聚合答案库

免费查题,不限次数,
扫描二维码立即使用。

了解更多
免费中国大学MOOC 高等数学(二)(江西财经大学)1450291497 最新慕课答案-聚合答案库
作者:20782912023-03-04 00:00 点赞 收藏 热度:20

不定积分的分部积分法测试

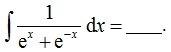
1、单选题:

‏选项:
A:
B:
C:
D:
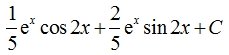
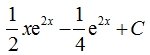
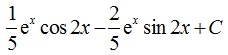
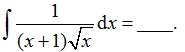
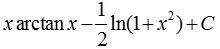
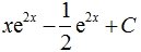
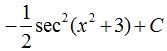
答案: 【 

2、单选题:

​选项:
A:
B:
C:
D:
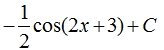
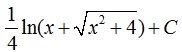
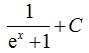
答案: 【 

3、单选题:

​选项:
A:
B:
C:
D:
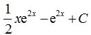
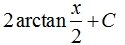
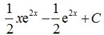
答案: 【 

4、单选题:

​选项:
A:
B:
C:
D:
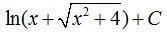
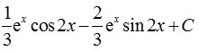
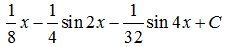
答案: 【 

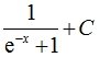
5、单选题:

‎选项:
A:
B:
C:
D:
答案: 【 

不定积分的性质测试

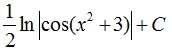
1、单选题:

‎选项:
A:
B:
C:
D:
答案: 【 

2、单选题:

​选项:
A:
B:
C:
D:
答案: 【 

3、单选题:

‌选项:
A:
B:
C:
D:
答案: 【 

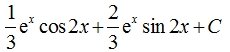
4、单选题:

‎选项:
A:
B:
C:
D:
答案: 【 

5、单选题:

​选项:
A:
B:
C:
D:
答案: 【 

不定积分的概念测试

1、单选题:

‌选项:
A:
B:
C:
D:
答案: 【 

2、单选题:

​选项:
A:
B:
C:
D:
答案: 【 

3、单选题:

‏选项:
A:
B:
C:
D:
答案: 【 

4、单选题:

‌选项:
A:
B:
C:
D:
答案: 【 

5、单选题:

​选项:
A:
B:
C:
D:
答案: 【 

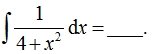
不定积分的第一类换元法测试

1、单选题:

​选项:
A:
B:
C:
D:
答案: 【 

2、单选题:

‏选项:
A:
B:
C:
D:
答案: 【 

3、单选题:

‎选项:
A:
B:
C:
D:
答案: 【 

4、单选题:

‍选项:
A:
B:
C:
D:
答案: 【 

5、单选题:

‎选项:
A:
B:
C:
D:
答案: 【 

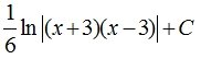
不定积分的第二类换元法测试

1、单选题:

‍选项:
A:
B:
C:
D:
答案: 【 

2、单选题:

‍选项:
A:
B:
C:
D:
答案: 【 

3、单选题:

​选项:
A:
B:
C:
D:
答案: 【 

4、单选题:

‎选项:
A:
B:
C:
D:
答案: 【 

5、单选题:

‌选项:
A:
B:
C:
D:
答案: 【 

第二周

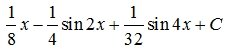
三角函数的不定积分测试

1、单选题:

‍选项:
A:
B:
C:
D:
答案: 【 

2、单选题:

‌选项:
A:
B:
C:
D:
答案: 【 

3、单选题:

‏选项:
A:
B:
C:
D:
答案: 【 

4、单选题:

​选项:
A:
B:
C:
D:
答案: 【 

5、单选题:

‏选项:
A:
B:
C:
D:

欢迎您对本文章进行评论
文明留言,请勿恶意评论,包括但不限于纯数字、敏感内容、非法昵称等
暂无讨论,说说你的看法吧
学习通答案

学习通答案

学习通答案
职教云答案

职教云答案

Q&A

备案号:冀ICP备20010840号 2020-2099辉辉网络科技 All Rights Reserved