

1、单选题:
人感知的力主要可从 ( ) 来分类。
选项:
A: 动物、植物、生物、非动/植/生物
B: 性质、效果、分析、物质界与非物质界
C: 有机物与无机物、效果、物质界与非物质界
D: 视觉、听觉、触觉、嗅觉;
答案: 【 性质、效果、分析、物质界与非物质界】
2、单选题:
合力、重力、阻力分别是从力的 ( ) 定义的
选项:
A: 性质、效果、分析
B: 分析、性质、效果
C: 效果、分析、性质
D: 性质、分析、效果
答案: 【 分析、性质、效果】
3、单选题:
《道德经》中关于天、地、人、自然之间的关系描述是 ( )
选项:
A: 人法地, 地法天, 天法道, 道法自然
B: 天法地, 地法人,人法道, 道法自然
C: 地法人, 人法天,天法自然,自然法道
D: 道法人, 人法地,地法天,天法自然
答案: 【 人法地, 地法天, 天法道, 道法自然】
4、单选题:
中华宇宙的定义是 ( )
选项:
A: 从浑沌中产生出秩序来
B: “宇”指东西南北、四面八方的空间,用“宙”来指古往今来的时间
C: 无始无终、无边无际
D: 一切空间、时间、物质、能量的总称,不依人意志客观存在,并处于不断运动和进化中
答案: 【 “宇”指东西南北、四面八方的空间,用“宙”来指古往今来的时间】
5、单选题:
宇宙的形状是 ( )
选项:
A: 球形的
B: 马鞍形的
C: 平坦的
D: 尚不知晓
答案: 【 尚不知晓】
6、单选题:
目前“宇宙理论模型”推测宇宙的寿命是 ( )
选项:
A: 150亿年左右
B: 300亿年左右
C: 100亿年左右
D: 不确定
答案: 【 300亿年左右 】
7、单选题:
目前,天文学界普遍接受的宇宙形成的理论是 ( )
选项:
A: 弦理论
B: 相对论
C: 大爆炸理论
D: 大统一理论
答案: 【 大爆炸理论 】
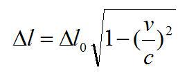
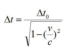
8、单选题:
爱因斯坦的“时间延缓效应”公式是 ( )
选项:
A: 
B: 
C: 
D: 
答案: 【
】
9、单选题:
物质界的速度极限是( )
选项:
A: 1万公里/秒
B: 秒差距/秒
C: 30万公里/秒
D: 1光年/秒
答案: 【 30万公里/秒 】
10、单选题:
引力波是一种 ( )
选项:
A: 在宇宙中蔓延的微小的原始波动
B: 黑洞辐射
C: 相对论效应
D: 超弦
答案: 【 在宇宙中蔓延的微小的原始波动 】
11、单选题:
目前“粒子物理学标准模型”预测的基本粒子有 ( ) 种
选项:
A: 32
B: 46
C: 54
D: 60
答案: 【 54】
12、单选题:
现有《量子力学》研究所涉及的量子的‘线度’是 ( )
选项:
A: 
B: 
C: 
D: 
答案: 【
】
13、单选题:
地球与太阳的质量关系是 ( )
选项:
A: 1个太阳
13万个地球
B: 1个太阳
23万个地球
C: 1个太阳
33万个地球
D: 1个太阳
43万个地球
答案: 【 1个太阳
33万个地球 】
14、单选题:
根据霍金的《黑洞与时间弯曲》,黑洞的大小至少为( )
选项:
A: 
B: 
C: 
D: 
答案: 【
】
1、单选题:
四种基本相互作用力的强弱顺序是 ( )。
选项:
A: 万有引力>强相互作用力>电磁力>弱相互作用力;
B: 万有引力<弱相互作用力<电磁力<强相互作用力;
C: 强相互作用力>万有引力>电磁力>弱相互作用力;
D: 电磁力>万有引力>强相互作用力>弱相互作用力;
答案: 【 万有引力<弱相互作用力<电磁力<强相互作用力; 】
2、单选题:
诸如摩擦力、拉力和弹力之类的机械力属于 ( )。
选项:
A: 万有引力;
B: 弱相互作用力;
C: 强相互作用力;
D: 电磁力;
答案: 【 电磁力;】
3、单选题:
四种基本相互作用力的‘力程’属于“长程”的作用力是 ( )。
选项:
A: 万有引力、弱相互作用力;
B: 弱相互作用力、强相互作用力;
C: 强相互作用力、电磁力;
D: 万有引力、电磁力;
答案: 【 万有引力、电磁力;】
4、单选题:
电磁力是由 ( ) 携带的。
选项:
A: 胶子;
B: 光子;
C: 重力子;
D: W粒子和Z粒子;
答案: 【 光子; 】
5、单选题:
“大统一理论”是 ( )。
选项:
A: 弦理论;
B: 量子场论;
C: 尚未找到的科学终极理论;
D: 超弦理论;
答案: 【 尚未找到的科学终极理论; 】
6、单选题:
“弦理论”认为,物质基本单元是 ( )。
选项:
A: 静空子、游空子;
B: 波色子;
C: 弦子;
D: 夸克层级的粒子;
答案: 【 弦子; 】
7、单选题:
根据“宇宙大爆炸理论”,宇宙诞生的起始时间–人类可观测的最小时间是 ( )。
选项:
A: 
B: 
C: 
D: 
答案: 【
】
8、单选题:
号称为“上帝的粒子”—玻色子的质量是 ( )。
选项:
A: 96.7GeV;
B: 110.6GeV;
C: 126.5GeV;
D: 134.9GeV;
答案: 【 126.5GeV; 】
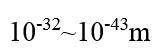
9、单选题:
人类可观测的最小尺寸—普朗克长度是 ( )。
选项:
A: 
B: 
C: 
D: 
答案: 【
】
10、单选题:
《量子力学》中的“测不准原理”是指 ( )。
选项:
A: 量子的速度测不准;
B: 量子的速度和位置同时测不准;
C: 量子的位置测不准;
D: 量子的速度和位置不能同时测准;
答案: 【 量子的速度和位置不能同时测准;】
11、单选题:
《量子力学》认为‘量子’具有 ( )。
选项:
A: 波动性;
B: 粒子性;
C: 波、粒二相性;
D: 确定性;
答案: 【 波、粒二相性; 】
12、单选题:
现代生活中,我们关注的“牛顿力世界”主要涉及的作用力属于 ( )。
选项:
A: 电磁力;
B: 万有引力;
C: 强相互作用力;
D: 弱相互作用力;
答案: 【 电磁力; 】
13、单选题:
《静力学》、《动力学》涉及的力F随时间t分别是 ( )的。
选项:
A: 不变、不变;
B: 线性变化、线性变化;
C: 不变、变化;
D: 非线性变化、非线性变化;
答案: 【 不变、变化; 】
14、单选题:
台风、龙卷风来了分别要 ( C ) 门窗。
选项:
A: 关闭、关闭;
B: 打开、打开;
C: 打开、关闭;
D: 关闭、打开;
答案: 【 关闭、打开;】
15、单选题:
“微风”吹垮Tacoma大桥是因为 ( ) 。
选项:
A: 风级太大;
B: 卡门涡街;
C: 大桥不够坚固;
D: 斜拉索不适于该桥;
答案: 【 卡门涡街; 】
1、单选题:
力学发展三个重要阶段:古代、近代、现代力学的时间节点是 ( )。
选项:
A: 远古-5世纪、中世纪、16世纪-今;
B: 远古-中世纪、17-19世纪、20世纪-今;
C: 远古-1687前、1687-1900、1900-今;
D: 远古–6世纪、16世纪-19世纪、20世纪-今;
答案: 【 远古-1687前、1687-1900、1900-今; 】
2、单选题:
牛顿时代、麦克斯韦电动力学时代和狄拉克量子时代分别由 ( ) 这3个基本常数表征。
选项:
A: 万有引力常数G、真空光速c、普朗克常数;
B: 普朗克常数、万有引力常数G、真空光速c;
C: 真空光速c、普朗克常数、万有引力常数G;
D: 电子质量me、万有引力常数G、真空光速c;
答案: 【 万有引力常数G、真空光速c、普朗克常数;】
3、单选题:
与现代科技最为相通的四大文明是 ( ) 。
选项:
A: 中华文明;
B: 希腊文明;
C: 古罗马文明;
D: 伊斯兰文明;
答案: 【 希腊文明; 】
4、单选题:
近500年科技发展六时代中首时代的最重要檄文是 ( )。
选项:
A: 《天体运行论》;
B: 《关于托勒密和哥白尼两大世界体系的对话》;
C: 《自然哲学的数学原理》;
D: 《论动体的电动力学》;
答案: 【 《自然哲学的数学原理》; 】
5、单选题:
科技发展的2次大飞跃分别是 ( )。
选项:
A: 牛顿力学、电动力学建立;
B: 牛顿力学、相对论建立;
C: 牛顿力学、量子力学建立;
D: 相对论、IT技术理论建立;
答案: 【 牛顿力学、相对论建立; 】
6、单选题:
人类历史上曾经对世界科技发展贡献率最高达71%的国家是 ( )。
选项:
A: 美国; &nb
备案号:冀ICP备20010840号 2020-2099辉辉网络科技 All Rights Reserved