

1、单选题:
第六卦限中点的坐标的符号特征一般为( )
选项:
A: 
B: 
C: 
D: 
答案: 【
】
2、单选题:

选项:
A: 
B: 
C: 
D: 
答案: 【
】
3、单选题:

选项:
A: 
B: 
C: 
D: 
答案: 【
】
1、单选题:

选项:
A: 
B: 
C: 
D: 
答案: 【
】
2、单选题:

选项:
A: 
B: 
C: 
D: 
答案: 【
】
3、单选题:

选项:
A: 
B: 
C: 
D: 
答案: 【
】
1、单选题:
下列方程表示球的方程的有( )
选项:
A: 
B: 
C: 
D: 
答案: 【
】
2、单选题:

选项:
A: 
B: 
C: 
D: 
答案: 【
】
1、单选题:

选项:
A: 
B: 
C: 
D: 
答案: 【
】
2、单选题:

选项:
A: 0或2
B: 1
C: 2
D: 0
答案: 【 0或2】
3、单选题:

选项:
A: 19/2
B: 38
C: 35
D: 35/4
答案: 【 19/2】
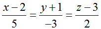
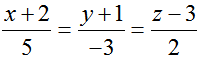
4、单选题:

选项:
A: (3, 7, 1)
B: (3, -7, 0)
C: (3, -7, 1)
D: (-3, 7, 0)
答案: 【 (3, 7, 1)】
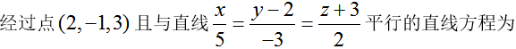
5、单选题:

选项:
A: (2, -1, -3)
B: (-2, 1, -3)
C: (-2, -1, -3)
D: (2, 1, 3)
答案: 【 (2, -1, -3)】
6、单选题:

选项:
A: 垂直
B: 平行
C: 斜交
D: 以上都不对
答案: 【 垂直】
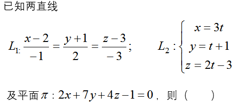
7、单选题:

选项:
A: 
B: 
C: 
D: 
答案: 【
】
8、单选题:

选项:
A: 
B: 
C: 
D: 
答案: 【
】
9、单选题:

选项:
A: 
B: 
C: 
D: 
答案: 【
】
10、单选题:

选项:
A: 
B: 
C: 
D: 
答案: 【
】
11、判断题:
任何向量的方向是唯一的
选项:
A: 正确
B: 错误
答案: 【 错误】
12、判断题:
任何向量都可以单位化.
选项:
A: 正确
B: 错误
答案: 【 错误】
13、判断题:
两个向量平行的充分必要条件是它们的向量积为零向量.
选项:
A: 正确
B: 错误
答案: 【 正确】
14、判断题:

选项:
A: 正确
B: 错误
答案: 【 错误】
15、判断题:
两个平面垂直的充分必要条件是它们的法线向量的数量积为零.
选项:
A: 正确
B: 错误
答案: 【 正确】
16、判断题:
一个平面的法线向量式唯一的.
选项:
A: 正确
B: 错误
答案: 【 错误】
17、判断题:
若两条直线平行,则它们的方向向量的坐标对应成比例.
选项:
A: 正确
B: 错误
答案: 【 正确】
18、判断题:

选项:
A: 正确
B: 错误
答案: 【 错误】
19、判断题:

选项:
A: 正确
B: 错误
答案: 【 正确】
20、判断题:

选项:
A: 正确
B: 错误
答案: 【 正确】
21、填空题:

答案: 【 八】
22、填空题:

答案: 【 5】
23、填空题:

答案: 【 (5.5,0.5,4)】
24、填空题:

答案: 【 -5】
25、填空题:

答案: 【 6】
26、填空题:

答案: 【 (x-1)的平方+(y+3)的平方+(z-2)的平方=14】
27、填空题:

答案: 【 1/14】
28、填空题:

答案: 【 3y-z=0】
29、填空题:

答案: 【 (-1, 2, -3)】
30、填空题:

答案: 【 x平方的2倍减去2x , 加上y的平方等于0】
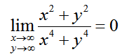
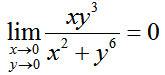
1、单选题:
下列式子正确的是( )
选项:
A: 
B: 
C: 
D: 
答案: 【
】
2、单选题:

选项:
A: 
B: 
C: 
D: 
答案: 【
】
3、单选题:

选项:
A: 0
B: 不存在
C: 1
D: -1
答案: 【 0】
1、单选题:

选项:
A: 
B: 
备案号:冀ICP备20010840号 2020-2099辉辉网络科技 All Rights Reserved