

1、判断题:
对同一目标连续独立射击5次,观察中靶的次数,则样本空间S={1,2,3,4,5}
选项:
A: 正确
B: 错误
答案: 【 错误】
2、判断题:
记录某电话交换台8分钟内接到的呼唤次数,则样本空间S={0,1,2,…,n,…}
选项:
A: 正确
B: 错误
答案: 【 正确】
3、判断题:
从0,1,2,3,4,5中任取4个数,组成一个4位数,则样本空间中基本事件的个数是100
选项:
A: 正确
B: 错误
答案: 【 错误】
4、判断题:
将一枚均匀的硬币抛两次,事件A表示 “至少有一次出现反面”,则A={(反,反),(正,反),(反,正)}
选项:
A: 正确
B: 错误
答案: 【 正确】
5、判断题:
对同一目标连续独立射4次,击中2次,则样本空间S={0,1,2,3,4}
选项:
A: 正确
B: 错误
答案: 【 正确】
1、单选题:

选项:
A: 
B: 
C: 
D: 
答案: 【
】
2、单选题:

选项:
A: 
B: 
C: 
D: 
答案: 【
】
3、单选题:

选项:
A: 两人都没射中
B: 两人没有都射中
C: 两人都射中
D: 都不对
答案: 【 两人都没射中】
4、单选题:

选项:
A: {1,3,5,7,9}
B: {2,4}
C: {1,3,5}
D: {1,3,5,6,7,8,9,10}
答案: 【 {2,4}】
5、单选题:
对于任意两事件A, B,与A∩B=A不等价的是
选项:
A: 
B: 
C: 
D: 
答案: 【
】
6、单选题:
设A, B, C为三个事件,与事件C互斥的事件是
选项:
A: 
B: 
C: 
D: 
答案: 【
】
7、判断题:

选项:
A: 正确
B: 错误
答案: 【 错误】
1、单选题:
随机地掷一骰子两次,两次出现的点数之和等于7的概率为
选项:
A: 1/12
B: 1/9
C: 5/36
D: 1/6
答案: 【 1/6】
2、单选题:
从标有1,2,3,4,5,6,7,8,9的9张卡片中任取2张,那么这2张卡片数字之积为偶数的概率为
选项:
A: 1/2
B: 7/18
C: 13/18
D: 11/18
答案: 【 13/18】
3、单选题:
某班共有24名学生,其中女生4名,现选举2名班长,则至少有1名女生当选的概率为
选项:
A: 95/138
B: 43/138
C: 3/5
D: 5/6
答案: 【 43/138】
4、单选题:
一个口袋里装有3个白球和2个黑球,这5个球除颜色外完全相同,从中摸出2个球,则1个是白球,1个是黑球的概率是
选项:
A: 2/3
B: 1/4
C: 3/5
D: 1/16
答案: 【 3/5】
5、单选题:
联欢会上准备了15件奖品,其中有5件游戏机,从中随机地抽取3件,至少有一件是游戏机的概率是
选项:
A: 64/90
B: 67/91
C: 65/91
D: 67/90
答案: 【 67/91】
6、单选题:
在50张奖券中,有10张三等奖,现有50个人先后随机地从中各抽一张,那么第9个人中奖的概率是
选项:
A: 9/10
B: 1/5
C: 1/10
D: 1/2
答案: 【 1/5】
7、判断题:
从1,2,3,4中任取两个数,组成没有重复数字的两位数,则这个两位数大于21的概率是2/3, 是否正确?
选项:
A: 正确
B: 错误
答案: 【 正确】
1、单选题:
将一套5卷本的书随机地排到书架上,则1,2两卷靠在一起的概率为
选项:
A: 3/7
B: 3/5
C: 2/5
D: 1/5
答案: 【 2/5】
2、单选题:
一种零件的加工由两道工序组成. 第一道工序的废品率为p1,第二道工序的废品率为p2,则该零件加工的成品率为
选项:
A: ![]()
B: ![]()
C: ![]()
D: ![]()
答案: 【 ![]()
】
3、单选题:
盒中有50个乒乓球,其中20个黄球,30个白球. 甲、乙两人依次各取一球,取后不放回,甲先取,则乙取得白球的概率为
选项:
A: 1/9
B: 1/6
C: 2/5
D: 3/5
答案: 【 3/5】
4、单选题:
设A, B是任意两个互不相容的事件,则下列结论正确的是
选项:
A: 若P(A)=0,则P(B)=0
B: 若P(A)=0,则P(B)=1
C: 若P(A)=1,则P(B)=0
D: 若P(A)=1,则P(B)=1
答案: 【 若P(A)=1,则P(B)=0】
5、单选题:
某办公室有9名男教师、5名女教师,现要选出3个代表,则选的3个代表中至少有1个女教师的概率为
选项:
A: 3/13
B: 10/13
C: 1/13
D: 1/4
答案: 【 10/13】
6、单选题:
有5件产品,其中3件一级品和2件二级品,从中任取两件,则以0.6为概率的是
选项:
A: 至多有1件一级品
B: 恰有1件一级品
C: 至少有1件一级品
D: 都不是一级品
答案: 【 恰有1件一级品】
7、单选题:
平面上画了一些彼此相距2a的平行线,把一枚半径r<a的硬币任意掷在这个平面上,则硬币不与任何一条平行线相碰的概率为
选项:
A: r/a
B: r/2a
C: (a-r)/a
D: (a-r)/2a
答案: 【 (a-r)/a】
8、判断题:
![]()
选项:
A: 正确
B: 错误
答案: 【 错误】
9、判断题:
![]()
选项:
A: 正确
B: 错误
答案: 【 错误】
10、判断题:
![]()
选项:
A: 正确
B: 错误
答案: 【 正确】
11、判断题:
![]()
选项:
A: 正确
B: 错误
答案: 【 错误】
1、单选题:
在区间[0,10]中任意取一个数,则它与4之和小于10的概率是
选项:
A: 1/5
B: 2/5
C: 3/5
D: 2/7
答案: 【 3/5】
2、单选题:
在区间(0,1)中随机地取出两个数,则两数之和不小于5/6的概率是
选项:
A: 1/6
B: 5/6
C: 25/72
D: 47/72
答案: 【 47/72】
3、单选题:
两人相约7点到8点在某地会面,先到者等候另一人20分钟,过时离去.则两人能会面的概率为
选项:
A: 5/9
B: 1/3
C: 4/9
D: 7/10
答案: 【 5/9】
4、判断题:
概率为1的事件可以不发生,正确与否?
选项:
A: 正确
B: 错误
答案: 【 正确】
5、判断题:
概率为0的事件一定不会发生,正确与否?
选项:
A: 正确
B: 错误
答案: 【 错误】
6、判断题:
概率不可以是一个无理数,正确与否?
选项:
A: 正确
B: 错误
答案: 【 错误】
1、单选题:
选项:
A: ![]()
B: ![]()
C: ![]()
D: ![]()
答案: 【
】
2、单选题:
已知P(A)=P(B)=P(C)=1/4,P(AB)=0,P(AC)=P(BC)=1/16,则A,B,C全不发生的概率为
选项:
A: 3/4
B: 5/16
C: 3/8
D: 5/8
答案: 【 3/8】
3、单选题:
![]()
选项:
A: ![]()
B: 1
C: 0
D: ![]()
答案: 【 1】
4、单选题:
![]()
选项:
A: 0.1
B: 0.2
C: 0.3
D: 0.4
答案: 【 0.2】
5、单选题:
![]()
选项:
A: a-b
B: c-b
C: a(1-b)
D: b-a
答案: 【 c-b】
6、判断题:
设P(A)=0.5, P(B)=0.6, 则P(AB)的最大值为0.6,是否正确?
选项:
A: 正确
B: 错误
答案: 【 错误】
1、单选题:

选项:
A: 
B: 
C: 
D: 
答案: 【
】
2、单选题:

选项:
A: 
B: 
C: 
D: 
答案: 【
】
3、单选题:

选项:
A: 5/12
B: 1/6
C: 1/3
D: 1/8
答案: 【 1/3】
4、单选题:
设10件产品中有4件不合格品,从中任取两件,已知所取两件中有一件是不合格品,则另一件也是不合格品的概率为
选项:
A: 1/2
B: 1/4
C: 1/5
D: 1/12
答案: 【 1/5】
5、单选题:
袋中有5只白球6只黑球,从袋中一次取出3个球,发现都是同一颜色,则这颜色是黑色的概率是
选项:
A: 1/4
B: 2/3
C: 1/3
D: 1/2
答案: 【 2/3】
6、单选题:
设事件A, B仅发生一个的概率为0.3,且P(A)=0.2, P(B)=0.3, 则P(B|A)的概率为
选项:
A: 0.2
B: 0.3
C: 0.4
D: 0.5
答案: 【 0.5】
7、判断题:

选项:
A: 正确
B: 错误
答案: 【 正确】
1、单选题:
对事件A, B,下列正确的命题是
选项:
A: ![]()
B: 
C: ![]()
D: ![]()
答案: 【
】
2、单选题:
满足P(A)+P(B)>1,则一定
选项:
A: 不独立
B: 独立
C: 不相容
D: 相容
答案: 【 相容】
3、单选题:
P(A)=0.4,P(A∪B)=0.7,当A与B相互独立时,P(B)=
选项:
A: 0.3
B: 0.4
C: 0.5
D: 0.6
答案: 【 0.5】
4、判断题:
概率为0的事件与任意事件相互独立,正确与否?
选项:
A: 正确
B: 错误
答案: 【 正确】
5、判断题:
概率为1的事件与任意事件相互独立,正确与否?
选项:
A: 正确
B: 错误
答案: 【 正确】
1、单选题:
一大楼有三层,一层到二层有两部自动扶梯,二层到三层有一部自动扶梯,各扶梯正常工作的概率为p,互不影响,则因自动扶梯不正常而不能用它们从一楼到三楼的概率为
选项:
A: 
B: 
C: 
D: 
答案: 【
】
2、单选题:
某类灯泡使用时数在1000小时以上的概率是0.2,求三个灯泡在使用1000小时以后最多只有一个坏了的概率为
选项:
A: 0.104
B: 0.206
C: 0.008
D: 0.245
答案: 【 0.104】
3、单选题:
一批产品中有20%的次品,现进行重复抽样,共抽取5件样品,至多有3件次品的概率为
选项:
A: 0.8877
B: 0.6633
C: 0.9933
D: 0.5522
答案: 【 0.9933】
4、判断题:
设一批晶体管的次品率为0.01,今从这批晶体管中抽取4个,则其中恰有3个次品的概率为0.00000396
选项:
A: 正确
B: 错误
答案: 【 正确】
5、判断题:
考试时有4道选择题,每题有4个答案,其中只有一个是正确的,一个考生随意地选择每题的答案,则他至少答对3道题的概率是13/256
选项:
A: 正确
B: 错误
答案: 【 正确】
1、单选题:
![]()
选项:
A: 1/2
B: 1/3
C: 1/4
D: 1/5
答案: 【 1/2】
2、单选题:
有甲乙两袋,甲袋中有3只白球,2只黑球,乙袋中有4只白球,4只黑球,现从甲袋中任取两个球放入乙袋,然后再从乙袋中任取一球,则此球为白球的概率为
选项:
A: 11/25
B: 12/25
C: 13/25
D: 14/25
答案: 【 13/25】
3、单选题:
选项:
A: 3/7
B: 2/7
C: 1/7
D: 4/7
答案: 【 3/7】
4、单选题:
甲、乙、丙三个车间生产同一种产品,其产量分别占总量的25%,35%,40%,次品率分别为5%,4%,2%. 从这批产品中任取一件,发现是次品,则它是哪个车间生产的可能性最大
选项:
A: 甲
B: 乙
C: 丙
D: 无法确定
答案: 【 乙】
5、单选题:

选项:
A: 0.664
B: 0.775
C: 0.886
D: 0.997
答案: 【 0.775】
6、单选题:
在三次独立试验中,事件B至少出现一次的概率为19/27,若每次试验中B出现的概率为p,则p=
选项:
A: 1/2
B: 1/3
C: 2/3
D: 3/4
答案: 【 1/3】
7、单选题:
轰炸机轰炸某目标,它能飞到距目标400、200、100(米)的概率分别是0.5、0.3和0.2,又设它在距目标400、200、100(米)时的命中率分别为0.01、0.02和0.1,则目标被命中的概率为
选项:
A: 0.023
B: 0.031
C: 0.024
D: 0.032
答案: 【 0.031】
8、单选题:
掷三颗均匀的骰子,至少有一颗骰子的点数小于3的概率为
选项:
A: 19/27
B: 5/9
C: 2/3
D: 1/27
答案: 【 19/27】
9、单选题:
设甲、乙、丙三人独立地解决某问题,他们各自能解决的概率分别为0.45,0.55,0.66,则此问题能解决的概率为
选项:
A: 0.6
B: 0.806
C: 0.916
D: 0.99
答案: 【 0.916】
1、单选题:
袋中有50个乒乓球,其中20个是黄球,30个是白球。今有两人依次随机地从袋中各取一球,取后不放回,则第二人取得黄球的概率为
选项:
A: 3/5
B: 19/49
C: 20/49
D: 2/5
答案: 【 2/5】
2、单选题:
5张卡片上分别标有数字1,2,3,4,5, 每次从中任取一张,连取两次。若第一次取出的卡片不放回,则第二次取出的卡片上的数字大于第一次取出的数字的概率为
选项:
A: 1/4
B: 1/2
C: 2/5
D: 3/5
答案: 【 1/2】
3、单选题:
甲袋里有5只白球,7只红球,乙袋里有4只白球,2只红球,从两个袋中任取一袋,然后从所取到的袋中任取一球,则取到的球是白球的概率为
选项:
A: 1/2
B: 13/24
C: 7/12
D: 1/3
答案: 【 13/24】
4、单选题:
甲、乙、丙三个车间生产同一种产品,其产量分别占总量的25%,35%,40%, 次品率分别为5%,4%,2%. 从这批产品中任取一件,则它是次品的概率为
选项:
A: 0.0123
B: 0.0234
C: 0.0345
D: 0.0456
答案: 【 0.0345】
5、单选题:
已知5%的男人和0.25%的女人患色盲,假设男人女人各占一半,现随机地挑选一人,则此人恰是色盲的概率为
选项:
A: 0.01245
B: 0.05786
C: 0.02625
D: 0.02865
答案: 【 0.02625】
6、单选题:
两台机床加工同样的零件,它们出现废品的概率分别为0.03和0.02。加工出的零件放在一起。设第一台机床加工的零件比第二台的多一倍,则任取一个零件是合格品的概率为
选项:
A: 71/75
B: 24/25
C: 73/75
D: 74/75
答案: 【 73/75】
1、单选题:
设某公路经过的货车与客车的数量之比为1:2,货车中途停车修车的概率为0.02,客车为0.01,今有一辆汽车中途停车修理,则该车是货车的概率是
选项:
A: 1/2
B: 2/3
C: 3/4
D: 4/5
答案: 【 1/2】
2、单选题:
设某工厂有甲、乙、丙三个车间生产同一种产品,已知各车间的产量占全厂产量的25%,35%,40%,而且各车间的次品率依次为5%,4%,2%. 现从待出厂的产品中检查出一个次品,那它由甲车间生产的概率为
选项:
A: 0.0125
B: 0.362
C: 0.468
D: 0.0345
答案: 【 0.362】
3、单选题:
已知甲袋中有6只红球,4只白球,乙袋中有8只红球,6只白球,随机取一只袋,再从袋中任取一球,发现是红球,则此球来自甲袋的概率为
选项:
A: 5/12
B: 3/7
C: 20/41
D: 21/41
答案: 【 21/41】
4、单选题:

选项:
A: 0.25
B: 0.092
C: 0.087
D: 0.4
答案: 【 0.087】
5、单选题:
某试卷中1道选择题有6个答案,其中只有一个是正确的。考生不知道正确答案的概率为1/4, 不知道正确答案而猜对的概率为1/6. 现已知某考生答对了,则他猜对此题的概率为
选项:
A: 1/4
B: 1/19
C: 11/16
D: 19/24
答案: 【 1/19】
6、单选题:
装有10件某产品(其中一等品5件,二等品3件,三等品2件)的箱子中丢失一件产品,但不知是几等品,今从箱中任取2件产品,结果都是一等品,则丢失的也是一等品的概率为
选项:
A: 2/9
B: 1/4
C: 3/8
D: 1/9
答案: 【 3/8】
1、单选题:
选项:
A: 
B: ![]()
C: ![]()
D: 
答案: 【
】
2、判断题:
袋子中有a个白球,b个黑球,从中任取 n (n<a+b) 个球,其中白球的个数是随机变量.
选项:
A: 正确
B: 错误
答案: 【 正确】
3、判断题:
向一线段等可能的投掷质点,质点的坐标不是随机变量.
选项:
A: 正确
B: 错误
答案: 【 错误】
4、判断题:
未来某一时刻的湿度值为随机变量.
选项:
A: 正确
B: 错误
答案: 【 正确】
5、判断题:
设X为随机变量,则2X-1是随机变量.
选项:
A: 正确
B: 错误
答案: 【 正确】
6、判断题:

选项:
A: 正确
B: 错误
答案: 【 错误】
7、判断题:
设X∈S为随机变量且e∈S,{X≤ x}等价于事件A={e: X ≤ x}.
选项:
A: 正确
B: 错误
答案: 【 正确】
1、单选题:
某男生定点投篮的命中率为0.8,该生投篮10次,则投中次数X服从
选项:
A: B(1, 0.8)
B: P(0.8)
C: B(10, 0.8)
D: G(0.2)
答案: 【 B(10, 0.8)】
2、单选题:
掷一枚均匀的骰子,首次掷出5点所掷骰子的次数X服从
选项:
A: B(1, 1/6)
B: G(1/6)
C: P(1/6)
D: B(1, 5/6)
答案: 【 G(1/6)】
3、单选题:
设一商场在某一时间段的客流量服从参数为λ的泊松分布,则商场在此时间段恰有i个客人的概率为
选项:
A: 
B: 
C: 
D: 
答案: 【
】
4、单选题:
袋中有a个白球,b个黑球,从袋中任意取出r个球(不放回),则此r个球中白球的个数X 服从
选项:
A: 二项分布
B: 两点分布
C: 超几何分布
D: 几何分布
答案: 【 超几何分布】
5、判断题:
某品牌电脑的寿命X是离散型随机变量.
选项:
A: 正确
B: 错误
答案: 【 错误】
1、单选题:

选项:
A: 
B: 
C: 
D: 
答案: 【
】
2、单选题:

选项:
A: a=3/5, b=-2/5
B: a=b=2/3
C: a=1/2, b=-3/2
D: a=-1/2, b=3/2
答案: 【 a=3/5, b=-2/5】
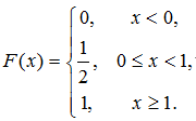
3、单选题:
X~B(1, 1/2)的分布函数为
选项:
A: 
B: 
C: 
D: 
答案: 【
备案号:冀ICP备20010840号 2020-2099辉辉网络科技 All Rights Reserved