

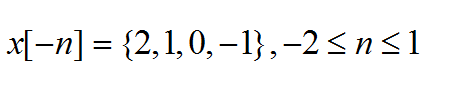
1、单选题:

选项:
A: 0
B: 5
C: 4
D: 不能确定
答案: 【 4】
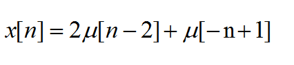
2、判断题:
左边序列就是反因果序列
选项:
A: 正确
B: 错误
答案: 【 错误】
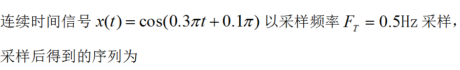
1、单选题:

选项:
A: 
B: 
C: 
D: 以上都不对
答案: 【
】
2、单选题:

选项:
A: 
B: 
C: 
D: 
答案: 【
】
1、单选题:

选项:
A: 0
B: -2
C: 5
D: 9
答案: 【 5】
2、单选题:

选项:
A: -4
B: 3
C: 4
D: 10
答案: 【 3】
1、单选题:

选项:
A: 共轭对称序列
B: 共轭反对称序列
C: 共轭对称部分
D: 共轭反对称部分
答案: 【 共轭反对称序列】
2、单选题:

选项:
A: 80
B: 16
C: 10
D: 160
答案: 【 80】
1、单选题:

选项:
A: 
B: 
C: 
D: 
答案: 【
】
2、多选题:

选项:
A: 
B: 
C: 
D: 
答案: 【
;
】
1、单选题:

选项:
A: 右移4点
B: 左移4点
C: 圆周左移4点
D: 圆周右移4点
答案: 【 左移4点】
2、单选题:

选项:
A: 
B: 
C: 
D: 
答案: 【
】
3、单选题:
因果有限长序列经圆周左移,生成的新序列及所在时间区间有何特点?
选项:
A: 为因果序列,区间不变
B: 为双边序列,区间左移
C: 为因果序列,区间右移
D: 为反因果序列,区间左移
答案: 【 为因果序列,区间不变】
4、单选题:

选项:
A: 5
B: 10
C: 
D: 无穷大
答案: 【 10】
5、单选题:

选项:
A: 
B: 
C: 
D: 
答案: 【
】
6、单选题:
两个长度分别为M和N的信号进行卷积得到的新序列的长度为
选项:
A: M + N
B: M + N -1
C: M + N +1
D: M * N
答案: 【 M + N -1】
7、单选题:

选项:
A: 
B: 
C: 
D: 
答案: 【
】
8、多选题:
关于单位阶跃序列,正确的描述是:
选项:
A: 有限长序列
B: 因果序列
C: 无限长序列
D: 右边序列
答案: 【 因果序列 ;
无限长序列;
右边序列】
9、多选题:
关于功率信号和能量信号说法正确的是
选项:
A: 能量信号是能量有限功率为零的信号
B: 功率信号是功率为零的信号
C: 周期序列是功率信号
D: 有限长序列一定是功率信号
答案: 【 能量信号是能量有限功率为零的信号;
周期序列是功率信号】
1、判断题:
一组(2K+1)个数的中值就是指位于中间的那个数。例如 med{2,-3,10,5,-1}=10。
选项:
A: 正确
B: 错误
答案: 【 错误】
2、判断题:
中值滤波器能有效地滤除随机白噪声。
选项:
A: 正确
B: 错误
答案: 【 错误】
1、判断题:
上抽样器和下抽样器都是时变系统。
选项:
A: 正确
B: 错误
答案: 【 正确】
1、判断题:
当输入不同序列时,线性时不变系统的单位脉冲响应也不同。
选项:
A: 正确
B: 错误
答案: 【 错误】
2、判断题:
任何离散系统的输出序列都等于输入序列和系统单位脉冲响应的线性卷积。
选项:
A: 正确
B: 错误
答案: 【 错误】
1、单选题:
选项:
A: 因果, 稳定
B: 因果, 不稳定
C: 非因果, 稳定
D: 非因果, 不稳定
答案: 【 非因果, 稳定】
2、单选题:
选项:
A: 非因果, 稳定
B: 因果, 不稳定
C: 因果, 稳定
D: 非因果, 不稳定
答案: 【 因果, 稳定】
1、单选题:

选项:
A: 
B: 
C: 
D: 
答案: 【
】
2、单选题:
下面用输入输出关系或单位脉冲响应描述的系统中哪个是IIR(Infinite Impulse Response, 无限长单位脉冲响应)系统?
选项:
A: 
B: 
C: 
D: 
答案: 【
】
3、单选题:
在下列线性时不变系统中,具有因果稳定性的是
选项:
A: 
B: 
C: 
D: 
答案: 【
】
4、单选题:
选项:
A: 线性,时不变
B: 非线性,时不变
C: 线性,时变
D: 非线性,时变
答案: 【 非线性,时变】
5、单选题:
选项:
A: 无限长
B: 6
C: 3
D: 5
答案: 【 6】
6、单选题:

选项:
A: 无限长
B: 
C: 
D: 
答案: 【
】
7、单选题:
选项:
A: 不稳定,稳定
B: 稳定,稳定
C: 不稳定,不稳定
D: 稳定,不稳定
答案: 【 不稳定,稳定】
8、判断题:
选项:
A: 正确
B: 错误
答案: 【 正确】
9、判断题:
选项:
A: 正确
B: 错误
答案: 【 错误】
10、判断题:
选项:
A: 正确
B: 错误
答案: 【 错误】
11、判断题:
选项:
A: 正确
B: 错误
答案: 【 错误】
1、单选题:
选项:
A:
备案号:冀ICP备20010840号 2020-2099辉辉网络科技 All Rights Reserved