

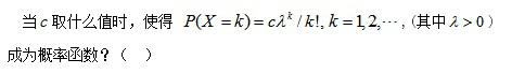
1、单选题:

选项:
A: 
B: 
C: 
D: 
答案: 【
】
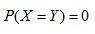
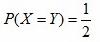
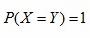
2、单选题:

选项:
A: 
B: 
C: 
D: 
答案: 【
】
3、填空题:
从5双不同的鞋子当中任意取4只,4只鞋子中至少有2只鞋子配成一双的概率是________.(结果请用保留三位小数表示)
答案: 【 0.619】
4、填空题:
一个口袋里装有10只球,分别编上号码1,…,10,随机地从口袋里取3只球,那么最大号码是5的概率为________.(结果请用小数表示)
答案: 【 0.05】
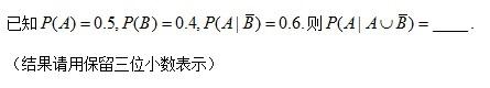
5、填空题:
答案: 【 0.75】
1、单选题:

选项:
A: 
B: 
C: 
D: 
答案: 【
】
2、单选题:

选项:
A: 
B: 
C: 
D: 
答案: 【
】
3、填空题:

答案: 【 0.676】
4、填空题:

答案: 【 1】
5、填空题:

答案: 【 0.875】
6、填空题:

答案: 【 是】
7、填空题:

答案: 【 不是】
1、单选题:

选项:
A: 
B: 
C: 
D: 
答案: 【
】
2、单选题:

选项:
A: 
B: 
C: 
D: 
答案: 【
】
3、填空题:

答案: 【 0.909】
4、填空题:

答案: 【 0.375】
1、单选题:

选项:
A: 
B: 
C: 
D: 
答案: 【
】
2、单选题:

选项:
A: 
B: 
C: 
D: 
答案: 【
】
3、单选题:
备案号:冀ICP备20010840号 2020-2099辉辉网络科技 All Rights Reserved