

1、单选题:

选项:
A: 
B: 
C: 
D: 
答案: 【
】
2、单选题:

选项:
A: 
B: 
C: 
D: 
答案: 【
】
3、单选题:

选项:
A: 
B: 
C: 
D: 
答案: 【
】
4、单选题:

选项:
A: 
B: 
C: 
D: 
答案: 【
】
5、单选题:

选项:
A: 
B: 
C: 
D: 
答案: 【
】
6、单选题:

选项:
A: 
B: 
C: 
D: 
答案: 【
】
7、单选题:

选项:
A: 
B: 
C: 
D: 
答案: 【
】
8、单选题:

选项:
A: 1
B: 2
C: -1
D: -2
答案: 【 -1】
1、单选题:

选项:
A: 
B: 
C: 
D: 
答案: 【
】
2、单选题:

选项:
A: 0
B: 1
C: 2
D: 
答案: 【 2】
3、单选题:

选项:
A: 
B: 
C: 
D: 
答案: 【
】
4、判断题:

选项:
A: 正确
B: 错误
答案: 【 正确】
5、判断题:

选项:
A: 正确
B: 错误
答案: 【 正确】
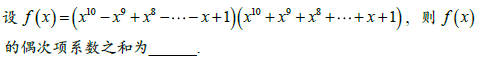
6、填空题:

答案: 【 29】
7、填空题:

答案: 【 -1】
8、填空题:

答案: 【 11】
1、单选题:

选项:
A: 
B: 
C: 
D: 
答案: 【
】
2、单选题:

选项:
A: 
B: 
C: 
D: 
答案: 【
】
3、单选题:

选项:
A: 
B: 
C: 
D: 
答案: 【
】
4、单选题:

选项:
A: 
B: 
C: 
D: 
答案: 【
】
5、判断题:

选项:
A: 正确
B: 错误
答案: 【 正确】
6、判断题:

选项:
A: 正确
B: 错误
答案: 【 错误】
7、填空题:

答案: 【 10】
8、填空题:

答案: 【 12】
1、单选题:

选项:
A: 
B: 
C: 
D: 
答案: 【
】
2、判断题:

选项:
A: 正确
B: 错误
答案: 【 错误】
3、判断题:

选项:
A: 正确
B: 错误
答案: 【 正确】
4、判断题:

选项:
A: 正确
B: 错误
答案: 【 错误】
5、判断题:

选项:
A: 正确
B: 错误
答案: 【 正确】
6、判断题:

选项:
A: 正确
B: 错误
答案: 【 正确】
7、判断题:

选项:
A: 正确
B: 错误
答案: 【 错误】
8、判断题:

选项:
A: 正确
B: 错误
答案: 【 正确】
1、单选题:

选项:
A: 3
B: 4
C: 5
D: 其它都不正确
答案: 【 其它都不正确】
2、单选题:

选项:
A: 
B: 
C: 
D: 
答案: 【
】
3、单选题:

选项:
A: 
B: 
C: 
D: 
答案: 【
】
4、单选题:

选项:
A: 
B: 
C: 
D: 
答案: 【
】
5、判断题:

选项:
A: 正确
B: 错误
答案: 【 正确】
6、判断题:

选项:
A: 正确
B: 错误
答案: 【 正确】
备案号:冀ICP备20010840号 2020-2099辉辉网络科技 All Rights Reserved