

1、单选题:

选项:
A: 
B: 
C: 
D: 
答案: 【
】
2、单选题:

选项:
A: 
B: 
C: 
D: 
答案: 【
】
3、单选题:

选项:
A: 
B: 
C: 
D: 
答案: 【
】
4、单选题:

选项:
A: 
B: 
C: 
D: 
答案: 【
】
5、判断题:

选项:
A: 正确
B: 错误
答案: 【 错误】
1、单选题:

选项:
A: 必要条件
B: 充分条件
C: 充要条件
D: 既非必要又非充分条件
答案: 【 必要条件】
2、单选题:

选项:
A: 
B: 
C: 
D: 
答案: 【
】
3、单选题:

选项:
A: 必要条件
B: 充分条件
C: 充要条件
D: 既非必要又非充分条件
答案: 【 既非必要又非充分条件】
4、单选题:

选项:
A: 
B: 
C: 
D: 
答案: 【
】
1、单选题:

选项:
A: 
B: 
C: 
D: 
答案: 【
】
2、单选题:

选项:
A: 
B: 
C: 
D: 
答案: 【
】
3、单选题:

选项:
A: 
B: 
C: 
D: 
答案: 【
】
4、单选题:

选项:
A: 
B: 
C: 
D: 不存在
答案: 【
】
5、单选题:

选项:
A: 
B: 
C: 
D: 
答案: 【
】
1、单选题:

选项:
A: 收敛
B: 发散
C: 可能收敛也可能发散
D:
答案: 【 可能收敛也可能发散】
2、单选题:

选项:
A: 
B: 
C: 
D: 
答案: 【
】
3、单选题:

选项:
A: 
B: 
C: 
D: 不存在
答案: 【
】
4、单选题:

选项:
A: 收敛
B: 发散
C: 可能收敛也可能发散
D:
答案: 【 可能收敛也可能发散】
5、单选题:

选项:
A: 充分
B: 必要
C: 充分必要
D: 既非充分也非必要
答案: 【 充分】
1、单选题:

选项:
A: 
B: 
C: 
D: 
答案: 【
】
2、单选题:

选项:
A: 
B: 
C: 
D: 
答案: 【
】
3、单选题:

选项:
A: 无穷大量
B: 无穷小量
C: 无界,但非无穷大量
D: 有界,而未必是无穷小量
答案: 【 无穷小量】
4、单选题:

选项:
A: 
B: 
C: 
D: 
答案: 【
】
5、判断题:

选项:
A: 正确
B: 错误
答案: 【 正确】
6、判断题:

选项:
A: 正确
B: 错误
答案: 【 错误】
1、单选题:

选项:
A: 
B: 
C: 
D: 
答案: 【
】
2、单选题:

选项:
A: 
B: 
C: 
D: 
答案: 【
】
3、单选题:

选项:
A: 存在
B: 不存在
C: 可能存在也可能不存在
D:
答案: 【 可能存在也可能不存在】
4、单选题:


选项:
A: 
B: 
C: 
D: 
答案: 【
】
5、判断题:

选项:
A: 正确
B: 错误
答案: 【 正确】
1、单选题:

选项:
A: 
B: 
C: 
D: 
答案: 【
】
2、单选题:

选项:
A: 
B: 
C: 
D: 不存在
答案: 【
】
3、单选题:

选项:
A: 
B: 
C: 
D: 
答案: 【
】
4、单选题:

选项:
A: 
B: 
C: 
D: 
答案: 【
】
5、单选题:

选项:
A: 
B: 
C: 
D: 
答案: 【
】
6、单选题:

选项:
A: 
B: 
C: 
D: 不存在
答案: 【
】
7、单选题:

选项:
A: 
B: 
C: 不存在
D: 
答案: 【
】
8、单选题:

选项:
A: 
B: 
C: 
D: 
答案: 【
】
9、单选题:

选项:
A: 
B: 
C: 
D: 
答案: 【
】
10、单选题:

选项:
A: 
B: 
C: 
D: 
答案: 【
】
11、单选题:

选项:
A: 
B: 
C: 
D: 
答案: 【
】
12、单选题:

选项:
A: 不存在
B: 
C: 
D: 
答案: 【 不存在】
13、单选题:

选项:
A: 
B: 
C: 
D: 
答案: 【
】
14、单选题:

选项:
A: 不存在
B: 
C: 
D: 
答案: 【 不存在】
15、单选题:

选项:
A: 
B: 
C: 
D: 不存在
答案: 【
】
16、单选题:

选项:
A: 
B: 
C: 
D: 不存在
答案: 【
】
17、单选题:

选项:
A: 
B: 
C: 
D: 不存在
答案: 【
】
18、单选题:

选项:
A: 无穷大数列必是无界数列
B: 有界数列一定有极限
C: 无界数列一定是无穷大量
D: 无界数列未必发散
答案: 【 无穷大数列必是无界数列】
19、单选题:

选项:
A: 
B: 
C: 
D: 不存在
答案: 【
】
1、单选题:

选项:
A: 
B: 
C: 
D: 
答案: 【
】
2、单选题:

选项:
A: 无界,但非无穷大量
B: 无穷大量
C: 无穷小量
D: 有界变量
答案: 【 无界,但非无穷大量】
3、单选题:

选项:
A: 
B: 
C: 
D: 
答案: 【
】
4、单选题:

选项:
A: 
B: 
C: 
D: 
答案: 【
】
5、单选题:

选项:
A: 
B: 
C: 
D: 
答案: 【
】
6、单选题:

选项:
A: 
B: 
C: 
D: 不存在
答案: 【
】
7、单选题:

选项:
A: 
B: 
C: 
D: 
答案: 【
】
8、单选题:

选项:
A: 可能存在也可能不存在
B: 存在
C: 不存在
D:
答案: 【 可能存在也可能不存在】
9、单选题:

选项:
A: 
B: 
C: 
D: 
答案: 【
】
10、单选题:

选项:
A: 
B: 
C: 不存在
D: 以上都不对
答案: 【
】
11、判断题:

选项:
A: 正确
B: 错误
答案: 【 正确】
12、判断题:

选项:
A: 正确
B: 错误
答案: 【 错误】
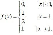
1、单选题:

选项:
A: 连续点
B: 可去间断点
C: 跳跃间断点
D: 振荡间断点
答案: 【 跳跃间断点】
2、单选题:

选项:
A: 连续
B: 右连续,左不连续
C: 左连续,右不连续
D: 左右都不连续
答案: 【 右连续,左不连续】
3、单选题:

选项:
A: 
B: 
C: 
D: 
答案: 【
】
4、单选题:

选项:
A: 必要条件
B: 充分条件
C: 充要条件
D: 无关条件
答案: 【 充分条件】
5、单选题:

选项:
A: 
B: 
C: 
D: 
答案: 【
】
1、单选题:

选项:
A: 
B: 
C: 
D: 
答案: 【
】
2、单选题:

选项:
A: 同阶无穷小,但不是等价无穷小
B: 等价无穷小
C: 高阶无穷小
D: 低阶无穷小
答案: 【 同阶无穷小,但不是等价无穷小】
3、单选题:

选项:
A: 
B: 
C: 
D: 
答案: 【
】
4、单选题:
当
时,
,
都是无穷小,则当
时,下列哪个式子不一定是无穷小.
选项:
A: 
B: 
C: 
D: 
答案: 【
】
5、单选题:

选项:
A: 等价
B: 高阶
C: 低阶
D: 同阶非等价
答案: 【 同阶非等价】
1、单选题:

选项:
A: 
B: 
C: 
D: 
答案: 【
】
2、单选题:

选项:
A: 
B: 
C: 
D: 
答案: 【
】
3、单选题:

选项:
A: 
B: 
C: 
D: 不存在
答案: 【
】
4、单选题:

选项:
A: 
B: 
C: 
D: 
答案: 【
】
5、单选题:

选项:
A: 
B: 
C: 
D: 
答案: 【
】
1、单选题:
备案号:冀ICP备20010840号 2020-2099辉辉网络科技 All Rights Reserved