

1、单选题:
设A表示事件”甲种产品畅销,乙种产品滞销”,则其对立事件
为
选项:
A: 甲种产品滞销,乙种产品畅销
B: 甲乙两种产品均畅销
C: 甲乙两种产品均滞销
D: 甲种产品滞销或乙种产品畅销
答案: 【 甲种产品滞销或乙种产品畅销】
2、判断题:
若事件A与B互斥,则A与B一定相互独立
选项:
A: 正确
B: 错误
答案: 【 错误】
3、判断题:
对于任意两个事件A、B,必有
选项:
A: 正确
B: 错误
答案: 【 错误】
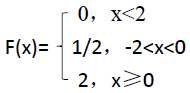
1、单选题:
如下四个函数哪个是随机变量X的分布函数
选项:
A: 
B: 
C: 
D: 
答案: 【
备案号:冀ICP备20010840号 2020-2099辉辉网络科技 All Rights Reserved