

1、单选题:

选项:
A: 
B: 
C: 
D: 
答案: 【
】
2、多选题:
下列哪些场是矢量场?
选项:
A: 电场
B: 磁场
C: 温度场
D: 重力场
答案: 【 电场;
磁场 ;
重力场】
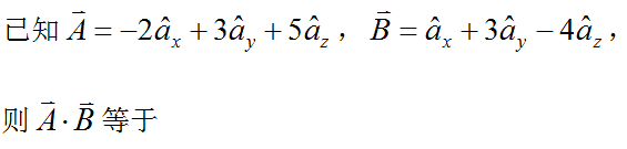
1、单选题:

选项:
A: 13
B: -13
C: 5
D: 8
答案: 【 -13】
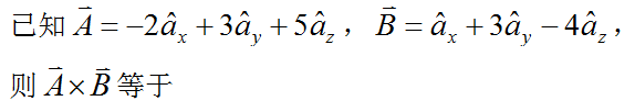
2、单选题:

选项:
A: 
B: 
C: 
D: 
答案: 【
】
3、多选题:
下面点积结果为 1 的有
选项:
A: 
B: 
C: 
D: 
答案: 【
;
】
4、多选题:
下列叉积结果为零的有
选项:
A: 
B: 
C: 
D: 
答案: 【
;
】
1、单选题:
下列矢量微分线元的表达式错误的是
选项:
A: 
B: 
C: 
D: 
答案: 【
】
2、多选题:
下列矢量微分面元的表达式正确的是
选项:
A: 
B: 
C: 
D: 
答案: 【
;
;
;
】
3、多选题:
下列微分体元的表达式正确的是
选项:
A: 
B: 
C: 
D: 
答案: 【
;
;
;
】
1、单选题:

选项:
A: 
B: 
C: 
D: 
答案: 【
】
2、判断题:
在直角坐标系中,三个坐标方向的单位矢量的方向是不变的,称为常矢量。
选项:
A: 正确
B: 错误
答案: 【 正确】
3、判断题:

选项:
A: 正确
B: 错误
答案: 【 正确】
4、判断题:

选项:
A: 正确
B: 错误
答案: 【 正确】
5、判断题:
不同坐标系下的两个矢量不能直接进行求和运算,需要变换到同一坐标系下进行求和运算。
选项:
A: 正确
B: 错误
答案: 【 正确】
1、单选题:

选项:
A: 
B: 
C: 
D: 
答案: 【
】
2、多选题:
下列梯度计算公式正确的是
选项:
A: 
B: 
C: 
D: 
答案: 【
;
;
】
3、多选题:
对标量场的梯度下列描述正确的是
选项:
A: 标量函数求梯度结果是一个矢量。
B: 某点梯度的大小和该点的方向导数大小相等。
C: 某点梯度的方向是该点所在等值面的法线方向。
D: 某点梯度的大小和该点最大方向导数的大小相等。
答案: 【 标量函数求梯度结果是一个矢量。;
某点梯度的方向是该点所在等值面的法线方向。;
某点梯度的大小和该点最大方向导数的大小相等。】
4、判断题:
标量函数的等值面是互不相交的。
选项:
A: 正确
B: 错误
答案: 【 正确】
1、单选题:

选项:
A: -2
B: 2
C: 0
D: 2z
答案: 【 2】
2、多选题:
矢量场中的带箭头的矢线称为场线,下列描述正确的是
选项:
A: 场线上每一点的切线方向代表了该点场矢量的方向
B: 场线也表示了场强的大小
C: 场线的疏密反映出场强的强弱分布
D: 矢量场的场线总是带箭头的闭合曲线
答案: 【 场线上每一点的切线方向代表了该点场矢量的方向;
场线的疏密反映出场强的强弱分布】
3、多选题:
下列散度计算公式正确的是
选项:
A: 
B: 
C: 
D: 
答案: 【
;
;
;
】
4、判断题:
一个矢量的散度是一个标量。
选项:
A: 正确
B: 错误
答案: 【 正确】
5、判断题:
矢量场中某点的散度是该点的通量密度。
选项:
A: 正确
B: 错误
答案: 【 正确】
1、单选题:

选项:
A: 
B: 
C: 
D: 
答案: 【
】
2、多选题:
一个矢量的旋度是一个新矢量,下列描述正确的是
选项:
A: 某点旋度的大小为该点的环量密度
B: 某点旋度的大小为该点最大的环量密度
C: 某点旋度的方向为该点获得最大环量密度的面元的法线方向
D: 某点旋度的方向为该点获得环量密度的面元的法线方向
答案: 【 某点旋度的大小为该点最大的环量密度;
某点旋度的方向为该点获得最大环量密度的面元的法线方向】
3、多选题:
下列旋度计算公式正确的是
选项:
A: 
B: 
C: 
D: 
答案: 【
;
;
;
】
4、判断题:
矢量场中的环量是一个标量,其大小和闭合曲线相对于场矢量的取向无关。
选项:
A: 正确
B: 错误
答案: 【 错误】
1、单选题:

选项:
A: 
B: 
C: 
D: 
答案: 【
】
2、判断题:
存在于电荷周围,能对其他电荷产生作用力的特殊的物质称为电场。可见电荷是产生电场的源。
选项:
A: 正确
B: 错误
答案: 【 正确】
3、判断题:
单位正电荷在电场中某点受到的作用力称为该点的电场强度。
选项:
A: 正确
B: 错误
答案: 【 正确】
4、判断题:
库伦定律描述的是两点电荷之间的作用力的定量计算。
选项:
A: 正确
B: 错误
答案: 【 正确】
5、判断题:
点电荷产生的电场强度的大小与点电荷的电量成正比,与电荷源到场点的距离的平方成反比。
选项:
A: 正确
B: 错误
答案: 【 正确】
6、判断题:
多个点电荷产生的电场中,某点的电场强度为每一点电荷在该点产生的电场强度的矢量和,即电场服从叠加原理。
选项:
A: 正确
B: 错误
答案: 【 正确】
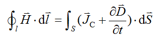
1、单选题:
下列麦克斯韦方程表达式错误的是
选项:
A: 
B: 
C: 
D: 
答案: 【
】
2、多选题:
用麦克斯韦方程的积分形式解题时,常利用场的某种对称性,下列结果哪些是正确的
选项:
A: 
B: 

C: 
D: 
答案: 【
备案号:冀ICP备20010840号 2020-2099辉辉网络科技 All Rights Reserved