: 81
答案: 【 27】
9、多选题:
有甲、乙两颗地球同步卫星,它们绕地球运行的轨道可能是图中的哪一个( )
选项:
A: 
B: 
C: 
D: 
答案: 【 
;
】
10、多选题:
关于第一宇宙速度,下列说法中正确的是( ).
选项:
A: 它是人造地球卫星绕地球飞行的最小速度
B: 它是近地圆形轨道上人造地球卫星的运行速度
C: 它是能使卫星进入近地圆形轨道的最小发射速度
D: 它是卫星在椭圆轨道上运行时的近地点的速度
答案: 【 它是近地圆形轨道上人造地球卫星的运行速度;
它是能使卫星进入近地圆形轨道的最小发射速度】
1、单选题:
一粒子弹以水平速度射入静止于光滑水平面上的木块后,随木块一起运动,对于这个过程的,以下分析正确的是( )
选项:
A: 子弹和木块组成的系统机械能守恒
B: 子弹在水平方向动量守恒
C: 子弹所受冲量与木块所受冲量大小相等
D: 子弹减少的动能等于木块增加的动能
答案: 【 子弹所受冲量与木块所受冲量大小相等】
2、单选题:
将一空盘放在电子秤上,将电子秤读数调整为零。然后在距盒底高度为 1.8 m 处,令小石子流自由下落,以100个/秒的速率注入盒中,每个小石子的质量均为1×10-2kg,落下的高度差均相同,且落入盒内后立即停止运动,若取 g = 10 m/s2,则开始注入 10 s时,秤的读数应为( )。
选项:
A: 9.4 kg
B: 10.1 kg
C: 10.6 kg
D: 14.1 kg
答案: 【 10.6 kg】
3、单选题:
质量为m 的质点以动能Ek 沿直线向左运动,质量为4m 的质点以动能4Ek 沿同一直线向右运动,这两个质点总动量的大小为( )
选项:
A: 
B: 
C: 
D: 
答案: 【 
】
4、单选题:
质量为m的质点,以一恒定速率v沿图中正三角形ABC的光滑轨道运动,质点越过A时,轨道作用于质点冲量的大小为( ).

选项:
A: mv
B:
mv
C:
mv
D: 2 mv
答案: 【
mv
】
5、单选题:
质量为
的铁锤竖直落下,打在木桩上并停下。设打击时间
,打击前铁锤速率为
,则在打击木桩的时间内,铁锤受平均和外力的大小为( ).
选项:
A: 
B: 
C: 
D: 
答案: 【 
】
6、单选题:
质量m = 1.0kg的小球以初速率v0 = 20.0m/s沿水平方向抛出,则一秒钟之后小球速度的大小和方向分别为( )(不计空气阻力)。
选项:
A: 速度大小为23.2m/s,速度方向为26.1°,其关系如图所示
B:
速度大小为22.3m/s,速度方向为29.3°,其关系如图所示

C:
速度大小为22.3m/s,速度方向为26.1°,其关系如图所示

D:
速度大小为32.2m/s,速度方向为36.1°,其关系如图所示

答案: 【
速度大小为22.3m/s,速度方向为26.1°,其关系如图所示

】
7、单选题:
如图,质量m = 0.15kg的小球以v0 =10m/s速度射向光滑地面,入射角
,然后沿
的反射角方向弹出。设碰撞时间
,则小球对地面的平均冲力为( )。

选项:
A: 75N
B: 100N
C: 175N
D: 225N
答案: 【 175N】
8、单选题:
动量相等的甲乙两车,刹车后沿两条水平路面滑行,如果两车的质量比为1:2,路面对两车的阻力相同,则两车滑行时间之比为( )。
选项:
A: 1:1
B: 1:2
C: 2:1
D: 1:4
答案: 【 1:1】
9、单选题:
某消防队员从一平台上跳下,下落2m后双脚触地,接着他用双腿弯屈的方法缓冲,使自身重心又下降了0.5m.在着地过程中地面对他双脚的平均作用力估计为( )。
选项:
A: 自身所受重力的2倍
B: 自身所受重力的5倍
C: 自身所受重力的8倍
D: 自身所受重力的10倍
答案: 【 自身所受重力的5倍】
10、多选题:
A、B、C三个质量相等的小球以相同的初速度v0分别竖直上抛、竖直下抛、水平抛出。若空气阻力不计,设落地时A、B、C三球的速度分别为v1、v2、v3,则( )。
选项:
A: 经过时间t后,若小球均未落地,则三小球动量变化大小相等,方向相同
B: A球从抛出到落地过程中动量变化的大小为mv1-mv0,方向竖直向下
C: 三个小球运动过程的动量变化率大小相等,方向相同
D: 三个小球从抛出到落地过程中A球所受的冲量最大
答案: 【 经过时间t后,若小球均未落地,则三小球动量变化大小相等,方向相同;
三个小球运动过程的动量变化率大小相等,方向相同;
三个小球从抛出到落地过程中A球所受的冲量最大】
1、单选题:
质量为m的小球与桌面相碰撞,碰撞前、后小球的速率都是v,入射方向和出射方向与桌面法线的夹角都是v,如图所示。若小球与桌面作用的时间为t,则小球对桌面的平均冲力为( )。

选项:
A: 
B: 
C: 
D: 
答案: 【 
】
2、单选题:
质量为5.0 g的子弹以500m/s的速率沿水平方向射入静止放置在水平桌面上的质量为1245 g 的木块内。木块受冲击后沿桌面滑动了510 cm。则木块与桌面之间的摩擦系数为( )。
选项:
A: 0.01
B: 0.02
C: 0.03
D: 0.04
答案: 【 0.04】
3、单选题:
一物体受合力为
(SI),做直线运动,试问在第二个5秒内和第一个5秒内物体受冲量之比(
)和动量增量之比(
)分别为( )。
选项:
A:
,
B:
,
C:
,
D:
,
答案: 【
,
】
4、单选题:
木板B静止置于水平台面上,小木块A放在B板的一端上(如图)。已知mA = 0.25kg,mB = 0.75kg, A与B间的摩擦因数
,木板B与台面间的摩擦因数
。现在给小木块A一向右的水平初速度v0=40m/s,设B板足够长,则经过( )的时间A、B恰好具有相同的速度。

选项:
A: 7.25秒
B: 7.45秒
C: 7.65秒
D: 7.85秒
答案: 【 7.65秒】
5、单选题:
质量为70kg的撑竿跳运动员,从5.60m高处落到海绵垫上,经时间1s停下. 则海绵垫对运动员的平均作用力为( )。
选项:
A: 14.42N
B: 144.2N
C: 1442N
D: 14420N
答案: 【 1442N】
1、单选题:
机枪每分钟可射出质量为20 g的子弹900颗,子弹射出的速率为800 m/s,则射击时的平均反冲力大小为 ( )
选项:
A: 0.267 N
B: 16 N
C: 240 N
D: 14400 N
答案: 【 240 N】
2、单选题:
一子弹以水平速度v0射入一静止于光滑水平面上的木块后,随木块一起运动、对于这一过程正确的分析是( )。
选项:
A: 子弹、木块组成的系统机械能守恒
B: 子弹、木块组成的系统水平方向的动量守恒
C: 子弹所受的冲量等于木块所受的冲量
D: 子弹动能的减少等于木块动能的增加
答案: 【 子弹、木块组成的系统水平方向的动量守恒】
3、单选题:
如图所示,用长度为l的细线将一个质量为m的小球悬挂于O点。手拿小球将细线拉到水平位置,然后释放。当小球摆动到细线竖直的位置时,正好与一个静止放置在水平桌面上的质量为M的物体作完全弹性碰撞。则碰撞后小球达到的最高位置所对应的细线张角α为( )。

选项:
A: 
B: 
C: 
D: 
答案: 【 
】
4、单选题:
如图所示,不可伸长的轻绳跨过一个质量可以忽略的定滑轮,两端分别吊有重物和小猴,并且由于两者质量相等,所以开始时重物和小猴都静止地吊在绳端。当小猴以相对于绳子的速度v沿绳子向上爬行时,重物相对于地面的速度为( )。

选项:
A: 
B: 
C: 
D: 
答案: 【 
】
5、单选题:
如图,在光滑的水平面上,有一质量为M、长为l的小车,车上一端有一质量为m的人,起初m、M均静止,若人从车一端走到另一端时,则人和车相对地面走过的距离分别为( )。

选项:
A:
,
B:
,
C:
,
D:
,
答案: 【
,
】
6、单选题:
如图所示,质量为m1的小球A以速度
沿x轴正方向运动,与另一质量为m2的静止小球B在水平面内碰撞,碰后A沿y轴正方向运动,B的运动方向与x轴成
角。则碰撞后A的速率v1和B的速率v2分别为( )。

选项:
A:
, 
B:
, 
C:
, 
D:
, 
答案: 【
, 
】
7、单选题:
如图所示,质量为m1的小球A以速度
沿x轴正方向运动,与另一质量为m2的静止小球B在水平面内碰撞,碰后A沿y轴正方向运动,B的运动方向与x轴成
角。设碰撞的接触时间为
,则A受到的平均冲力为( )。

选项:
A: 
B: 
C: 
D: 
答案: 【 
】
8、单选题:
如图所示,一轻绳悬挂质量为m1的砂袋静止下垂,质量为m2的子弹以速度v0倾斜角q 射入砂袋中不再出来。则子弹与砂袋一同开始运动时的速度为( )。

选项:
A: 
B: 
C: 
D: 
答案: 【 
】
9、单选题:
在高速公路上发生一起交通事故,一辆质量为1500kg向南行驶的长途客车迎面撞上了一辆质量为3000kg向北行驶的卡车,碰后两车接在一起,并向南滑行了一段距离后停止。根据测速仪的测定,长途客车碰前以20m/s的速度行驶,由此可判断卡车碰前的行驶速率为( )。
选项:
A: 小于10 m/s
B: 大于10 m/s小于20 m/s
C: 大于20 m/s小于30 m/s
D: 大于30 m/s小于40 m/s
答案: 【 小于10 m/s】
备案号:冀ICP备20010840号 2020-2099辉辉网络科技 All Rights Reserved