

1、单选题:
当输入信号频率为fL或fH时,放大电路增益的幅值约下降为通带内水平增益的 。
选项:
A: 0.5倍
B: 0.7倍
C: 0.9倍
D: 1倍
答案: 【 0.7倍】
2、单选题:
某放大电路在负载开路时的输出电压为4V,接入3kW的负载电阻后,输出电压为3V。说明放大电路的输出电阻为 。
选项:
A: 10 kW
B: 2 kW
C: 1kW
D: 0.5kW
答案: 【 1kW】
3、单选题:
已知某信号源内阻为1kW,未接放大电路时测得信号源电压为10mV,接入放大电路后测得放大电路输入端口电压为8mV,说明放大电路的输入电阻为 。
选项:
A: 5 kW
B: 4 kW
C: 2kW
D: 1kW
答案: 【 4 kW】
4、单选题:
已知某放大电路的最大不失真输出电压范围是-10V~+10V,若放大电路的通带电压增益是40dB,则放大电路不失真放大时的输入电压范围是 。
选项:
A: -0.1V~+0.1V
B: -0.25V~+0.25V
C: -0.5V~+0.5V
D: -1.0V~+1.0V
答案: 【 -0.1V~+0.1V】
5、判断题:
信号不失真的放大在时域中表现为任何一点的幅值放大的程度完全相同。
选项:
A: 正确
B: 错误
答案: 【 正确】
6、判断题:
只要放大电路的传输特性曲线是线性的,就不会出现失真现象。
选项:
A: 正确
B: 错误
答案: 【 错误】
7、判断题:
用放大电路放大正弦波信号时,只有可能出现非线性失真,不可能出现频率失真。
选项:
A: 正确
B: 错误
答案: 【 正确】
8、判断题:
放大电路的增益只能保证在一定频率范围内与频率无关。
选项:
A: 正确
B: 错误
答案: 【 正确】
9、判断题:
放大电路中的符号“^”表示接大地的“地”。
选项:
A: 正确
B: 错误
答案: 【 错误】
10、判断题:
放大电路输出信号增加的能量来自放大电路的工作电源。
选项:
A: 正确
B: 错误
答案: 【 正确】
11、判断题:
同一个放大电路对不同信号源或带不同负载时,实际的放大能力常常是不同的。
选项:
A: 正确
B: 错误
答案: 【 正确】
12、判断题:
放大电路只有电压增益、电流增益、互阻增益和互导增益四种增益形式。
选项:
A: 正确
B: 错误
答案: 【 错误】
1、单选题:
理想运算放大器的参数是开环电压增益Avo = ,输入电阻ri = ,输出电阻ro = 。
选项:
A: 0,∞,∞
B: ∞,0,∞
C: ∞,0,0
D: ∞,∞,0
答案: 【 ∞,∞,0】
2、单选题:
放大电路中,运算放大器的反相输入端为虚地,而 放大电路中,运算放大器的两个输入端对地电压是不为零的。
选项:
A: 同相,反相
B: 反相,同相
C: 同相,同相
D: 反相,反相
答案: 【 反相,同相】
3、单选题:
欲将方波电压转换为三角波电压,应选用 。
选项:
A: 反相输入式放大电路
B: 同相输入式放大电路
C: 积分运算电路
D: 微分运算电路
E: 加法运算电路
答案: 【 积分运算电路】
4、单选题:
欲将方波电压转换为尖脉冲电压,应选用 。
选项:
A: 反相输入式放大电路
B: 同相输入式放大电路
C: 积分运算电路
D: 微分运算电路
E: 加法运算电路
答案: 【 微分运算电路】
5、单选题:
欲将输入电压信号放大-100倍,应选用 。
选项:
A: 反相输入式放大电路
B: 同相输入式放大电路
C: 积分运算电路
D: 微分运算电路
E: 同相加法运算电路
答案: 【 反相输入式放大电路】
6、单选题:
电路如图8所示,假设运算放大器是理想的,则图(a)Av = vO/vI = ,Ri = ;图(b)Av = vO/vI = ,Ri = 。

选项:
A: 图(a)Av =11,Ri =1 kΩ;图(b)Av=1;Ri =1 kΩ
B: 图(a)Av = -10,Ri =1 kΩ;图(b)Av=1;Ri =1 kΩ
C: 图(a)Av = 11,Ri =1 kΩ;图(b)Av=1;Ri =∞
D: 图(a)Av = -10,Ri =1 kΩ;图(b)Av=1;Ri =∞
答案: 【 图(a)Av = -10,Ri =1 kΩ;图(b)Av=1;Ri =∞】
7、单选题:
电路如图9所示,假设运算放大器为理想的,那么vO = f(vI) = 。

选项:
A: 
B: 
C: 
D: 
答案: 【
】
8、单选题:
理想运算放大器构成的电路如图10所示,
= 。

选项:
A: 
B: 
C: 
D: 
答案: 【
】
9、单选题:
加减法运算电路如图11所示,设运算放大器是理想的,则输出电压和输入电压的关系式为 。

选项:
A: 
B: 
C: 
D: 
答案: 【
】
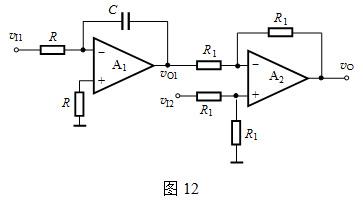
10、单选题:
电路如图12所示,假设运算放大器均为理想的,则
= 。

选项:
A: 
B: 
C: 
D: 
答案: 【
】
11、单选题:
电路如图13所示,开关S闭合时电路增益
= ;开关S断开时电路增益
= 。

选项:
A: 
B: 
C: 
D: 
答案: 【
】
12、判断题:
在运算放大器构成的线性运算电路中一般均引入负反馈。
选项:
A: 正确
B: 错误
答案: 【 正确】
13、判断题:
在线性运算电路中,集成运放的反相输入端均为虚地。
选项:
A: 正确
B: 错误
答案: 【 错误】
14、判断题:
集成运放在开环情况下一般都工作在非线性区。
选项:
A: 正确
B: 错误
答案: 【 正确】
15、判断题:
放大电路中的运算放大器只要是理想的,就一定存在虚短和虚断。
选项:
A: 正确
B: 错误
答案: 【 错误】
16、判断题:
电压跟随器的电压增益为1,所以其对信号放大没有贡献。
选项:
A: 正确
B: 错误
答案: 【 错误】
1、单选题:
半导体中空穴的移动实际上反映了半导体中 的移动。
选项:
A: 自由电子
B: 共价键中价电子
C: 正离子
D: 负离子
答案: 【 共价键中价电子】
2、单选题:
N型半导体中的多数载流子是 ,而P型半导体中的多数载流子是 。
选项:
A: 自由电子,空穴
B: 空穴,自由电子
C: 自由电子,正离子
D: 空穴,负离子
E: 空穴,正离子
F: 自由电子,负离子
答案: 【 自由电子,空穴】
3、单选题:
PN结内电场方向是由 。
选项:
A: N区指向P区
B: P区指向N区
C: 不确定
D: 与外加电压有关
答案: 【 N区指向P区】
4、单选题:
PN结正偏是指 。
选项:
A: N区电位高于P区
B: P区电位高于N区
C: P区和N区电位相等
D: 与外加电压无关
答案: 【 P区电位高于N区】
5、单选题:
二极管正偏时应重点关注 ,反偏时应重点关注 。
选项:
A: 导通电流和耗散功率,最大反向电压
B: 最高工作频率,最大反向电压
C: 最高工作频率,导通电流和耗散功率
D: 结电容,最高工作频率
E: 最大反向电压,结电容
答案: 【 导通电流和耗散功率,最大反向电压】
6、单选题:
齐纳二极管正常稳压时,工作在 状态。
选项:
A: 正向导通
B: 反向截止
C: 反向击穿
D: 放大
答案: 【 反向击穿】
7、单选题:
点亮发光二极管应加 ,光电二极管正常工作时应加 ,变容二极管正常工作时应加 。
选项:
A: 正偏电压,反偏电压,反偏电压
B: 正偏电压,反偏电压,零偏压
C: 反偏电压,正偏电压,正偏电压
D: 反偏电压,正偏电压,反偏电压
E: 正偏电压,正偏电压,反偏电压
答案: 【 正偏电压,反偏电压,反偏电压】
8、单选题:
已知某二极管处于正向导通状态,其导通电流为0.5 mA,那么,此时二极管在室温(300K)下的小信号模型参数rd = 。
选项:
A: 19.2 kΩ
B: 1 kΩ
C: 52 kΩ
D: 52 Ω
答案: 【 52 Ω】
9、单选题:
设简单硅二极管基本电路如图所示,已知R = 1kW。当VDD =10V时,分别应用理想模型和恒压降模型,求得的电流ID分别为 和 ;当VDD =1V时,再分别应用理想模型和恒压降模型,求得的电流ID分别为 和 。

选项:
A: 10mA,9.3mA; 1mA,0.3mA
B: 10mA,1mA;9.3mA,3mA
C: 1mA,0.93mA;0.1mA,0.03mA
D: 10mA,0.93mA;1mA,0.03mA
答案: 【 10mA,9.3mA; 1mA,0.3mA】
10、单选题:
12V电池的充电电路如图所示,用二极管理想模型分析,若vs是振幅为24V的正弦波,则二极管流过的峰值电流为 ,二极管两端的最大反向电压为 。

选项:
A: 240mA,24V
B: 120mA,12V
C: 120mA,36V
D: 360mA,36V
答案: 【 120mA,36V】
11、单选题:
电路如图所示,若vs是有效值为220V的正弦波电压,RL = 100W,二极管采用理想模型分析,则二极管的最高反向工作电压为 ,整流电流应为 。

选项:
A: 220V,0.99A
B: 220V,2.2A
C: 
D: 
答案: 【
】
12、单选题:
电路如图所示,D1,D2为硅二极管,当vs = 6sinwt V时,用恒压降模型分析电路时,输出电压vO的波形是 。

选项:
A: 
B: 
C: 
D: 
答案: 【
】
13、单选题:
二极管电路如图所示。输入电压只有0V或5V两个取值。利用二极管理想模型分析,在vI1和vI2电压的不同组合情况下,输出电压vO的值是 。

选项:
A: vO的a列
B: vO的b列
C: vO的c列
D: vO的d列
答案: 【 vO的b列】
14、单选题:
电路如图所示,D为硅二极管,若VDD = 2 V,R = 1 kW,正弦信号vs=50sin(2p´50t) mV。则静态(即vs= 0)时,二极管中的静态电流为 ,vO的静态电压 ;动态时,vO的交流电压振幅为 。

选项:
A: 2mA,2V;0.05V
B: 1.3mA,1.3V;0.05V
C: 2mA,2V;0.049V
D: 1.3mA,1.3V;0.049V
答案: 【 1.3mA,1.3V;0.049V】
15、单选题:
稳压电路如图所示。若VI =10V,R =100W,齐纳二极管的VZ =5V,IZ(min)=5mA,IZ(max)=50mA,那么负载RL的变化范围是 。

选项:
A: 大于111W
B: 小于111W
C: 大于111kW
D: 小于111kW
答案: 【 大于111W】
16、判断题:
半导体二极管温度升高时,将明显增大由本征激发出的少数载流子的浓度,因此对二极管反向截止特性会产生更明显的影响。
选项:
A: 正确
B: 错误
答案: 【 正确】
17、判断题:
对于实际的二极管,只要正偏电压大于零,二极管就导通。
选项:
A: 正确
B: 错误
答案: 【 错误】
18、判断题:
二极管简化模型将二极管的I-V非线性特性近似成了线性或分段线性的关系。
选项:
A: 正确
B: 错误
答案: 【 正确】
19、判断题:
通常硅二极管的反向饱和电流小于锗二极管的反向饱和电流,正向管压降低于锗二极管的正向管压降。
选项:
A: 正确
B: 错误
答案: 【 错误】
20、判断题:
在使用齐纳二极管时,必须加限流电阻。
选项:
A: 正确
B: 错误
答案: 【 正确】
1、单选题:
场效应管利用外加电压产生的_______来控制漏极电流的大小,因此它是_______控制器件。
选项:
A: 电流,电场
B: 电场,电压
C: 电流,电压
D: 电压,电流
答案: 【 电场,电压】
2、单选题:
N沟道场效应管的漏极电流由_______的漂移运动形成。
选项:
A: 空穴
B: 电子
C: 电子和空穴
D: 正离子
E: 负离子
答案: 【 电子】
3、单选题:
P沟道增强型MOS管的栅源开启电压是________。
选项:
A: 正值
B: 负值
C: 零值
D: 不确定的
答案: 【 负值】
4、单选题:
一个MOS场效应管的转移特性如图所示(其中漏极电流iD的方向是它的实际方向),它是_______场效应管。

选项:
A: N沟道耗尽型
B: N沟道增强型
C: P沟道增强型
D: P沟道耗尽型
答案: 【 P沟道增强型】
5、单选题:
在共源、共漏和共栅三种放大电路组态中,_______放大电路电压增益小于1但接近于1,输入输出电压同相,有电压跟随作用;_______放大电路电压增益较高,输入输出电压反相;________放大电路输入输出电压同相,有电流跟随作用;________放大电路输出电阻小;_______放大电路输入电阻小。
选项:
A: 共漏,共源,共栅,共漏,共栅
B: 共源,共漏,共栅,共漏,共栅
C: 共漏,共栅,共源,共漏,共栅
D: 共漏,共栅,共漏,共源,共栅
答案: 【 共漏,共源,共栅,共漏,共栅】
6、单选题:
用两个放大电路A和B分别对同一个电压信号进行放大。当输出端开路时,A和B的输出电压相等;当都接入负载电阻RL时,测得A的输出电压小于B的输出电压,由此说明,电路A的输出电阻比电路B的输出电阻________。
选项:
A: 大
B: 小
C: 相等
D: 不能确定
答案: 【 大】
7、单选题:
在图示电路中,已知各MOS管的çVT ç=0.5V,MOS管处于截止状态的电路是_______。

选项:
A: 图(a)
B: 图(b)
C: 图(c)
D: 图(a)和图(b)
E: 图(b)和图(c)
F: 图(a)和图(c)
答案: 【 图(b)】
8、单选题:
当栅源电压为0V时,_______MOS管存在导电沟道,在正的栅源电压作用下,可以有更大的漏极电流。
选项:
A: N沟道耗尽型
B: N沟道增强型
C: P沟道耗尽型
D: P沟道增强型
答案: 【 N沟道耗尽型】
9、单选题:
试分析图示各电路,能正常放大交流信号的电路是________
备案号:冀ICP备20010840号 2020-2099辉辉网络科技 All Rights Reserved