

1、单选题:
下例化合物紫外吸收(λmax)由大到小排列是 ( )?

选项:
A: B>D>A>C
B: B>A>D>C
C: B>C>D>A
D: B>C>A>D
答案: 【 B>D>A>C】
2、单选题:
以下哪种三烯在紫外线中具有最长的波长吸收( )?

选项:
A: A
B: B
C: C
D: D
答案: 【 D】
3、填空题:
使用Woodward-Fieser规则估算一下下列化合物的λmax(nm)值( )

答案: 【 390】
1、单选题:
一个分子式为C6H10O的化合物的IR光谱如下,判断是下例那个化合物IR吸收谱图?

选项:
A: A
B: B
C: C
D: D
答案: 【 B】
2、单选题:
哪种类型的C-H在红外光谱中具有最高的伸缩振动频率( )
选项:
A: RCHO
B: RCH3
C: R2C=CH2
D: RC≡CH
答案: 【 RC≡CH】
3、单选题:
哪个官能团的C = O在红外光谱中具有最低的伸缩振动频率( )
选项:
A: 酰氯
B: 醛
C: 酰胺
D: 酯
答案: 【 酯】
4、单选题:
烃的红外光谱在3297cm -1处具有强吸收。 这表明了什么结构特征?( )
选项:
A: sp3 C–H
B: sp2 C–H
C: sp C–H
D: C≡C
答案: 【 sp3 C–H】
5、单选题:
哪种光谱最适合区分化合物I和化合物II的样品?

选项:
A: 1HNMR
B: 红外光谱
C: 紫外 – 可见光谱
D: 质谱
答案: 【 红外光谱】
1、单选题:
假设下面列出的所有化合物产生可观察到的分子离子,其对于该离子具有奇数m/z值的是( )
选项:
A: C9H15F
B: C7H10N2O
C: C8H10NI
D: 以上都具有奇数质量分子离子
答案: 【 C8H10NI 】
2、单选题:
3-戊酮的质谱在m/z = 57时具有非常大的离子峰。以下哪些离子被认为是这个峰的原因?

选项:
A: A
B: B
C: C
D: D
答案: 【 C】
1、单选题:
下列化合物中各种氢的化学位移由大到小排列的是( )

选项:
A: A>B>C>D
B: B>A>C>D
C: C>B>A>D
D: A>C>B>D
答案: 【 B>A>C>D】
2、单选题:
以下烃都具有由单个尖峰组成的1H核磁共振谱,那个表现出最大的屏蔽效果?( )
选项:
A: 丁-2-炔
B: 苯
C: 丁-1,2,3-三烯
D: 丁-1,3-二炔
答案: 【 丁-1,3-二炔】
3、单选题:
下列化合物中氢的化学位移值由大到小排列的是( )

选项:
A: A>B>C
B: C>B>A
C: B>A>C
D: C>A>B
答案: 【 C>B>A】
1、单选题:
下列1H NMR光谱对应的是那个化合物( )?

选项:
A: A
B: B
C: C
D: D
答案: 【 A】
2、单选题:
请判断以下化合物的1HNMR光谱中有多少组峰( )

选项:
A: 1
B: 2
C: 3
D: 4
答案: 【 4】
3、单选题:
以下哪种化合物具有三组不等价的氢质子( )

选项:
A: A
B: B
C: C
D: D
答案: 【 A】
4、单选题:
以下那个化合物的烷基氢质子在1HNMR中显示自旋 – 自旋分裂?
选项:
A: (CH3)3COCH3
B: Br(CH2)3Br
C: 对二甲苯, CH3C6H4CH3
D: 以上都没有
答案: 【 Br(CH2)3Br】
5、单选题:
四种C10H14异构体光谱如下所示。 哪些会显示以下1HNMR信号? δ1.22(t)6H,δ2.6(q)4H,δ7.12(s)4H(s =单峰,d =双峰,t =三重峰,q =四重峰,m =多重峰)
选项:
A: 叔丁基苯
B: 异丁基苯
C: 对二乙苯
D: 1,2,3,4-四甲基苯
答案: 【 对二乙苯】
6、单选题:
以下哪种三烯具有峰最少最简单的1HNMR光谱?

选项:
A: A
B: B
C: C
D: D
答案: 【 A】
1、单选题:
未知化合物的1 HNMR谱的化学位移δ在0.9(6H),2.3(1H)和7.3(5H)ppm显 示吸收。 以下四种结构哪一个满足这些数据? (提示:乙烷的1HNMR信号δ在0.9ppm 处,苯的δ在7.3ppm处)

C、 CH3C6H5CH2CH3(对甲基乙苯) D、CH3C6H5CH2CH3(邻甲基乙苯)
选项:
A: A
B: B
C: C
D: D
答案: 【 B】
2、单选题:
未知化合物C10H14O的1 HNMR谱的化学位移如下图所示。则该化合物的可能结构是( )

选项:
A: A
B: B
C: C
D: D
答案: 【 B】
3、单选题:
具有分子式C4H8O2的化合物给出具有以下三个信号的1HNMR光谱。 这种化合物的结构是什么( )1.21 ppm (6H, 二重峰)2.59 ppm (1H,七重峰)11.38 ppm (1H, 单峰)
选项:
A: 
B: 
C: 
D: 
答案: 【
】
4、单选题:
未知化合物具有以下光谱特性:
质谱:m / z 102(非常小),87和43是最大的离子峰
1HNMR:δ1.4和3.9 ppm(均为单峰,强度比3:2)
13CNMR:δ108, 64和25ppm
红外光谱:1000至1300 cm-1区域有几个强吸收
以下哪个最有可能是该化合物?

选项:
A: A
B: B
C: C
D: D
答案: 【 A】
5、填空题:
根据光谱分析,分别推测下列各脂肪族化合物的构造式:分子式为C3H7NOUV谱:219nm(κ=60);IR谱:3413cm-1,3236cm-1,1667cm-1;1H-NMR谱:δ=6.50(2H)宽单峰,δ=2.25(2H)四重峰,δ=1.10(3H)三重峰,J=7.5Hz。
答案: 【 丙酰胺】
6、填空题:
根据光谱分析,分别推测下列各脂肪族化合物的构造式:分子式为C3H6OUV谱:210nm以上无极大值;IR谱:1080cm-1;1H-NMR谱:δ=4.75(4H)三重峰,δ=2.75(2H)五重峰,J=7.1Hz。
答案: 【 环氧丙烷##%_YZPRLFH_%##氧杂环丁烷】
1、单选题:
未知化合物在m / z = 83amu处显示分子离子。13C NMR谱显示在δ126,28.5和28.1ppm处的三条线。 红外光谱在2235cm-1处显示出强烈的强吸收。以下哪种化合物最适合这些数据?( )

选项:
A: A
B: B
C: C
D: D
答案: 【 C】
2、单选题:
考虑四种C3H5Cl3异构体。其中哪一种的核磁共振谱有两个1HNMR单峰和三个13CNMR信号( )?
选项:
A: CH3CH2CCl3
B: CH2ClCHClCH2Cl
C: CH3CHClCHCl2
D: CH3CCl2CH2Cl
答案: 【 CH3CCl2CH2Cl】
3、单选题:
C5H12O2化合物在3300至3400cm-1处具有强红外吸收。1H NMR谱在δ0.9,δ3.45和δ3.2ppm处有三个单峰; 相对比例为3:2:1。 向样品中添加D2O消除了较低的场信号。13C NMR谱显示三个信号均在高于δ100ppm的场中。以下哪种化合物最适合这些数据?( )
选项:
A: 戊-1,5-二醇
B: 1,3-二甲氧基丙烷
C: 2,2-二甲基丙-1,3-二醇
D: 戊-2,4-二醇
答案: 【 2,2-二甲基丙-1,3-二醇】
4、单选题:
C7H14O化合物在1715cm -1处具有强红外吸收。1HNMR光谱由两个信号组组成:δ1.10ppm(d)和δ2.77(m),比例为6:1。13C NMR谱显示δ218,39和18ppm处的三条线。以下哪种化合物最适合这些数据?( )

选项:
A: A
B: B
C: C
D: D
答案: 【 D】
5、单选题:
分子式C8H10O的IR,1HNMR和13CNMR光谱如下, 对应的是那个化合物 ( )?

选项:
A: A
B: B
C: C
D: D
答案: 【 A】
1、单选题:
未知化合物的1 HNMR 谱的化学位移δ 在0.9(6H),2.3(1H)和7.3(5H)ppm 显示吸收。 以下四种结构哪一个满足这些数据? (提示:乙烷的1HNMR 信号δ 在0.9ppm处,苯的δ 在7.3ppm 处)。
选项:
A: 
B: 
C: 
D: 
答案: 【
】
2、单选题:
未知化合物C3H8O 的1 HNMR 谱和13C NMR 的化学位移如下图所示。则该化合物的可能结构是( )



选项:
A: 
B: 
C: 
D: 
答案: 【
】
3、单选题:
有一羰基化合物,其分子式为C5H10O,核磁共振谱为:δ= 1.05 ppm 处有一三重峰,δ= 2.47 ppm 处有一四重峰,其结构式可能是:( )
选项:
A: CH3CH2CH2CH2CHO
B: CH3COCH(CH3)2
C: (CH3)3CCHO
D: CH3CH2COCH2CH3
答案: 【 CH3CH2COCH2CH3】
4、单选题:
比较下面两化合物中所标出的质子在1H-NMR谱中化学位移大小,并从低场到高场的顺序排列

选项:
A: A>B>C>D
B: B>A>C>D
C: B>C>A>D
D: B>C>D>A
答案: 【 B>A>C>D】
5、单选题:
用铬酸处理未知的醇,得到具有下列IR光谱的产物。 以下哪项陈述是对的?

选项:
A: 未知化合物是伯醇
B: 未知化合物是仲醇
C: 未知化合物是叔醇
D: 未知化合物是非环状化合物
答案: 【 未知化合物是伯醇】
6、单选题:
以下哪种化合物具有该质谱?

选项:
A: 
B: 
C: 
D: 
答案: 【
】
7、单选题:
请将下列各组化合物按紫外吸收波长由大到小的顺序排列?

选项:
A: A>B>C>D
B: B>A>C>D
C: B>D>A>C
D: B>C>A>D
答案: 【 B>D>A>C】
8、单选题:
下列那个化合物具有如下1H NMR谱?

选项:
A: 
B: 
C: 
D: 
答案: 【
】
9、单选题:
具有分子式C4H8O2的化合物给出具有以下三个信号的1 H NMR光谱。 该化合物的结构是什么?1.21 ppm (6H, 二重峰)2.59 ppm (1H, 七重峰)11.38 ppm (1H, 单峰)
选项:
A: 
B: 
C: 
D: 
答案: 【
】
10、单选题:
下列那个化合物在其1H NMR光谱中具有约4ppm的三重态?
选项:
A: 
B: 
C: 
D: 
答案: 【
】
11、单选题:
将下列化合物按C=O健伸缩振动吸收波数由大到小排列成序

选项:
A: 1>2>3
B: 3>2>1
C: 1>3>2
D: 3>1>2
答案: 【 1>2>3】
12、单选题:
一个化合物的IR光谱如下,判断是下例那个化合物IR吸收谱图?

选项:
A: A
B: B
C: C
D: D
答案: 【 D】
13、单选题:
与共轭二烯相比,共轭三烯的紫外 – 可见吸收光谱会以何种方式发生变化?
选项:
A: λmax将增加并且ε将减小
B: λmax将减小并且ε将增加
C: λmax和ε都会减小
D: λmax和ε都会增加
答案: 【 λmax和ε都会增加】
14、单选题:
以下哪种三烯在紫外线中具有最长的波长吸收?

选项:
A: A
B: B
C: C
D: D
答案: 【 D】
15、单选题:
哪种光谱最适合区分化合物I和化合物II的样品?

选项:
A: 1HNMR
B: 紫外 – 可见光谱
C: 红外光谱
D: 质谱
答案: 【 红外光谱】
16、单选题:
哪种类型的C-H在红外光谱中具有最高的伸缩振动频率( )
选项:
A: RCHO
B: RCH3
C: R2C=CH2
D: RC≡CH
答案: 【 RC≡CH】
17、单选题:
哪个官能团的C = O在红外光谱中具有最低的伸缩振动频率( )
选项:
A: 酰氯
B: 醛
C: 酰胺
D: 酯
答案: 【 酯】
18、单选题:
烃的红外光谱在3297cm -1处具有强吸收。 这表明了什么结构特征?( )
选项:
A: sp3 C–H
B: sp2 C–H
C: sp C–H
D: C≡C
答案: 【 sp3 C–H】
19、单选题:
下列化合物中氢的化学位移值由大到小排列的是( )

选项:
A: A>B>C
B: C>B>A
C: B>A>C
D: C>A>B
答案: 【 C>B>A】
20、单选题:
下列化合物中各种氢的化学位移由大到小排序的是( )

选项:
A: A>B>C
B: C>B>A
C: A>C>B
D: C>A>B
答案: 【 A>C>B】
21、单选题:
下面列出了四种主要的光谱仪器,哪一个利用了最长波长的辐射?( )
选项:
A: 红外光谱
B: 紫外可见光谱
C: 核磁共振氢谱
D: 质谱
答案: 【 核磁共振氢谱】
22、单选题:
哪种碳氢化合物的1HNMR化学位移最大?
选项:
A: 环己烷
B: 苯
C: 1,4-环己二烯
D: 1-丁炔
答案: 【 苯】
23、单选题:
下面列出了四种甲基化合物。 其在核磁共振氢谱中具有最低场的甲基磁共振的是( )
选项:
A: (CH3)4Si
B: (CH3)3N
C: (CH3)2S
D: (CH3)2O
答案: 【 (CH3)2O】
24、单选题:
以下烃都具有由单个尖峰组成的1H核磁共振谱,那个表现出最大的屏蔽效果?( )
选项:
A: 丁-2-炔
B: 苯
C: 丁-1,2,3-三烯
D: 丁-1,3-二炔
答案: 【 丁-1,3-二炔】
25、单选题:
下列1H NMR光谱对应的是那个化合物?


选项:
A: A
B: B
C: C
D: D
答案: 【 A】
26、单选题:
以下哪种化合物在其1H NMR光谱中具有约4ppm的三重峰

选项:
A: A
B: B
C: C
D: D
答案: 【 B】
27、单选题:
请判断以下化合物的1HNMR光谱中有多少组峰( )

选项:
A: 1
B: 2
C: 3
D: 4
答案: 【 4】
28、单选题:
请判断以下化合物的1HNMR光谱中有多少组峰( )

选项:
A: 1
B: 2
C: 3
D: 4
答案: 【 4】
29、单选题:
请判断以下化合物的1HNMR光谱中有多少组峰( )

选项:
A: 1
B: 2
C: 3
D: 4
答案: 【 2】
30、单选题:
以下那个化合物的烷基氢质子在1HNMR中显示自旋 – 自旋分裂?
选项:
A: (CH3)3COCH3
B: Br(CH2)3Br
C: 对二甲苯, CH3C6H4CH3
D: 以上都没有
答案: 【 Br(CH2)3Br】
31、单选题:
四种C10H14异构体光谱如下所示。 哪些会显示以下1HNMR信号? δ1.22(t)6H,δ2.6(q)4H,δ7.12(s)4H(s =单峰,d =双峰,t =三重峰,q =四重峰,m =多重峰)
选项:
A: 叔丁基苯
B: 异丁基苯
C: 对二乙基苯
D: 1,2,3,4-四甲基苯
答案: 【 对二乙基苯】
32、单选题:
未知化合物的1 HNMR谱的化学位移δ在0.9(6H),2.3(1H)和7.3(5H)ppm显 示吸收。 以下四种结构哪一个满足这些数据? (提示:乙烷的1HNMR信号δ在0.9ppm 处,苯的δ在7.3ppm处)。


选项:
A: A
B: B
C: C
D: D
答案: 【 B】
33、单选题:
下列化合物的结构与1HNMR谱一致的是( )

选项:
A: A
B: B
C: C
D: D
答案: 【 D】
34、单选题:
未知化合物C10H14O的1 HNMR谱的化学位移如下图所示。则该化合物的可能结构是( )

选项:
A: A
B: B
C: C
D: D
答案: 【 B】
35、单选题:
具有分子式C4H8O2的化合物给出具有以下三个信号的1HNMR光谱。 这种化合物的结构是什么( )1.21 ppm (6H, 二重峰)2.59 ppm (1H,七重峰)11.38 ppm (1H, 单峰)
选项:
A: 
B: 
C: 
D: 
答案: 【
】
36、单选题:
C10H12O2化合物的核磁共振氢谱如下图所示,在红外线中具有1680 cm-1的强吸收,它的可能结构是什么( )


选项:
A: A
B: B
C: C
D: D
答案: 【 C】
37、单选题:
C6H8碳氢化合物的1HNMR光谱显示单个尖锐峰。 13CNMR光谱具有两个峰。以下哪种化合物适合这一证据?( )

选项:
A: A
B: B
C: C
D: D
答案: 【 A】
38、单选题:
考虑四种C3H5Cl3异构体。其中有一种的核磁共振谱有两个1HNMR单峰和三个13CNMR信号?
选项:
A: CH3CH2CCl3
B: CH2ClCHClCH2Cl
C: CH3CHClCHCl2
D: CH3CCl2CH2Cl
答案: 【 CH3CCl2CH2Cl】
39、单选题:
C5H12O2化合物在3300至3400cm-1处具有强红外吸收。1H NMR谱在δ0.9,δ3.45和δ3.2ppm处有三个单峰; 相对比例为3:2:1。 向样品中添加D2O消除了较低的场信号。13C NMR谱显示三个信号均在高于δ100ppm的场中。以下哪种化合物最适合这些数据?( )
选项:
A: 1,5-戊二醇
B: 1,3-二甲氧基丙烷
C: 2,2-二甲基-1,3-丙二醇
D: 2,4-戊二醇
答案: 【 2,2-二甲基-1,3-丙二醇】
40、单选题:
C7H14O化合物在1715cm -1处具有强红外吸收。1HNMR光谱由两个信号组组成:δ1.10ppm(d)和δ2.77(m),比例为6:1。13C NMR谱显示δ218,39和18ppm处的三条线。以下哪种化合物最适合这些数据?( )

选项:
A: A
B: B
C: C
D: D
答案: 【 D】
41、单选题:
C9H12O3化合物在1100和1250cm -1之间以及1600cm -1处具有两个强红外吸收。1H NMR光谱在δ3.6和6.6ppm(强度比3:1)处具有尖锐的单峰。13C NMR谱显示δ165,115和55ppm处的三条线。以下哪种化合物最适合这些数据?( )
选项:
A: 1,3,5-三甲氧基苯
B: 1,2,3-三甲氧基苯
C: 2,4,6-三甲基-1,3,5-苯三酚
D: 1-苯基-1,2,3-丙三醇
答案: 【 1,3,5-三甲氧基苯 】
42、单选题:
分子式C8H10O的IR,1HNMR和13CNMR光谱如下, 对应的是那个化合物?



选项:
A: A
B: B
C: C
D: D
答案: 【 A】
43、单选题:
未知化合物具有以下光谱特性:
质谱:m / z 102(非常小),87和43是最大的离子峰
1HNMR:δ1.4和3.9 ppm(均为单峰,强度比3:2)
13CNMR:δ108, 64和25ppm
红外光谱:1000至1300 cm-1区域有几个强吸收
以下哪个最有可能是该化合物?

选项:
A: A
B: B
C: C
D: D
答案: 【 A】
44、单选题:
化合物具有m / z = 142amu的分子离子,并且仅显示一个1H NMR信号(尖锐的单峰)。以下哪一个化合物满足了这些事实?( )
选项:
A: 甲基碘
B: 1,1,2,2-四氟环戊烷
C: 对二巯基基苯 [C6H4(SH)2]
D: 2,4-己二炔-1,6-二醇
答案: 【 甲基碘】
45、单选题:
假设下面列出的所有化合物产生可观察到的分子离子,其对于该离子具有奇数m/z值的是( )
选项:
A: C9H15F
B: C7H10N2O
C: C8H10NI
D: 以上都具有奇数质量分子离子
答案: 【 C8H10NI 】
46、单选题:
未知化合物在m / z = 83amu处显示分子离子。13C NMR谱显示在δ126,28.5和28.1ppm处的三条线。 红外光谱在2235cm-1处显示出强烈的强吸收。以下哪种化合物最适合这些数据?( )

选项:
A: A
B: B
C: C
D: D
答案: 【 C】
47、填空题:
[18] -轮烯在其1HNMR光谱中显示两个信号:一个在9.25ppm处,另一个在TMS信号的右侧-2.88ppm处。 请确认-2.88ppm处的峰对应是那个氢( )? (提示:这与苯环外部和内部的感应磁场的磁各向异性有关)

答案: 【 B】
48、填空题:
在人体中,氨基酸苯丙氨酸通常通过酶将其转化为肉桂酸的。 患有苯丙酮尿症(PKU)的婴儿具有该酶的缺陷,导致苯丙氨酸的累积,从而损害其正在发育的脑。 PKU患者必须通过避免富含蛋白质的食物和人造甜味剂阿斯巴甜来减少饮食中的苯丙氨酸。 最近的研究探索了PKU的治疗方法,该方法使用称为脂质体的微小脂质双层包装来提供可将苯丙氨酸转化为肉桂酸的替代酶.请预测在1H NMR谱图中苯丙氨酸峰的组数( )和红色标记碳上氢裂分的个数( )。

答案: 【 7##%_YZPRLFH_%##2】
1、单选题:
下列反应的主要产物是( )

选项:
A: A
B: B
C: C
D: D
答案: 【 C】
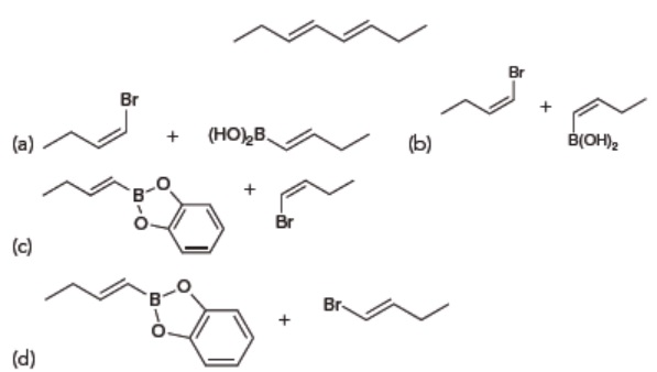
2、单选题:
在Pd(PPh3)4和合适的碱存在下,下列哪组化合物可通过Suzuki偶联反应制备以下二烯?

选项:
A: A
B: B
C: C
D: D
答案: 【 D】
3、单选题:
下列反应属于什么反应( )?

选项:
A: Corey-House偶联反应
B: Heck偶联反应
C: Suzuki偶联反应
D: Negishi偶联反应
答案: 【 Heck偶联反应】
1、单选题:
下列化合物与硝酸银/乙醇溶液反应速度最快的是?
选项:
A: CH3C6H4CH2Cl
B: O2NC6H4CH2Cl
C: CH3C6H4Cl
D: O2NC6H4Cl
答案: 【 CH3C6H4CH2Cl】
2、单选题:
以下哪种反应条件最适合合成异丁基仲丁基醚CH3CH2CH(CH3)-O-CH2CH(CH3)2 ?
选项:
A: (CH3)2CHCH2OH + H2SO4 + heat
B: CH3CH2CH(CH3)OH + H2SO4 + heat
C: CH3CH2CH(CH3)ONa + (CH3)2CHCH2Br
D: (CH3)2CHCH2ONa + CH3CH2CH(CH3)Br
答案: 【 CH3CH2CH(CH3)ONa + (CH3)2CHCH2Br】
3、单选题:
乙醇钠与碘乙烷反应生成乙醚的反应分类为( )
选项:
A: 亲电取代
B: 亲核取代
C: 自由基取代
D: 亲电加成
答案: 【 亲核取代】
1、单选题:
在氰化钠的甲醇溶液中,下列溴代烷烃通过SN2取代反应。哪一个不会进行构型反转?
选项:
A: (R)-1-溴-2-甲基丁烷
B: (S)-2-溴-3-甲基丁烷
C: (R)-1-溴-3,3-二甲基环己烷
D: cis-4-乙基-1-溴环己烷
答案: 【 (R)-1-溴-2-甲基丁烷】
2、单选题:
下列化合物发生双分子亲核取代反应时,那个化合物的反应活性最大?

选项:
A: 
B: 
C: 
D: 以上都不是
答案: 【
】
3、单选题:
下列化合物进行SN2反应时,哪个反应速度最快()
选项:
A: 
B: 
C: 
D: 
答案: 【
】
4、单选题:
以下哪种氯化物容易进行SN2取代?
选项:
A: 4-氯丁-1-烯
B: 1-氯丁-1-烯(cis or trans)
C: 1-氯丁-2-烯(cis or trans)
D: 2-氯丁-1-烯
答案: 【 1-氯丁-2-烯(cis or trans)】
1、单选题:
下列化合物进行SN1反应时,哪个反应活性最高?1-氯丁烷,1-氯-2-甲基丙烷,2-氯-2-甲基丙烷,2-氯丁烷
选项:
A: 1-氯丁烷
B: 1-氯-2-甲基丙烷
C: 2-氯-2-甲基丙烷
D: 2-氯丁烷
答案: 【 2-氯-2-甲基丙烷】
2、单选题:
下列化合物进行SN1反应时速率最大的是()
选项:
A: 
B: 
C: 
D: 
答案: 【
】
3、多选题:
卤代烷烃与 NaOH 在水与乙醇混合物中进行反应, 指出哪些属于 SN1历程?
选项:
A: 叔卤烷反应速度大于仲卤烷
B: 增加溶剂的含水量, 反应速度明显加快
C: 试剂亲核性愈强, 反应速度愈快
D: 有重排产物
答案: 【 叔卤烷反应速度大于仲卤烷;
增加溶剂的含水量, 反应速度明显加快 ;
有重排产物】
1、单选题:

选项:
A: 1>2>3>4
B: 4>2>1>3
C: 2>1>4>3
D: 2>3>1>4
答案: 【 2>3>1>4】
2、单选题:
选择以下亲核试剂的顺序,该亲核试剂相对于对以下取代反应的反应性由大到小排列。

选项:
A: 1>2>3
B: 2>1>3
C: 1>3>2
D: 3>2>1
答案: 【 1>2>3】
3、单选题:
选择有关以下取代反应的正确描叙( )

选项:
A: 该反应的速率取决于亲核试剂的亲核性
B: 溶剂的极性有助于稳定碳正离子中间体
C: 氢键有助于稳定溴化物离去基团
D: 以上都是
答案: 【 以上都是】
1、单选题:
把下列各组组化合物按E1反应速率由快至慢排列成序?

选项:
A: D>C>A>B
B: B>A>D>C
C: C>D>A>B
D: A>C>D>B
答案: 【 C>D>A>B】
2、单选题:
下列哪种试剂和条件最适合将1-丁炔转化为1-溴-1-丁烯?
选项:
A: 1当量的HBr,无过氧化物
B: 1当量的HBr,带有过氧化物
C: 1当量的Br 2,接着1当量的KOH
D: 2当量的HBr,然后是1当量的KOH
答案: 【 1当量的HBr,带有过氧化物】
1、单选题:

选项:
A: 1>2>3
B: 3>2>1
C: 3>1>2
D: 2>3>1
答案: 【 3>2>1 】
2、单选题:
以下哪种试剂最适合3-氯戊烷的E2消除反应?
选项:
A: C2H5ONa
B: CH3CO2Na
C: NaHCO3
D: NaI
答案: 【 C2H5ONa】
3、单选题:
在KOH的乙醇溶液中,以下哪些有机卤化物加热条件下会发生E2消除?
选项:
A: 1-溴-2,2-二甲基丙烷
B: 1-溴-2,2-二甲基环己烷
C: 苄基氯(C6H5CH2Cl)
D: 1-溴-2,5-二甲基苯
答案: 【 1-溴-2,2-二甲基环己烷】
1、单选题:

选项:
A: 1-丁烯
B: 反-2-丁烯
C: 顺-2-丁烯
D: 正戊腈
答案: 【 正戊腈】
2、单选题:
下列反应的主要产物是( )


选项:
A: A
B: B
C: C
D: D
答案: 【 A】
3、单选题:
下列反应的主要产物是( )


选项:
A: A
B: B
C: C
D: D
答案: 【 B】
4、单选题:
下列反应是经历了那个反应历程?

选项:
A: E1
B: E2
C: SN1
D: SN2
答案: 【 E2】
5、单选题:
下列反应的主要产物是( )?


选项:
A: A
B: B
C: C
D: D
答案: 【 A】
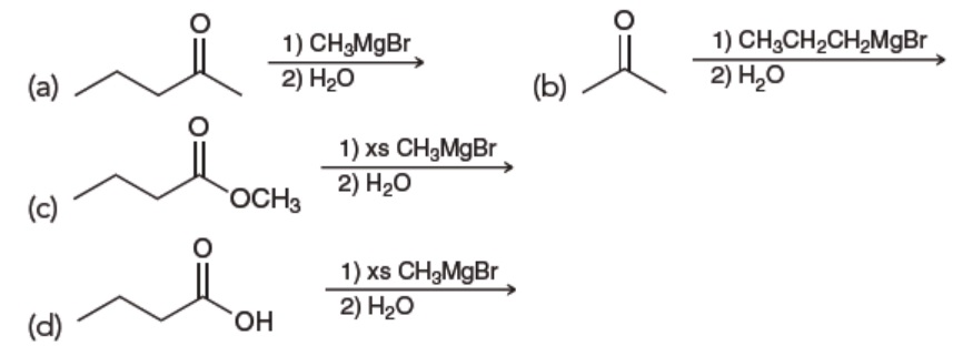
1、单选题:
以下那个反应不能合成2-甲基戊-2-醇?

选项:
A: A
B: B
C: C
D: D
答案: 【 D】
2、多选题:
下列化合物哪些不是金属有机化合物( )?
选项:
A: 甲基钾(CH3K)
B: 丁基锂(C4H9Li)
C: 醋酸钠(CH3COONa)
D: 乙醇钠(CH3CH2ONa)
答案: 【 醋酸钠(CH3COONa);
乙醇钠(CH3CH2ONa)】
3、多选题:
下列哪些含卤有机化合物不可以用作制备格氏试剂的原料( )?

选项:
A: A
B: B
C: C
D: D
答案: 【 A;
B;
C;
D】
1、单选题:
乙醇钠与碘乙烷反应生成乙醚的反应分类为( )
选项:
A: 亲电取代
B: 亲核取代
C: 自由基取代
D: 亲电加成
答案: 【 亲核取代】
2、单选题:
以下哪种反应条件最适合合成异丁基仲丁基醚CH3CH2CH(CH3)-O-CH2CH(CH3)2 ?
选项:
A: (CH3)2CHCH2OH + H2SO4 + heat
B: CH3CH2CH(CH3)OH + H2SO4 + heat
C: CH3CH2CH(CH3)ONa + (CH3)2CHCH2Br
D: (CH3)2CHCH2ONa + CH3CH2CH(CH3)Br
答案: 【 CH3CH2CH(CH3)ONa + (CH3)2CHCH2Br】
3、单选题:
手性C5H10O醚与热HI反应,得到C5H10I2产物用热的KOH在乙醇中进行处理,产生1,3-戊二烯。 原醚的结构是什么?

选项:
A: A
B: B
C: C
D: D
答案: 【 B】
4、单选题:
卢卡斯试剂用于区分少量1º,2º和3º醇(7个或更少的碳)。将要测试的醇添加到无水ZnCl2的室温HCl浓溶液中。 以下哪个陈述不正确
选项:
A: 1º醇溶解但不发生反应
B: 3º醇快速反应生成不溶的氯代烷烃
C: 3º醇迅速脱水,气态烯烃从卢卡斯溶液中冒出
D: 2º醇溶解并缓慢反应,生成不溶的氯代烷烃
答案: 【 3º醇迅速脱水,气态烯烃从卢卡斯溶液中冒出】
5、单选题:
下列化合物进行SN2反应速率最大的是
选项:
A: 1-溴丁烷
B: 2,2-二甲基-1-溴丁醇
C: 2-甲基-1-溴丁烷
D: 3-甲基-1-溴丁烷
答案: 【 1-溴丁烷】
6、单选题:
SN2反应历程的特点是()
选项:
A: 反应分两步进行
B: 反应速度与碱的浓度无关
C: 反应过程中生成活性中间体R+
D: 产物的构型完全转化
答案: 【 产物的构型完全转化】
7、单选题:
以下哪种烷基溴发生SN2反应最快?
选项:
A: 
B: 
C: 
备案号:冀ICP备20010840号 2020-2099辉辉网络科技 All Rights Reserved