

1、填空题:

答案: 【 1.2647×10的负2次方,0.3965,5.200×10的负8次方】
1、单选题:
电导测定应用广泛,但下列问题中哪个是不能用电导测定来解决的?
选项:
A: 求难溶盐的溶解度
B: 求弱电解质的解离度
C: 求平均活度系数
D: 测电解质溶液的浓度
答案: 【 求平均活度系数】
1、单选题:

选项:
A: a± = aB
B: 
C: 
D: 
答案: 【
】
1、单选题:

选项:
A: 
B: 
C: 
D: 
答案: 【
】
1、单选题:
电解池中,阳极发生 作用,是 极。
选项:
A: 还原 、正
B: 还原 、负
C: 氧化 、正
D: 氧化、负
答案: 【 氧化 、正】
1、判断题:
通电于 HCl 溶液,在阴极上 H+放电电量等于通过溶液的总电量,所以 H+迁移的电量就等于它在阴极上放电的电量。
选项:
A: 正确
B: 错误
答案: 【 错误】
1、单选题:
离子电迁移率的单位可以表示成 ( )
选项:
A: 
B: 
C: 
D: 
答案: 【
】
1、单选题:
在 Hittorff 法测迁移数的实验中,用 Ag 电极电解 AgNO3溶液,测出在阳极部 AgNO3的浓度增加了 x mol,而串联在电路中的 Ag 库仑计上有 y mol 的 Ag 析出, 则Ag+离子迁移数为:
选项:
A: x/y
B: y/x
C: (x-y)/x
D: (y-x)/y
答案: 【 (y-x)/y 】
1、填空题:

答案: 【 0.825】
1、单选题:

选项:
A: k减小 , Lm增加
B: k增加 , Lm增加
C: k减小 , Lm减小
D: k增加 , Lm减小
答案: 【 k增加 , Lm减小】
1、单选题:
在HAc解离常数测定的实验中,总是应用惠斯顿电桥。作为电桥平衡点的指零仪器,结合本实验,不能选用的是: ( )
选项:
A: 耳机
B: 电导率仪
C: 阴极射线示波器
D: 直流桥流计
答案: 【 直流桥流计】
1、单选题:
法拉第电解定律限用于:( )
选项:
A: 液态电解质
B: 无机液态或固态电解质
C: 所有液态或固态电解质
D: 所有液态、固态导电物质
答案: 【 所有液态或固态电解质 】
1、单选题:
反应 A + BC → AB + C 的焓变 DrHm> 0,A ,C 是自由基,e AB ,e BC 是分子 AB,BC 的摩尔键焓。以下哪个关系式可以近似估算该反应的活化能 Ea?
选项:
A: 0.055e(AB)
B: 0.055e(AB)+ DrHm
C: 0.055e(BC)
D: 0.055e(BC) — DrHm
答案: 【 0.055e(AB)+ DrHm】
1、单选题:
氢和氧的反应发展为爆炸是因为:
选项:
A: 大量的引发剂的引发
B: 直链传递的速度增加
C: 自由基被消除
D: 生成双自由基形成支链
答案: 【 生成双自由基形成支链】
1、单选题:

选项:
A: 
B: 
C: 
D: 
答案: 【
】
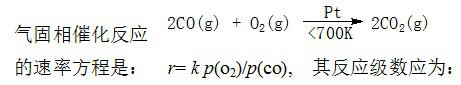
1、单选题:

选项:
A: 一级反应
B: 二级反应
C: 对 O2是一级,对 CO 是负一级
D: 级数不能确定
答案: 【 对 O2是一级,对 CO 是负一级】
1、单选题:
已知某反应的级数为一级,则可确定该反应一定是:
选项:
A: 简单反应
B: 单分子反应
C: 复杂反应
D: 上述都有可能
答案: 【 上述都有可能】
1、单选题:
A ─→ 产物 为一级反应,A 反应掉 3/4 所需时间为 A 反应掉 1/2 所需时间的:
选项:
A: 2倍
B: 3/2倍
C: 3倍
D: 不能确定
答案: 【 2倍】
1、单选题:
某二级反应 2A ─→ 产物 的半衰期与 A 的初始浓度的关系是:
选项:
A: 无关
B: 成正比
C: 成反比
D: 与初始浓度的平方成正比
答案: 【 成反比】
1、单选题:
零级反应的浓度与时间的线性关系是:
选项:
A: c~ t
B: lnc~ t
C: 1/c~ t
D: 以上均不成立
答案: 【 c~ t】
1、单选题:
若反应 A + B == C +D 正逆向均为二级反应, 则平衡常数 K 与正逆向速率常数k+ , k- 间的关系为:
选项:
A: K > k+/ k-
B: K < k+/k-
C: K=k+/k-
D: K 与 k+/ k- 关系不定
答案: 【 K 与 k+/ k- 关系不定】
1、单选题:
三级反应的速率常数的单位是:
选项:
A: 
B: 
备案号:冀ICP备20010840号 2020-2099辉辉网络科技 All Rights Reserved