

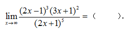
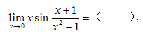
1、单选题:

选项:
A: 0
B: 1
C: 2
D: 
答案: 【 1】
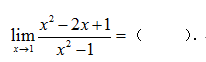
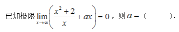
2、单选题:

选项:
A: 0
B: 1
C: 2
D: 
答案: 【 1】
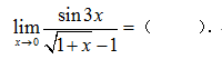
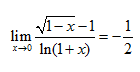
3、单选题:

选项:
A: 1
B: 
C: 
D: 
答案: 【
】
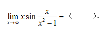
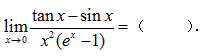
4、单选题:

选项:
A: 0
B: 1
C: 2
D: 
答案: 【 0】
5、单选题:

选项:
A: 0
B: 1
C: -1
D: 不存在
答案: 【 -1】
6、单选题:

选项:
A: 0
B: 
C: 3
D: 6
答案: 【 6】
7、单选题:

选项:
A: 0
B: 
C: 1
D: 
答案: 【 0】
8、单选题:

选项:
A: 0
B: 1
C: -1
D: 
答案: 【 -1】
9、单选题:

选项:
A: 1
B: 0
C: -1
D: 
答案: 【 1】
10、单选题:

选项:
A: 1
B: 0
C: -1
D: 
答案: 【 0】
11、单选题:

选项:
A: 0
B: 1
C: 2
D: 3
答案: 【 2】
12、单选题:

选项:
A: 0
B: 1
C: 2
D: -2
答案: 【 -2】
13、单选题:

选项:
A: 0
B: 
C: 1
D: 2
答案: 【
】
14、单选题:

选项:
A: 
B: 
C: 
D: 
答案: 【
】
15、单选题:

选项:
A: 
B: 0
C: 
D: 不存在
答案: 【 不存在】
16、单选题:

选项:
A: 
B: 
C: 1
D: 不存在
答案: 【
】
17、单选题:

选项:
A: 
B: 1
C: 3
D: 
答案: 【 3】
18、单选题:

选项:
A: 可去
B: 跳跃
C: 无穷
D: 振荡
答案: 【 跳跃】
19、单选题:

选项:
A: 高阶无穷小
B: 低阶无穷小
C: 同阶(非等价)无穷小
D: 等价无穷小
答案: 【 等价无穷小】
20、单选题:

选项:
A: x=1
B: x=-4
C: x=1和x=-4
D: x=-1
答案: 【 x=1】
21、单选题:

选项:
A: -1
B: 0
C: 1
D: -2
答案: 【 1】
22、单选题:

选项:
A: 
B: 
C: 
D: 
答案: 【
】
23、单选题:

选项:
A: 
B: 
C: 
D: 
答案: 【
】
24、单选题:

选项:
A: 1
B: 2
C: 
D: 0
答案: 【 2】
25、单选题:

选项:
A: 可去
B: 跳跃
C: 无穷
D: 振荡
答案: 【 无穷】
26、单选题:

选项:
A: 0
B: 1
C: -1
D: 2
答案: 【 -1】
27、单选题:

选项:
A: 
B: 
C: 
D: 
答案: 【
】
28、单选题:

选项:
A: 
B: 
C: 等于0
D: 不存在
答案: 【
】
29、单选题:

选项:
A: 
B: 
C: 
D: 
答案: 【
】
30、单选题:

选项:
A: 0
B: 1
C: 
D: 
答案: 【
】
31、单选题:

选项:
A: -1
B: 0
C: 1
D: 2
答案: 【 0】
32、单选题:

选项:
A: 1
B: 
C: 
D: 0
答案: 【
】
33、单选题:

选项:
A: 0
B: 1
C: 
D: 2
答案: 【
】
34、单选题:

选项:
A: 0
B: 1
C: 
D: 
答案: 【
】
35、单选题:

选项:
A: 0
B: e
C: 
D: 
答案: 【
】
36、单选题:

选项:
A: 0
B: 1
C: 2
D: 3
答案: 【 1】
37、单选题:

选项:
A: 0
B: 1
C: -1
D: 
答案: 【 1】
38、单选题:

选项:
A: 0
B: 1
C: -1
D: 
答案: 【 -1】
39、单选题:

选项:
A: 
B: 
C: 
D: 
答案: 【
】
40、单选题:

选项:
A: 
B: 0
C: 1
D: 
答案: 【
】
41、单选题:

选项:
A: 
B: 0
C: 
D: 2
答案: 【 2】
42、单选题:

选项:
A: 
B: 
C: 
D: 
答案: 【
】
43、单选题:

选项:
A: 0
B: 
C: 
D: 
答案: 【
】
44、单选题:

选项:
A: 至少有一个零点
B: 至少有两个零点
C: 没有零点
D: 无法确定有无零点
答案: 【 无法确定有无零点】
45、单选题:

选项:
A: 
B: 
C: 
D: 
答案: 【
】
1、单选题:

选项:
A: 0
B: 1
C: 2
D: 
答案: 【 1】
2、单选题:

选项:
A: 
B: 
C: 
D: 0
答案: 【
】
3、单选题:

选项:
A: 0
B: 
C: 
D: 
答案: 【
】
4、单选题:

选项:
A: 
B: 
C: 
D: 
答案: 【
】
5、单选题:

选项:
A: 
B: 
C: 
D: 
答案: 【
】
6、单选题:

选项:
A: 
B: 
C: 
D: 
答案: 【
】
7、单选题:

选项:
A: 
B: 
C: 
D: 
答案: 【
】
8、单选题:

选项:
A: 
B: 
C: 
D: 
答案: 【
】
9、单选题:

选项:
A: 单调递增且图形为凹
B: 单调递减且图形为凹
C: 单调递增且图形为凸
D: 单调递减且图形为凸
答案: 【 单调递减且图形为凹】
10、单选题:

选项:
A: 
B: 
C: 
D: 
答案: 【
】
11、单选题:

选项:
A: 
B: 
C: 
D: 
答案: 【
】
12、单选题:
下列导数或微分运算错误的是( )
选项:
A: 
B: 
C: 
D: 
答案: 【
】
13、单选题:

选项:
A: 为函数的极大值点
B: 为函数的极小值点
C: 不为函数的极值点
D: 是否为函数的极值点与a有关
答案: 【 为函数的极小值点】
14、单选题:

选项:
A: 重合
B: 平行但不重合
C: 垂直
D: 相交但不垂直
答案: 【 相交但不垂直 】
15、单选题:

选项:
A: 
B: 
C: 
D: 
答案: 【
】
16、单选题:

选项:
A: 
B: 0
C: 
D: 1
答案: 【
】
17、单选题:

选项:
A: 
B: 
C: 
D: 
答案: 【
】
18、单选题:

选项:
A: 2
B: 
C: 
D: 
答案: 【
】
19、单选题:

选项:
A: 1
B: 
C: 
D: 
答案: 【
】
20、单选题:

选项:
A: -1
B: 1
C: -3
D: 3
答案: 【 3】
21、单选题:

选项:
A: 
B: 
C: 
D: 
答案: 【
】
22、单选题:

选项:
A: 
B: 
C: 
D: 
答案: 【
】
23、单选题:

选项:
A: 0
B: 
C: 
D: 
答案: 【 0】
24、单选题:

选项:
A: 
B: 
C: 
D: 
答案: 【
】
25、单选题:

选项:
A: 
B: 
C: 
D: 
答案: 【
】
26、单选题:
下列麦克劳林公式中正确的是( ).
选项:
A: 
B: 
C: 
D: 
答案: 【
】
27、单选题:

选项:
A: 
B: 
C: 
D: 
答案: 【
】
28、单选题:

选项:
A: 
B: 
C: 
D: 
答案: 【
】
29、单选题:

选项:
A: 1
B: 
C: 
D: e
答案: 【
】
30、单选题:

选项:
A: 高价无穷小
B: 低阶无穷小
C: 同价非等价无穷小
D: 等价无穷小
答案: 【 高价无穷小】
31、单选题:

选项:
A: 1
B: 
C: 
D: 
答案: 【
】
32、单选题:

选项:
A: 0
B: 
C: 
D: 1
答案: 【
】
33、单选题:

选项:
A: 
B: 
C: 
D: 没有极值
答案: 【
】
34、单选题:

选项:
A: 
B: 
C: 
D: 
答案: 【
】
35、单选题:

选项:
A: 
B: 
C: 
D: 
答案: 【
】
36、单选题:

选项:
A: 
B: 
C: 
D: 
答案: 【
】
37、单选题:

选项:
A: 气温持续升高,且升高得越来越快
B: 气温持续升高,且升高得越来越慢
C: 气温持续降低,且降低得越来越快
D: 气温持续降低,且降低得越来越慢
答案: 【 气温持续升高,且升高得越来越慢】
38、单选题:

选项:
A: 
B: 
C: 
D: 不存在
答案: 【 不存在】
39、单选题:

选项:
A: 间断
B: 连续但不可导
C: 
D: 
答案: 【 连续但不可导】
40、单选题:

选项:
A: 2
B: 
C: 
D: 
答案: 【
】
41、单选题:

选项:
A: 0
B: 
C: 1
D: 
答案: 【 1】
42、单选题:

选项:
A: 3
B: 4
C: 5
D: 6
答案: 【 5】
43、单选题:

选项:
A: 
B: 
C: 
D: 
答案: 【
】
44、单选题:

选项:
A: 0
B: 4
C: 
D: 
答案: 【
】
45、单选题:

选项:
A: 
B: 
C:
备案号:冀ICP备20010840号 2020-2099辉辉网络科技 All Rights Reserved