

1、单选题:

选项:
A: [0,2]
B: [1,2]
C: [0,1]
D: [2,3]
答案: 【 [0,1]】
2、单选题:

选项:
A: [0,1]
B: [0,2]
C: [1,2]
D: [0,4]
答案: 【 [0,1]】
3、填空题:

答案: 【 2】
1、判断题:
在X上有界,
在X上无界,则
在X上无界。
选项:
A: 正确
B: 错误
答案: 【 正确】
2、判断题:
为(
)上的任意函数,则
必是奇函数。
选项:
A: 正确
B: 错误
答案: 【 错误】
1、单选题:

选项:
A: 充分条件但非必要条件
B: 必要条件但非充分条件
C: 充分必要条件
D: 既不充分也必要条件
答案: 【 充分必要条件】
2、判断题:

选项:
A: 正确
B: 错误
答案: 【 错误】
3、判断题:

选项:
A: 正确
B: 错误
答案: 【 错误】
4、填空题:

答案: 【 3】
1、单选题:

选项:
A: 必要条件
B: 充分条件
C: 充要条件
D: 既不充分也不必要条件
答案: 【 必要条件】
2、判断题:
如果数列{
}发散,则它必是无界数列。
选项:
A: 正确
B: 错误
答案: 【 错误】
3、判断题:

选项:
A: 正确
B: 错误
答案: 【 正确】
4、填空题:

答案: 【 0】
1、判断题:

选项:
A: 正确
B: 错误
答案: 【 错误】
2、判断题:

选项:
A: 正确
B: 错误
答案: 【 错误】
3、判断题:

选项:
A: 正确
B: 错误
答案: 【 错误】
4、填空题:

答案: 【 0】
1、判断题:
两个无穷小之和仍是无穷小。
选项:
A: 正确
B: 错误
答案: 【 正确】
2、判断题:
无界变量必是无穷大量。
选项:
A: 正确
B: 错误
答案: 【 错误】
3、判断题:
无穷大量必是无界变量。
选项:
A: 正确
B: 错误
答案: 【 正确】
4、判断题:
两个无穷大量之和仍是无穷大量。
选项:
A: 正确
B: 错误
答案: 【 错误】
5、填空题:

答案: 【 小】
1、单选题:

选项:
A: 
B: 
C: 
D: 
答案: 【
】
2、单选题:

选项:
A: 
B: 
C: 
D: 
答案: 【
】
3、判断题:

选项:
A: 正确
B: 错误
答案: 【 正确】
4、判断题:

选项:
A: 正确
B: 错误
答案: 【 错误】
1、判断题:

选项:
A: 正确
B: 错误
答案: 【 正确】
2、填空题:

答案: 【 1】
3、填空题:

答案: 【 2】
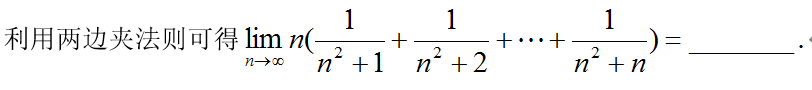
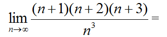
1、填空题:

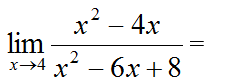
答案: 【 2】
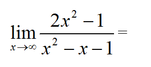
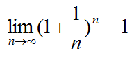
2、填空题:

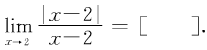
答案: 【 0】
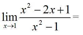
3、填空题:

答案: 【 1】
4、填空题:

答案: 【 2】
1、判断题:

选项:
A: 正确
B: 错误
答案: 【 错误】
2、判断题:

选项:
A: 正确
B: 错误
答案: 【 错误】
3、判断题:

选项:
A: 正确
B: 错误
答案: 【 错误】
4、填空题:

答案: 【 e】
1、单选题:

选项:
A: 连续点
B: 可去间断点
C: 跳跃间断点
D: 无穷间断点
答案: 【 连续点】
2、单选题:

选项:
A: 连续点
B: 可去间断点
C: 跳跃间断点
D: 无穷间断点
答案: 【 跳跃间断点 】
3、判断题:

选项:
A: 正确
B: 错误
答案: 【 正确】
1、单选题:

选项:
A: 1/2
B: 1/3
C: 1/4
D: 不存在
答案: 【 不存在】
2、判断题:

选项:
A: 正确
B: 错误
答案: 【 错误】
3、判断题:

选项:
A: 正确
B: 错误
答案: 【 正确】
4、填空题:

答案: 【 充分】
5、填空题:

答案: 【 无关】
6、填空题:

答案: 【 2】
1、单选题:

选项:
A: 
B: 
C: 
D: 
答案: 【
】
2、单选题:

选项:
A: 
B: 
C: 
D: 
答案: 【
】
3、单选题:

选项:
A: 
B: 
C: 
D: 发散
答案: 【
】
4、单选题:

选项:
A: -1
B: 1
C: ∞
D: 不存在
答案: 【 不存在】
5、单选题:

选项:
A: 
B: 
C: 
D: 
答案: 【
】
6、单选题:

选项:
A: 
B: 
C: 
D: 
答案: 【
】
7、单选题:

选项:
A: 2/3
B: 3/2
C: 4/9
D: 9/4
答案: 【 4/9】
8、单选题:

选项:
A: 1
B: 2
C: 0.5
D: 0
答案: 【 2】
9、单选题:

选项:
A: 4个
B: 3个
C: 2个
D: 1个
答案: 【 3个】
10、单选题:

选项:
A: 0
B: 3
C: 1
D: 2
答案: 【 2】
1、单选题:

选项:
A: 必要条件而非充分条件
B: 充分条件而非必要条件
C: 充分必要条件
D: 既非充分条件又非必要条件
答案: 【 必要条件而非充分条件】
2、判断题:

选项:
A: 正确
B: 错误
答案: 【 正确】
3、判断题:

选项:
A: 正确
B: 错误
答案: 【 错误】
4、判断题:

选项:
A: 正确
B: 错误
答案: 【 正确】
1、单选题:

选项:
A: 
B: 
C: 
D: 
答案: 【
】
2、填空题:
在点________处切线平行于x轴
答案: 【 (1,7)】
3、填空题:
在
处的导数值为_____.
答案: 【 0】
1、单选题:
设函数
,求
选项:
A: 
B: 
C: 
D: 
答案: 【
】
2、单选题:
设
,则
选项:
A: 
B:
备案号:冀ICP备20010840号 2020-2099辉辉网络科技 All Rights Reserved