

1、单选题:
下列论断正确的是()
选项:
A: 
B: 
C: 
D: 
答案: 【
】
2、单选题:
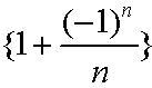
下列数列中不是有界数列的是()
选项:
A: 
B: 
C: 
D: 
答案: 【
】
3、单选题:

选项:
A: 
B: 
C: 
D: 
答案: 【
】
4、单选题:
下列结论正确的是()
选项:
A: 
B: 
C: 
D: 
答案: 【
】
5、单选题:
下列论断正确的是
选项:
A: 
B: 
C: 
D: 
答案: 【
】
6、单选题:
下列论断正确的是
选项:
A: 
B: 
C: 
D: 
答案: 【
】
7、单选题:
下列论断不正确的是()
选项:
A: 
B: 
C: 
D: 
答案: 【
】
8、单选题:
下列论断正确的是()
选项:
A: 
B: 
C: 
D: 
答案: 【
】
9、单选题:
下列论断正确的是()
选项:
A: 
B: 
C: 
D: 
答案: 【
】
10、单选题:
下列论断正确的是()
选项:
A: 
B: 
C: 
D: 
答案: 【
】
1、单选题:

选项:
A: 低阶无穷小
B: 高阶无穷小
C: 等价无穷小
D: 同阶非等价无穷小
答案: 【 等价无穷小】
2、单选题:

选项:
A: 
B: 
C: 
D: 
答案: 【
】
3、单选题:

选项:
A: 3
B: -3
C: 2
D: -2
答案: 【 2】
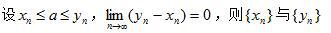
4、单选题:

选项:
A: 都收敛,但不一定收敛于a
B: 都收敛于a
C: 可能收敛,也可能发散
D: 都发散
答案: 【 都收敛于a】
5、单选题:

选项:
A: 1
B: 2
C: 12
D: 14
答案: 【 2】
6、单选题:

选项:
A: 
B: 
C: 
D: 
答案: 【
】
7、单选题:

选项:
A: 
B: 
C: 
D: 1
答案: 【
】
8、单选题:

选项:
A: 低阶无穷小
B: 高阶无穷小
C: 等价无穷小
D: 同阶非等价无穷小
答案: 【 等价无穷小】
9、单选题:

选项:
A: 
B: 
C: 
D: 
答案: 【
】
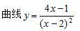
10、单选题:

选项:
A: 只有水平渐近线
B: 只有垂直渐近线
C: 没有渐近线
D: 既有水平渐近线,又有垂直渐近线
答案: 【 既有水平渐近线,又有垂直渐近线】
11、单选题:

选项:
A: 
B: 
C: 
D: 
答案: 【
】
12、单选题:
下列命题中正确的是
选项:
A: 数列若有界就收敛
B: 数列收敛就一定有界
C: 收敛的数列一定单调
D: 单调的数列一定收敛
答案: 【 数列收敛就一定有界】
13、单选题:

选项:
A: 
B: 
C: 
D: 不存在最小值
答案: 【
】
14、单选题:

选项:
A: 1
B: 2
C: 3
D: 4
答案: 【 2】
15、单选题:

选项:
A: 1
B: 2
C: 3
D: 4
答案: 【 3】
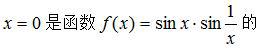
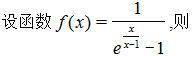
1、单选题:
函数在某点极限存在是该函数在此点连续的
选项:
A: 必要条件
B: 充分条件
C: 充要条件
D: 以上都不对
答案: 【 必要条件】
2、单选题:

选项:
A: 可去间断点
B: 跳跃间断点
C: 第二类间断点
D: 以上都不对
答案: 【 可去间断点】
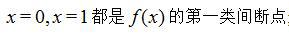
3、单选题:

选项:
A: -1
B: 1
C: -2
D: 2
答案: 【 2】
4、单选题:

选项:
A: 
B: 
C: 
D: 
答案: 【
】
5、单选题:

选项:
A: 可去间断点
B: 跳跃间断点
C: 无穷间断点
D: 振荡间断点
答案: 【 可去间断点】
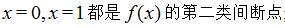
6、单选题:

选项:
A: 存在间断点x=0
B: 存在间断点x=1
C: 存在间断点x=-1
D: 不存在间断点
答案: 【 存在间断点x=1】
7、单选题:

选项:
A: 
B: 
C: 
D: 
答案: 【
】
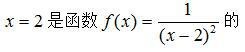
8、单选题:

选项:
A: 可去间断点
B: 跳跃间断点
C: 无穷间断点
D: 振荡间断点
答案: 【 跳跃间断点】
9、单选题:

选项:
A: 
B: 
C: 
D: 
答案: 【
】
10、单选题:

选项:
A: 
B: 
C: 
D: 
答案: 【
】
11、单选题:

选项:
A: 可去间断点
B: 跳跃间断点
C: 无穷间断点
D: 振荡间断点
答案: 【 无穷间断点】
12、单选题:

选项:
A: 必要条件
B: 充分条件
C: 充要条件
D: 以上都不对
答案: 【 必要条件】
13、单选题:

选项:
A: -1
B: 1
C: 0
D: 不存在
答案: 【 -1】
14、单选题:

选项:
A: 1
B: 2
C: 3
D: 4
答案: 【 2】
15、单选题:

选项:
A: 有界,不是无穷大
B: 无界,不是无穷大
C: 无界,也是无穷大
D: 有界,是无穷大
答案: 【 无界,不是无穷大】
1、单选题:

选项:
A: 
B: 5
C: 3
D: 1
答案: 【
】
2、单选题:

选项:
A: 
B: 
C: 
D: 
答案: 【
】
3、单选题:

选项:
A: 
B: 
C: 
D: 
答案: 【
】
4、单选题:

选项:
A: 
B: 
C: 
D: 
答案: 【
】
5、单选题:

选项:
A: 
B: 
C: 
D: 
答案: 【
】
6、单选题:

选项:
A: 
B: 
C: 
D: 
答案: 【
】
7、单选题:

选项:
A: 
B: 
C: 
D: 
答案: 【
】
8、单选题:

选项:
A: 
B: 
C: 
D: 
答案: 【
】
9、单选题:

选项:
A: 
B: 
C: 
D: 
答案: 【
】
10、单选题:

选项:
A: 
B: 
C: 
D: 
答案: 【 
备案号:冀ICP备20010840号 2020-2099辉辉网络科技 All Rights Reserved