

1、单选题:

选项:
A: 
B: 
C: 
D: 
答案: 【
】
2、单选题:

选项:
A: 
B: 
C: 
D: 
答案: 【
】
3、单选题:

选项:
A: 
B: 
C: 
D: 
答案: 【
】
4、单选题:

选项:
A: 
B: 
C: 
D: 
答案: 【
】
5、单选题:

选项:
A: 
B: 
C: 
D: 
答案: 【
】
6、单选题:
下列向量集合按向量的加法和数乘运算构成R上一个向量空间的是()
选项:
A: R^n中,分量满足x1+x2+…+xn=0的所有向量;
B: R^n中,分量满足x1+x2+…+xn=1的所有向量;
C: R^n中,分量是整数的所有向量;
D: R^n中,分量满足x1=1,x2,…,xn可取任意实数的所有向量。
答案: 【 R^n中,分量满足x1+x2+…+xn=0的所有向量;】
7、单选题:

选项:
A: |A|=0
B: r(A)<n
C: r(A)=n
D: 不知道
答案: 【 r(A)=n】
8、判断题:

选项:
A: 正确
B: 错误
答案: 【 错误】
9、判断题:

选项:
A: 正确
B: 错误
答案: 【 正确】
10、判断题:

选项:
A: 正确
B: 错误
答案: 【 正确】
11、判断题:

选项:
A: 正确
B: 错误
答案: 【 正确】
12、判断题:
两个n阶斜对称矩阵的乘积是对称矩阵当且仅当它们可交换。
选项:
A: 正确
B: 错误
答案: 【 正确】
13、判断题:

选项:
A: 正确
B: 错误
答案: 【 正确】
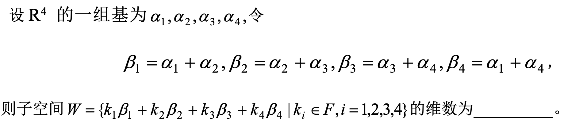
14、填空题:

答案: 【 -1】
15、填空题:

答案: 【 3】
16、填空题:

答案: 【 1】
17、填空题:

答案: 【 5】
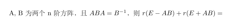
18、填空题:

答案: 【 5】
19、填空题:
已知A是2k+1阶正交矩阵,且|A|=1,则 |A-E|=
答案: 【 0】
20、填空题:

答案: 【 3】
21、填空题:
设A为4阶方阵,且秩r(A)=3,则 r(A*)=
答案: 【 1】
22、填空题:

答案: 【 零解;0解;0】
23、填空题:

答案: 【 n】
24、填空题:

答案: 【 6】
25、填空题:

答案: 【 0】
1、单选题:

选项:
A: 
B: 
C: 
D: 
答案: 【
】
2、单选题:

选项:
A: 
B: 
C: 
D: 
答案: 【
】
3、单选题:

选项:
A: 
B: 
C: 
D: 
答案: 【
】
4、单选题:

选项:
A: 
B: 
C: 
D: 
答案: 【
备案号:冀ICP备20010840号 2020-2099辉辉网络科技 All Rights Reserved