

1、多选题:
对于时间信号,请选择以下说法中正确的。
选项:
A: 连续时间信号一定是模拟信号
B: 离散时间信号一定是数字信号
C: 模拟信号一定是连续时间信号
D: 数字信号一定是振幅离散的信号
答案: 【 模拟信号一定是连续时间信号;
数字信号一定是振幅离散的信号】
1、判断题:
数字系统的可靠性源于数字信号采用0、1两种状态来表示。0和1由电平的高低、脉冲的有无表示,即使受到一定的噪声干扰,只要在一定范围内,都能很好地识别和恢复0、1。
选项:
A: 正确
B: 错误
答案: 【 正确】
1、多选题:
如果想要实现语音信号的数字化,以便后续处理,须经过:
选项:
A: 抗混叠模拟滤波
B: D/A转换
C: 数字滤波器
D: A/D转换
答案: 【 抗混叠模拟滤波;
A/D转换】
2、判断题:
数字信号在时间和振幅上都是离散的。
选项:
A: 正确
B: 错误
答案: 【 正确】
1、单选题:

选项:
A: 0
B: 5
C: 4
D: 不能确定
答案: 【 4】
2、判断题:
左边序列就是反因果序列
选项:
A: 正确
B: 错误
答案: 【 错误】
1、单选题:

选项:
A: 
B: 
C: 
D: 以上都不对
答案: 【
】
2、单选题:

选项:
A: 
B: 
C: 
D: 
答案: 【
】
1、单选题:

选项:
A: 0
B: -2
C: 5
D: 9
答案: 【 5】
2、单选题:

选项:
A: -4
B: 3
C: 4
D: 10
答案: 【 3】
1、单选题:

选项:
A: 共轭对称序列
B: 共轭反对称序列
C: 共轭对称部分
D: 共轭反对称部分
答案: 【 共轭反对称序列】
2、单选题:

选项:
A: 80
B: 16
C: 10
D: 160
答案: 【 80】
1、单选题:

选项:
A: 
B: 
C: 
D: 
答案: 【
】
2、多选题:

选项:
A: 
B: 
C: 
D: 
答案: 【
;
】
1、单选题:

选项:
A: 右移4点
B: 左移4点
C: 圆周左移4点
D: 圆周右移4点
答案: 【 左移4点】
2、单选题:

选项:
A: 
B: 
C: 
D: 
答案: 【
】
3、单选题:
因果有限长序列经圆周左移,生成的新序列及所在时间区间有何特点?
选项:
A: 为因果序列,区间不变
B: 为双边序列,区间左移
C: 为因果序列,区间右移
D: 为反因果序列,区间左移
答案: 【 为因果序列,区间不变】
4、单选题:

选项:
A: 5
B: 10
C: 
D: 无穷大
答案: 【 10】
5、单选题:

选项:
A: 
B: 
C: 
D: 
答案: 【
】
6、单选题:
两个长度分别为M和N的信号进行卷积得到的新序列的长度为
选项:
A: M + N
B: M + N -1
C: M + N +1
D: M * N
答案: 【 M + N -1】
7、单选题:

选项:
A: 
B: 
C: 
D: 
答案: 【
】
8、多选题:
关于单位阶跃序列,正确的描述是:
选项:
A: 有限长序列
B: 因果序列
C: 无限长序列
D: 右边序列
答案: 【 因果序列 ;
无限长序列;
右边序列】
9、多选题:
关于功率信号和能量信号说法正确的是
选项:
A: 能量信号是能量有限功率为零的信号
B: 功率信号是功率为零的信号
C: 周期序列是功率信号
D: 有限长序列一定是功率信号
答案: 【 能量信号是能量有限功率为零的信号;
周期序列是功率信号】
1、判断题:
借助傅里叶变换并不能使得记录信号的数据量减小
选项:
A: 正确
B: 错误
答案: 【 错误】
2、判断题:
傅里叶变换可以帮助把信号处理的任务变换到可以解决的域中
选项:
A: 正确
B: 错误
答案: 【 正确】
1、单选题:

选项:
A: 1
B: 
C: 
D: 
答案: 【 1】
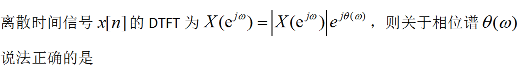
2、单选题:
序列x[n]绝对可和指的是
选项:
A: 
B: 
C: 
D: 
答案: 【
】
1、单选题:

选项:
A: 
B: 
C: 
D: 
答案: 【
】
2、单选题:

选项:
A: 
B: 
C: 
D: 
答案: 【
】
1、单选题:

选项:
A: 
B: 
C: 
D: 
答案: 【
】
2、单选题:

选项:
A: 
B: 
C: 
D: 
答案: 【
】
3、单选题:

选项:
A: 
B: 
C: 
D: 
答案: 【
】
4、单选题:
选项:
A: 0
B: -3
C: -5
D: 无法确定
答案: 【 -3】
5、单选题:
选项:
A: 3
B: 11
C: 31
D: 无法确定
答案: 【 31】
6、单选题:

选项:
A: 
B: 
C: 
D: 
答案: 【
】
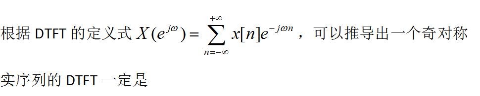
7、单选题:

选项:
A: 实频谱,偶对称
B: 实频谱,奇对称
C: 虚频谱,奇对称
D: 虚频谱,偶对称
答案: 【 虚频谱,奇对称】
8、多选题:
选项:
A: 
B: 
C: 
D: 
答案: 【
;
备案号:冀ICP备20010840号 2020-2099辉辉网络科技 All Rights Reserved