

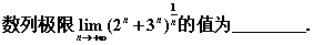
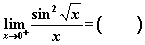
1、单选题:

选项:
A: 充分条件,但非必要条件.
B: 必要条件,但非充分条件.
C: 充分必要条件.
D: 既非充分条件,又非必要条件.
答案: 【 充分必要条件. 】
2、单选题:

选项:
A: 
B: 
C: 
D: 
答案: 【
】
1、判断题:

选项:
A: 正确
B: 错误
答案: 【 错误】
1、单选题:

选项:
A: 
B: 
C: 1
D: 无法计算
答案: 【
】
1、单选题:

选项:
A: 有界函数
B: 单调函数
C: 周期函数
D: 无界函数
答案: 【 有界函数】
2、单选题:

选项:
A: 
B: 
C: 
D: 
答案: 【
】
3、单选题:

选项:
A: 
B: 
C: 
D: 
答案: 【
】
4、单选题:

选项:
A: 
B: 
C: 
D: 
答案: 【
】
5、单选题:

选项:
A: 
B: 
C: 
D: 
答案: 【
】
6、单选题:

选项:
A: 
B: 
C: 
D: 
答案: 【
】
7、单选题:

选项:
A: 奇函数
B: 偶函数
C: 
D: 非奇非偶
答案: 【 奇函数】
8、单选题:

选项:
A: 奇函数
B: 偶函数
C: 非奇非偶函数
D: 奇偶性决定于a的值
答案: 【 奇函数】
9、单选题:
下列函数中为奇函数的是 .
选项:
A: 
B: 
C: 
D: 
答案: 【
】
10、单选题:

选项:
A: 有界函数
B: 奇函数
C: 偶函数
D: 周期函数
答案: 【 有界函数】
1、单选题:
下列叙述正确的是 .
选项:
A: 极限值为无穷大数列必为无界数列
B: 有界数列一定有极限
C: 无界数列一定是极限值为无穷大
D: 无界数列未必发散
答案: 【 极限值为无穷大数列必为无界数列】
2、单选题:

选项:
A: 任意给定的正的常数
B: 一个很小的函数
C: 很小的与n有关的函数
D: 是n的函数
答案: 【 任意给定的正的常数】
3、单选题:

选项:
A: 充分必要条件
B: 充分条件,但不是必要条件
C: 必要条件,但不是充分条件
D: 既非充分也非必要条件
答案: 【 充分必要条件】
4、单选题:

选项:
A: 必要条件,但不是充分条件
B: 充分条件,但不是必要条件
C: 充要条件
D: 既非充分也非必要条件
答案: 【 必要条件,但不是充分条件】
5、单选题:

选项:
A: 
B: 
C: 
D: 
答案: 【
】
6、单选题:

选项:
A: 
B: 
C: 
D: 
答案: 【
】
7、单选题:

选项:
A: 
B: 
C: 
D: 
答案: 【
】
8、单选题:

选项:
A: 
B: 
C: 不一定收敛
D: 不收敛
答案: 【
】
9、单选题:

选项:
A: 充分条件
B: 必要条件
C: 充分必要条件
D: 既非充分又非必要条件
答案: 【 充分条件】
10、单选题:

选项:
A: 
B: 唯一的
C: 任意的
D: 
答案: 【
】
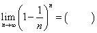
1、单选题:

选项:
A: 
B: 1
C: 2
D: 0
答案: 【 0】
1、单选题:

选项:
A: 1
B: 0
C: 
D: 不存在
答案: 【 1】
2、单选题:

选项:
A: 
B: 
C: 
D: 无法确定正负
答案: 【
】
3、单选题:

选项:
A: 
B: 0
C: 1
D: 不存在
答案: 【
】
4、单选题:

选项:
A: 
B: 
C: 
D: 
答案: 【
】
5、单选题:

选项:
A: 
B: 
C: 0
D: 1
答案: 【
】
6、单选题:

选项:
A: 
B: 
C: 
D: 
答案: 【
】
7、单选题:

选项:
A: 
B: 0
C: 1
D: 不存在
答案: 【
】
8、单选题:

选项:
A: 
B: 
C: 0
D: 1
答案: 【
】
9、单选题:

选项:
A: 1
B: 
C: 
D: 0
答案: 【 1】
10、单选题:

选项:
A: 2
B: 
C: 
D: 不存在
答案: 【 2】
1、单选题:

选项:
A: 
B: 2
C: 1
D: 0
E: 
答案: 【
】
2、单选题:

选项:
A: 
B: 
C: 可能收敛,可能发散
D: 都发散
答案: 【
】
3、单选题:

选项:
A: 
B: 发散,但有界
C: 
D: 
答案: 【
】
4、单选题:
下列关于实数列的命题正确的为 .
选项:
A: 其他各项结论均不成立
B: 
C: 
D: 
答案: 【 其他各项结论均不成立】
5、单选题:

选项:
A: 
B: 
C: 
D: 
答案: 【
】
6、单选题:

选项:
A: 1
B: 0
C: -1
D: 2
答案: 【 1】
7、单选题:

选项:
A: 3
B: 2
C: 1
D: 0
E: 4
答案: 【 3】
8、单选题:

选项:
A: 
B: 1
C: 0
D: 
E: 
答案: 【
】
9、单选题:

选项:
A: 2
B: 1
C: 0
D: 3
E: 4
答案: 【 2】
1、单选题:

选项:
A: 1
B: 2
C: 3
D: 0
答案: 【 3】
2、单选题:

选项:
A: -1
B: 1
C: 0
D: 2
答案: 【 -1】
1、单选题:

选项:
A: -1
B: 1
C: 2
D: 0
答案: 【 -1】
2、单选题:

选项:
A: -1
B: 1
C: 2
D: 0
答案: 【 1】
1、单选题:

选项:
A: 
B: 
C: 1
D: 0
答案: 【
】
1、单选题:

选项:
A: 
B: 
C: 
D: 
答案: 【
】
2、单选题:

选项:
A: 
B: 
C: 
D: 
答案: 【
】
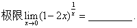
1、单选题:

选项:
A: 极限值不能确定
B: 
C: 0
D: 必为非零常数
答案: 【 极限值不能确定】
2、单选题:
设有两命题:


则 .
选项:
A: 甲、乙都不成立
B: 甲成立,乙不成立
C: 甲不成立,乙成立
D: 甲、乙都成立
答案: 【 甲、乙都不成立】
3、单选题:
下列极限中,不正确的是 .
选项:
A: 
B: 
C: 
D: 
答案: 【
】
4、单选题:

选项:
A: 3
B: 1
C: 2
D: 4
答案: 【 3】
5、单选题:

选项:
A: 
B: 0
C: 1
D: 2
E: 3
答案: 【
】
6、单选题:

选项:
A: 
B: 
C: 
D: 
答案: 【
】
7、单选题:

选项:
A: 既非必要又非充分条件
B: 必要条件
C: 充分条件
D: 充分必要条件
答案: 【 既非必要又非充分条件】
8、单选题:

选项:
A: 
B: 
C: 
D: 
答案: 【
】
9、单选题:

选项:
A: -1
B: 1
C: 0
D: 2
答案: 【 -1】
10、单选题:

选项:
A: 
B: 
C: 
D: 
答案: 【
】
1、单选题:

选项:
A: -1
B: 1
C: 2
D: 0
E: 
答案: 【 -1】
2、单选题:

选项:
A: 
B: 
C: 
D: 
E: 
答案: 【
】
3、单选题:

选项:
A: 
B: 1
C: -1
D: 2
E: 0
答案: 【
】
4、单选题:

选项:
A: 
B: 
C: 
D: 
答案: 【
】
5、单选题:
下列极限中不正确的是 .
选项:
A: 
B: 
C: 
D: 
答案: 【
】
6、单选题:

选项:
A: 
B: 
C: 
D: 
答案: 【
】
7、单选题:

选项:
A: 1
B: 0
C: 
D: 
答案: 【 1】
8、单选题:

选项:
A: 1
B: 2
C: 
D: 
答案: 【 1】
9、单选题:

选项:
A: 
B: 1
C: 2
D: 
E: 
答案: 【
】
10、单选题:
下列等式成立的是 .
选项:
A: 
B: 
C: 
D: 
答案: 【
】
1、判断题:

选项:
A: 正确
B: 错误
答案: 【 错误】
1、单选题:

选项:
A: 1
B: 0
C: -1
D: 2
答案: 【 0】
1、判断题:

选项:
A: 正确
B: 错误
答案: 【 正确】
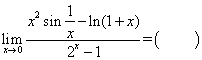
1、单选题:
时,
是
的___________________.
选项:
A: 同阶无穷小,但不是等价无穷小
B: 等价无穷小
C: 高阶无穷小
D: 低阶无穷小
答案: 【 等价无穷小】
2、单选题:
时,
是
的______________.
选项:
A: 同阶无穷小,但不是等价无穷小
B: 等价无穷小
C: 高阶无穷小
D: 低阶无穷小
答案: 【 同阶无穷小,但不是等价无穷小】
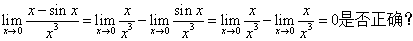
1、判断题:

选项:
A: 正确
B: 错误
答案: 【 正确】
2、判断题:

选项:
A: 正确
B: 错误
答案: 【 错误】
1、单选题:

选项:
A: 
B: 
C: 
D: 
答案: 【
】
1、单选题:

选项:
A: 第一类可去间断点.
B: 第一类跳跃间断点.
C: 第二类无穷间断点.
D: 第二类振荡间断点.
答案: 【 第一类跳跃间断点.】
1、判断题:

选项:
A: 正确
B: 错误
答案: 【 正确】
1、单选题:
已知函数f(x)的定义域为[0,4],则函数g(x)=f(x+1)-f(x-1)的定义域为( ).
选项:
A: [1,3]
B: [1,2]
C: [2,4]
D: [0,2]
答案: 【 [1,3]】
2、单选题:

选项:
A:
备案号:冀ICP备20010840号 2020-2099辉辉网络科技 All Rights Reserved