

1、单选题:
沿直线运动的物体,其速度的大小与时间成反比,则其加速度的大小与速度大小的关系是
选项:
A: 与速度大小的平方成正比
B: 与速度大小成正比
C: 与速度大小成反比
D: 与速度大小的平方成反比
答案: 【 与速度大小的平方成正比】
1、单选题:
运动方程表示质点的运动规律, 运动方程的特点是
选项:
A: 坐标系选定后, 方程的形式是唯一的
B: 绝对的, 与参考系的选择无关
C: 只适用于惯性系
D: 参考系改变, 方程的形式不一定改变
答案: 【 坐标系选定后, 方程的形式是唯一的】
1、单选题:
下列哪一种说法是正确的
选项:
A: 物体作曲线运动时,必定有加速度,加速度的法向分量一定不等于零。
B: 在圆周运动中,加速度的方向一定指向圆心。
C: 匀速率圆周运动的速度和加速度都恒定不变。
D: 物体作曲线运动时,速度的方向一定在运动轨道的切线方向上,法向分速度恒等于零;因此其法向加速度也一定等于零。
答案: 【 物体作曲线运动时,必定有加速度,加速度的法向分量一定不等于零。】
2、单选题:

选项:
A: 变速直线运动
B: 匀速直线运动
C: 抛物线运动
D: 一般曲线运动
答案: 【 变速直线运动】
3、单选题:
一物体作匀变速直线运动, 则
选项:
A: 平均加速度与瞬时加速度总是相等
B: 平均速率与平均速度总是相等
C: 位移与路程总是相等
D: 平均速度与瞬时速度总是相等
答案: 【 平均加速度与瞬时加速度总是相等】
4、单选题:

选项:
A: 
B: 
C: 
D: 
答案: 【
】
5、单选题:

选项:
A: 
B: 
C: 
D: 
答案: 【
】
6、单选题:
有两个各自作匀变速运动的物体, 在相同的时间间隔内所发生的位移大小应有
选项:
A: 平均速度大的位移大
B: 加速度大的位移大
C: 路程长的位移大
D: 平均速率大的位移大
答案: 【 平均速度大的位移大】
7、单选题:

选项:
A: 0
B: 5 m/s
C: 4.8 m/s
D: 5.5 m./s
答案: 【 0】
8、单选题:
关于加速度的物理意义, 下列说法正确的是
选项:
A: 加速度是描述物体速度变化率的物理量
B: 加速度是描述物体运动快慢的物理量
C: 加速度是描述物体位移变化率的物理量
D: 加速度是描述物体速度变化的物理量
答案: 【 加速度是描述物体速度变化率的物理量】
1、单选题:
下列表述中正确的是:
选项:
A: 质点作圆周运动时, 加速度一定与速度垂直
B: 物体作直线运动时, 法向加速度必为零
C: 轨道最弯处法向加速度最大
D: 某时刻的速率为零, 切向加速度必为零
答案: 【 物体作直线运动时, 法向加速度必为零】
1、单选题:
下列几种情况中, 哪种情况是不可能的?
选项:
A: 物体具有向东的速度和向东的加速度
B: 物体具有向东的速度和向西的加速度
C: 物体具有向东的速度和向南的加速度
D: 物体具有变化的加速度和恒定的速度
答案: 【 物体具有变化的加速度和恒定的速度】
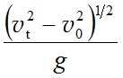
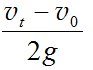
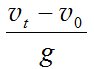
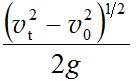
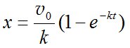
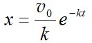
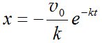
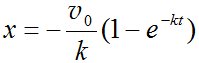
1、单选题:
![]()
选项:
A: ![]()
B: ![]()
C: ![]()
D: 
答案: 【 ![]()
】
2、单选题:
备案号:冀ICP备20010840号 2020-2099辉辉网络科技 All Rights Reserved