

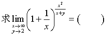
1、单选题:

选项:
A: 0
B: 1
C: 2
D: 3
E: 4
答案: 【 0】
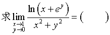
2、单选题:

选项:
A: 0
B: 1
C: 2
D: 3
E: 4
答案: 【 0】
3、单选题:

选项:
A: 4
B: 1
C: 2
D: 3
E: 0
答案: 【 4】
4、单选题:

选项:
A: e
B: 0
C: 1
D: 2
E: 3
答案: 【 e】
5、单选题:

选项:
A: 1
B: 2
C: 3
D: 4
E: 0
答案: 【 1】
6、单选题:

选项:
A: 1
B: 0
C: 2
D: 3
E: 4
答案: 【 1】
7、单选题:

选项:
A: ln2
B: ln3
C: 0
D: 2
E: 1
答案: 【 ln2】
8、单选题:

选项:
A: 0
B: 1
C: 2
D: 3
E: 4
答案: 【 0】
9、单选题:

选项:
A: ex+e
B: 1-ex
C: e
D: 0
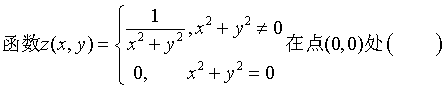
答案: 【 ex+e】
10、单选题:

选项:
A: 既不连续偏导也不存在
B: 连续但偏导不存在
C: 偏导存在但不连续
D: 连续且偏导存在
答案: 【 既不连续偏导也不存在】
1、单选题:
下列关于多元函数连续、偏导及可微说法正确的是( )
选项:
A: 若可微,则偏导存在
B: 若连续,则偏导存在
C: 若偏导存在,则连续
D: 若偏导存在,则可微
答案: 【 若可微,则偏导存在】
2、单选题:

选项:
A: 
B: 
C: 
D: 
答案: 【
】
3、单选题:

选项:
A: dx+dy+dz
B: dx+2dy+dz
C: 2dx+dy+dz
D: 2dx+2dy+dz
E: 0
答案: 【 dx+dy+dz】
4、单选题:

选项:
A: -1
B: 1
C: 0
D: 2
答案: 【 -1】
5、单选题:
R
备案号:冀ICP备20010840号 2020-2099辉辉网络科技 All Rights Reserved