

1、单选题:

选项:
A: 可分离变量方程
B: 线性方程
C: 全微分方程
D: 伯努利方程
答案: 【 线性方程】
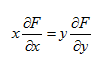
2、单选题:

选项:
A:
B: 
C: 
D: 
答案: 【
】
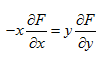
3、单选题:

选项:
A: 
B: 
C: 
D: 
答案: 【
】
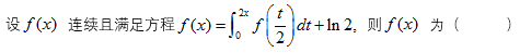
4、单选题:

选项:
A: 
B: 
C: 
D: 
答案: 【
】
1、单选题:

选项:
A: 
B: 
C: 
备案号:冀ICP备20010840号 2020-2099辉辉网络科技 All Rights Reserved