

1、单选题:
分布在物体体积内的力叫做:
选项:
A: 体力
B: 面力
C: 应力
D: 集中力
答案: 【 体力】
2、单选题:
分布在物体表面上的力叫做:
选项:
A: 体力
B: 面力
C: 应力
D: 集中力
答案: 【 面力】
3、单选题:
形变是指:
选项:
A: 应变
B: 变形
C: 变形或者应变
D: 伸长量
答案: 【 应变】
4、单选题:
认为构成材料的物质密实的充满整个物体体积的假设是:
选项:
A: 连续性假设
B: 完全弹性假设
C: 均匀性假设
D: 各向同性假设
E: 小变形假设
答案: 【 连续性假设】
5、单选题:
认为整个物体是由同一材料组成的,这个假设是:
选项:
A: 连续性假设
B: 完全弹性假设
C: 均匀性假设
D: 各向同性假设
E: 小变形假设
答案: 【 均匀性假设】
6、单选题:
认为物体的弹性在各个方向都相同,物体的弹性常数不随方向而变,这个假设是:
选项:
A: 连续性假设
B: 完全弹性假设
C: 均匀性假设
D: 各向同性假设
E: 小变形假设
答案: 【 各向同性假设】
7、单选题:
物体所有各点的位移都远远小于物体原来的尺寸,这个假设是:
选项:
A: 连续性假设
B: 完全弹性假设
C: 均匀性假设
D: 各向同性假设
E: 小变形假设
答案: 【 小变形假设】
8、单选题:
平面问题独立的基本未知量有多少个?
选项:
A: 6
B: 7
C: 8
D: 9
答案: 【 8】
9、单选题:
平衡微分方程建立起来的是()之间的微分关系。
选项:
A: 应力分量和体力分量之间
B: 应变分量和体力分量之间
C: 位移分量和体力分量之间
D: 应力和应变分量之间
答案: 【 应力分量和体力分量之间】
10、单选题:
几何方程建立起来的是()之间的微分关系。
选项:
A: 应力分量之间
B: 应变分量与位移分量之间
C: 位移分量之间
D: 应力和应变分量之间
答案: 【 应变分量与位移分量之间】
11、单选题:
物理方程建立起来的是()的关系。
选项:
A: 应力分量之间
B: 应变分量之间
C: 位移分量之间
D: 应力和应变分量之间
答案: 【 应力和应变分量之间】
12、单选题:
平衡方程是()方程
选项:
A: 偏微分方程
B: 代数方程
C: 微分方程或者代数方程
D: 常微分方程
答案: 【 偏微分方程】
13、单选题:
直角坐标系下,平面问题的几何方程是()方程
选项:
A: 偏微分方程
B: 代数方程
C: 微分方程或者代数方程
D: 常微分方程
答案: 【 偏微分方程】
14、单选题:
全应力可以分解为正应力和切应力,正应力是()
选项:
A: 大于零的应力
B: 非负的应力
C: 垂直于截面的应力
D: 平行于表面的应力
答案: 【 垂直于截面的应力】
15、单选题:
切应变正负号怎么规定?
选项:
A: 拉为正
B: 压为负
C: 直角增大为正
D: 直角减小为正
答案: 【 直角减小为正】
16、单选题:
关于体力和面力的描述,正确的说法是()
选项:
A: 体力和面力都是矢量
B: 体力是矢量,面力是标量
C: 体力是标量,面力是矢量
D: 体力和面力都是标量
答案: 【 体力和面力都是矢量】
17、多选题:
以下属于理想弹性体假设的是:
选项:
A: 连续性假设
B: 完全弹性假设
C: 均匀性假设
D: 各向同性假设
E: 小变形假设
答案: 【 连续性假设;
完全弹性假设;
均匀性假设;
各向同性假设】
18、多选题:
给定截面上,应力和内力的关系是
选项:
A: 应力是内力的分布体现
B: 内力就是应力
C: 内力相同时,应力可以不相同
D: 应力相同时,内力可以不同
E: 内力和应力没有关联
答案: 【 应力是内力的分布体现;
内力相同时,应力可以不相同】
19、多选题:
平面问题的基本未知量可以分类为:
选项:
A: 应力分量
B: 应变分量
C: 位移分量
D: 边界条件
答案: 【 应力分量;
应变分量;
位移分量】
20、多选题:
在推导平衡微分方程时,用到了哪两个基本假设?
选项:
A: 连续性假设
B: 完全弹性假设
C: 均匀性假设
D: 各向同性假设
E: 小变形假设
答案: 【 连续性假设;
小变形假设】
21、多选题:
弹性力学的任务与下列哪门课程相同:
选项:
A: 理论力学
B: 材料力学
C: 结构力学
D: 流体力学
答案: 【 材料力学;
结构力学】
22、判断题:
平面应力问题和平面应变问题的未知量都是相同的
选项:
A: 正确
B: 错误
答案: 【 错误】
23、判断题:
均匀性假设和各向同性假设是等价的
选项:
A: 正确
B: 错误
答案: 【 错误】
24、判断题:
单元体的两个相邻侧面上,切应力必然相等
选项:
A: 正确
B: 错误
答案: 【 错误】
25、判断题:
正应力一定大于零
选项:
A: 正确
B: 错误
答案: 【 错误】
26、判断题:
弹性力学、材料力学、结构力学三门课程的任务相同,所以其研究方法也相同。
选项:
A: 正确
B: 错误
答案: 【 错误】
27、判断题:
材料力学和弹性力学的正应力正负号规定是相同的
选项:
A: 正确
B: 错误
答案: 【 正确】
28、判断题:
材料力学和弹性力学的切应力正负号规定是相同的
选项:
A: 正确
B: 错误
答案: 【 错误】
29、判断题:
平面应力问题和平面应变问题非零未知量的个数并不相同。
选项:
A: 正确
B: 错误
答案: 【 正确】
30、判断题:
平面应力和平面应变问题都是特殊的空间问题
选项:
A: 正确
B: 错误
答案: 【 正确】
1、单选题:
关于平衡微分方程说法正确的是:
选项:
A: 平衡微分方程与弹性体性质有关
B: 平衡微分方程建立了应力分量与体力分量间的微分关系
C: 平衡微分方程建立了应变分量与应力分量间的微分关系
D: 平衡微分方程建立了应力分量间的代数关系。
答案: 【 平衡微分方程建立了应力分量与体力分量间的微分关系】
1、单选题:
关于平面应力与平面应变问题的陈述,错误的是哪个?
选项:
A: 平面应力问题和平面应变问题的未知量都是8个。
B: 平面应力和平面应变问题都是特殊的空间问题。
C: 平面应力问题中,沿第三个方向(一般是轴线方向)的应力分量都等于零。
D: 平面应变问题中,沿第三个方向(一般是轴线方向)的应变分量都等于零。
答案: 【 平面应力问题和平面应变问题的未知量都是8个。】
1、多选题:
有关几何方程的正确说法有:
选项:
A: 几何方程与弹性体的弹性常数无关
B: 几何方程是微分方程
C: 几何方程建立了应变分量与位移分量间的关系
D: 几何方程是代数方程
答案: 【 几何方程与弹性体的弹性常数无关;
几何方程是微分方程;
几何方程建立了应变分量与位移分量间的关系】
1、单选题:
体力和面力的量纲是否一样?
选项:
A: 不一样
B: 一样
C: 有时一样,有时不一样
D: 两个力学量量纲都是1
答案: 【 不一样】
1、多选题:
下列哪些构件可以在弹性力学课程范围内研究?
选项:
A: 材料力学中研究的梁
B: 深梁(梁的高跨比超过1/5,材料力学无法研究)
C: 薄板问题
D: 坝体
答案: 【 材料力学中研究的梁;
深梁(梁的高跨比超过1/5,材料力学无法研究);
薄板问题;
坝体】
1、单选题:
对于处于平面应力状态的一点处的两个主应力σ1与σ2,以下描述正确的是:
选项:
A: σ1+σ2=σx+σy
B: σ1=σ2
C: σ1+σ2=0
D: σ1=σ2=0
答案: 【 σ1+σ2=σx+σy】
2、单选题:
对于平面问题,为了完全确定位移,需要( )个适当的刚体约束来求出刚体位移。
选项:
A: 3
B: 1
C: 2
D: 4
答案: 【 3】
3、单选题:
在平面应变问题中,以下哪一项为零?
选项:
A: εz
B: σx
C: σy
D: σz
答案: 【 εz】
4、单选题:

选项:
A: 
B: 
C: 
D: 
答案: 【
】
5、单选题:

选项:
A: 
B: 
C: 
D: 
答案: 【
】
6、单选题:

选项:
A: 
B: 
C: 
D: 
答案: 【
】
7、单选题:
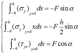
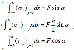
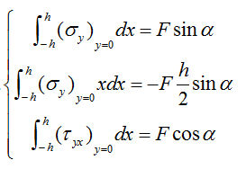
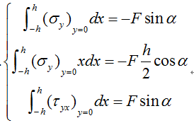
平面应力状态下,若某点的两个主应力分别为
和
,且满足
,则该点在此平面状态内的最大切应力大小为
选项:
A: 
B: 
C: 
D: 
答案: 【
】
8、多选题:
下面关于物理方程的描述,正确的是()
选项:
A: 建立起应力和应变之间关系
B: 可以用应力表示应变,也可以用应变表示应力
C: 对理想弹性体而言,物理方程实际上就是广义胡克定律
D: 平面应力问题和平面应变问题的物理方程是相同的
答案: 【 建立起应力和应变之间关系;
可以用应力表示应变,也可以用应变表示应力;
对理想弹性体而言,物理方程实际上就是广义胡克定律】
9、多选题:
下面关于边界条件的描述,正确的是( )。
选项:
A: 边界条件是求解弹性力学问题的重要条件
B: 边界条件有应力边界条件和位移边界条件
C: 在弹性体的一个几何边界面上,应力边界条件和位移边界条件不能同时提出
D: 次要边界上,可以不必考虑边界条件
答案: 【 边界条件是求解弹性力学问题的重要条件;
边界条件有应力边界条件和位移边界条件】
10、多选题:
关于圣维南原理,正确的描述是()
选项:
A: 圣维南原理只能应用于次要边界
B: 圣维南原理只能应用于主要边界
C: 圣维南原理主要解决小边界(次要边界)上的边界条件问题
D: 圣维南原理可以在任意边界上使用
答案: 【 圣维南原理只能应用于次要边界;
圣维南原理主要解决小边界(次要边界)上的边界条件问题】
11、多选题:
圣维南原理中提到的面力静力等效是什么意思?()
选项:
A: 向同一点简化时,得到的主矢和主矩都对应相等
B: 简化中心的位置可根据需要改变
C: 向任意点简化的结果都等于零
D: 向不同点简化的主矩不变
答案: 【 向同一点简化时,得到的主矢和主矩都对应相等;
简化中心的位置可根据需要改变】
12、判断题:
在过一点的主应力平面上,切应力等于零。
选项:
A: 正确
B: 错误
答案: 【 正确】
13、判断题:
平面内一点处不同方向中的最大正应力与最小正应力是该点的两个主应力。
选项:
A: 正确
B: 错误
答案: 【 正确】
14、判断题:
当物体的位移分量完全确定时,应变分量即完全确定。
选项:
A: 正确
B: 错误
答案: 【 正确】
15、判断题:
当物体的应变分量完全确定时,位移分量即完全确定。
选项:
A: 正确
B: 错误
答案: 【 错误】
16、判断题:
平面应力问题与平面应变问题的物理方程完全相同。
选项:
A: 正确
B: 错误
答案: 【 错误】
17、判断题:

选项:
A: 正确
B: 错误
答案: 【 正确】
18、判断题:
弹性模量E,切变模量G与泊松比μ之间的关系为
选项:
A: 正确
B: 错误
答案: 【 错误】
19、判断题:
在平面应力问题物理方程中只需将E换为
,μ换为
,即可得到平面应变问题的物理方程。
选项:
A: 正确
B: 错误
答案: 【 错误】
20、判断题:
边界条件表示边界上位移与约束,或应力与面力之间的关系。
选项:
A: 正确
B: 错误
答案: 【 正确】
21、判断题:
应力分量与面力分量分别作用于边界点的不同面上,但二者正负号规定相同。
选项:
A: 正确
B: 错误
答案: 【 错误】
22、判断题:
应力边界条件中不包括体力项。
选项:
A: 正确
B: 错误
答案: 【 正确】
23、判断题:
圣维南原理可应用于大边界和小边界。
选项:
A: 正确
B: 错误
答案: 【 错误】
24、判断题:
在次要边界上,通过静力等效变化面力分布时,距该边界较近和较远处的应力分布均会发生显著的改变。
选项:
A: 正确
B: 错误
答案: 【 错误】
25、判断题:
如果物体一小部分边界上的面力是一个平衡力系(主矢量及主矩都等于零),那么这个面力就只会使近处产生显著的应力,而远处的应力可以不计。
选项:
A: 正确
B: 错误
答案: 【 正确】
26、判断题:
能提供应力边界条件的边界上,不能再提供位移边界条件。
选项:
A: 正确
B: 错误
答案: 【 错误】
1、多选题:
有关边界条件的描述,正确的是?
选项:
A: 弹性力学的边界条件,就相当于数学中的初、边值问题
B: 弹性力学的边界条件有应力的、有位移的,也有混合的
C: 边界条件有无穷多个
D: 每一个确定的弹性力学问题,都离不开其特定的边界条件
答案: 【 弹性力学的边界条件,就相当于数学中的初、边值问题;
弹性力学的边界条件有应力的、有位移的,也有混合的;
每一个确定的弹性力学问题,都离不开其特定的边界条件】
1、判断题:
弹性体发生刚体位移后,弹性体内不会产生应变()
选项:
A: 正确
B: 错误
答案: 【 正确】
1、单选题:
圣维南原理的应用范围
选项:
A: 只能应用于小边界(次要边界)
B: 什么样的边界均可应用
C: 应用时可不考虑静力平衡问题
D: 只使用于大边界(主要边界)
答案: 【 只能应用于小边界(次要边界)】
1、单选题:
平面问题有几个主应力?
选项:
A: 有3个,其中一个主应力永远等于0
B: 有3个
C: 只有2个
D: 说不清楚
答案: 【 有3个】
1、判断题:
物理方程与弹性体的弹性常数无关
选项:
A: 正确
B: 错误
答案: 【 错误】
1、单选题:
弹性力学平面问题共有( )个基本待求未知变量(函数)?
选项:
A: 8
B: 6
C: 7
D: 9
答案: 【 8】
2、单选题:
利用应力法求解弹性力学平面问题,需要以( )为基本未知函数。
选项:
A:
,
,
B:
C:
,

D: u v
答案: 【
,
,
】
3、单选题:
常体力下,应力分量
,
,
可否存在于单连体内?
选项:
A: 不能
B: 能
C: 无法判断
D: 还需要考察边界条件
答案: 【 不能】
4、单选题:


选项:
A: 
B: 
C: 
D: 
答案: 【
】
5、单选题:
若以部分应力分量和某一位移为未知量求解弹性力学问题的方法叫()
选项:
A: 混合法
B: 按位移求解
C: 按应力求解
D: 以上都对
答案: 【 混合法】
6、单选题:
弹性体的某边界上可以同时提供应力条件和位移条件,则这样的边界条件称为()
选项:
A: 应力边界条件
B: 位移边界条件
C: 混合边界条件
D: 这样的边界不存在
答案: 【 混合边界条件】
7、单选题:
若通过验证
可以解决偏心拉伸问题,然后利用边界条件将系统
、
及对应的应力分量确定,此法是( )?
选项:
A: 半逆解法
B: 逆解法
C: 混合解法
D: 位移解法
答案: 【 逆解法】
8、多选题:
弹性力学平面问题中的所有未知函数必须满足求解域内的:
选项:
A: 平衡微分方程
B: 几何方程
C: 物理方程
D: 边界条件
答案: 【 平衡微分方程;
几何方程;
物理方程;
边界条件】
9、多选题:
不计体力情况下,若应力分量
,
,
能在单连体中存在,则其中的待定系数应满足:
选项:
A: A=-F
B: D=-E
C: F=-E
D: B=-E
答案: 【 A=-F;
D=-E】
10、多选题:
假设函数C和D满足
,则一定存在某一函数f,使得:
选项:
A: 
B: 
C: 
D: 
答案: 【
;
】
11、多选题:
下列求解域为单连体的是:
选项:
A: 
B: 
C: 
D: 
答案: 【&n
备案号:冀ICP备20010840号 2020-2099辉辉网络科技 All Rights Reserved