

1、填空题:

答案: 【 B】
1、填空题:
在任何温度、压力条件下,理想气体的压缩因子恒为( )。 (填入具体数值,阿拉伯数字)
答案: 【 1】
1、单选题:

选项:
A:
B:
C:
D:
答案: 【 】
1、单选题:

选项:
A:
B:
C:
D:
答案: 【 】
1、单选题:

选项:
A:
B:
C:
D:
答案: 【 】
1、单选题:

选项:
A:
B:
C:
D:
答案: 【 】
1、单选题:

选项:
A: = 0
B: > 0
C: < 0
D: 无法确定
答案: 【 = 0】
2、单选题:
一定量的某理想气体,当系统的( )确定时,系统的状态即确定。
选项:
A: p
B: V
C: T,U
D: T,p
答案: 【 T,p】
3、单选题:

选项:
A: > 0
B: < 0
C: = 0
D: 无法确定
答案: 【 < 0】
4、单选题:

选项:
A: > 0
B: = 0
C: < 0
D: 无法确定
答案: 【 > 0】
5、单选题:

选项:
A: > 0
B: = 0
C: < 0
D: 无法确定
答案: 【 = 0 】
6、单选题:
在一保温良好、门窗紧闭的房间内,放有电冰箱,若将电冰箱门打开,不断向冰箱供给电能,室内的温度将( )。
选项:
A: 逐渐降低
B: 逐渐升高
C: 不变
D: 无法确定
答案: 【 逐渐升高】
7、单选题:

选项:
A: > 0
B: = 0
C: < 0
D: 无法确定
答案: 【 = 0 】
8、单选题:
下列各摩尔反应焓中,属于摩尔生成焓的是( )。
选项:
A: 
B: 
C: 
D: 
答案: 【
】
9、单选题:

选项:
A: 
B: 
C: 
D: 无法确定
答案: 【
】
10、单选题:

选项:
A: > 0
B: = 0
C: < 0
D: 无法确定
答案: 【 > 0 】
11、单选题:
理想气体经节流膨胀过程后( )。
选项:
A: 温度升高
B: 温度降低
C: 温度不变
D: 无法确定
答案: 【 温度不变】
12、单选题:
真实气体经节流膨胀过程后( )。
选项:
A: 温度升高
B: 温度降低
C: 温度不变
D: 无法确定
答案: 【 无法确定】
13、单选题:

选项:
A: > 0
B: = 0
C: < 0
D: 无法确定
答案: 【 > 0 】
14、单选题:

选项:
A: > 0
B: = 0
C: < 0
D: 无法确定
答案: 【 = 0 】
15、单选题:

选项:
A: > 0
B: = 0
C: < 0
D: 无法确定
答案: 【 > 0 】
16、单选题:

选项:
A: 理想气体绝热不可逆过程
B: 实际气体绝热可逆过程
C: 理想气体绝热可逆过程
D: 实际气体绝热不可逆过程
答案: 【 理想气体绝热可逆过程】
17、单选题:
功和热( ) 。
选项:
A: 都是途径函数,无确定的变化途径就无确定的数值
B: 都是途径函数,对应某一状态都有确定的数值
C: 都是状态函数,变化量与途径无关
D: 都是状态函数,始终态确定,其数值也确定
答案: 【 都是途径函数,无确定的变化途径就无确定的数值】
18、单选题:

选项:
A: > 0,无法确定
B: = 0,无法确定
C: = 0,> 0
D: = 0,< 0
答案: 【 = 0,无法确定】
19、单选题:
封闭系统经一恒压过程后,其与环境交换的热( )。
选项:
A: 应等于此过程的热力学能变
B: 应等于此过程的焓变
C: 应等于系统的焓值
D: 条件不足,无法判断
答案: 【 条件不足,无法判断】
20、单选题:

选项:
A: 
B: 
C: 
D: 无法计算
答案: 【
】
21、单选题:

选项:
A: 0
B: 10.13 kJ
C: – 10.13 kJ
D: 数据不足,无法计算
答案: 【 10.13 kJ】
1、判断题:
系统经历一个不可逆过程,其熵变ΔS一定大于0。
选项:
A: 正确
B: 错误
答案: 【 错误】
1、单选题:
下列说法中正确的是( )。
选项:
A: 系统经历可逆过程其熵值在不变;
B: 系统处于平衡状态时的熵值最大;
C: 隔离系统的熵值是守恒的;
D: 如果系统发生一恒熵过程,则该过程必为绝热可逆过程。
答案: 【 如果系统发生一恒熵过程,则该过程必为绝热可逆过程。】
1、单选题:
绝热刚性系统中有一个刚性隔板,隔板左侧是101.325 kPa的空气,右侧抽成真空。现抽去隔板,空气充满整个系统,此过程的DS( )0。
选项:
A: >
B: =
C: <
D: ≥
答案: 【 >】
1、单选题:
某理想气体经历一节流膨胀过程,过程的DS( )0。
选项:
A: >
B: =
C: <
D: ≥
答案: 【 >】
1、判断题:
克劳修斯-克拉佩龙方程适用于所有相变化过程。
选项:
A: 正确
B: 错误
答案: 【 错误】
1、单选题:
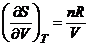
对于理想气体,下列偏导数中大于0的是( )。
选项:
A: 
B: 
C: 
D: 
答案: 【
】
1、单选题:
根据热力学第二定律可知( )。
选项:
A: 功、热可以完全相互转换;
B: 功、热都不能完全相互转换;
C: 功可以完全转换为热,热不能完全转换为功;
D: 功不能完全转换为热,热可以完全转换为功。
答案: 【 功可以完全转换为热,热不能完全转换为功;】
2、单选题:
某系统与300 K的大热源接触而经历一个不可逆循环,系统从环境得到10 kJ的功,则系统与环境交换的热Q = ( ) kJ。
选项:
A: 10
B: -10
C: 0
D: 33.3
答案: 【 -10】
3、单选题:
对于真实气体的卡诺循环过程,下列热力学量中( )不为零。
选项:
A: DU
B: DH
C: DS
D: W
答案: 【 W】
4、单选题:
下列关于熵的叙述,不正确的是( )。
选项:
A: 对任意封闭系统,平衡态对应于熵最大的状态;
B: 绝热封闭系统达平衡时其熵最大;
C: 隔离系统的熵从不减少;
D: 熵是状态函数。
答案: 【 对任意封闭系统,平衡态对应于熵最大的状态;】
5、单选题:
某封闭系统系统经历一个绝热循环过程,则系统对环境所作的功W( )0。
选项:
A: >
B: =
C: <
D: ≤
答案: 【 =】
6、单选题:
某封闭系统发生一个不可逆循环过程,其DG( )0。
选项:
A: >
B: =
C: <
D: ≥
答案: 【 =】
7、单选题:
隔离系统发生下述( )过程时,DU=0且DS=0。
选项:
A: 任何
B: 恒温
C: 可逆
D: 不可逆
答案: 【 可逆】
8、单选题:
常温、101.325 kPa下,将等物质的量的N2和H2在带有活塞的气缸中恒压混合,再经绝热可逆压缩使体积变为原来的一半,则整个过程的DS( )。
选项:
A: >0
B: =0
C: <0
D: 无法确定
答案: 【 >0】
9、单选题:
在恒温条件下,将n,T,V相同的氧气与氮气混合,终态体积依然为V,则此过程系统的熵变DS =( )。设气体均为理想气体。
选项:
A: 0
B: -nRln2
C: nRln2
D: 2nRln2
答案: 【 0】
10、单选题:
恒温、恒压条件下过冷水凝固为冰,此过程DG( )。
选项:
A: >0
B: =0
C: <0
D: 无法确定
答案: 【 <0】
11、单选题:
100℃下,将1 mol始态为100℃、101.325 kPa的液体水,在真空密闭刚性容器中完全蒸发为100℃、101.325 kPa水蒸气,过程的DG( )。
选项:
A: >0
B: =0
C: <0
D: 无法确定
答案: 【 =0】
12、单选题:
100℃下,将1 mol始态为100℃、101.325 kPa的液体水,在真空密闭刚性容器中完全蒸发为100℃、101.325 kPa水蒸气,过程的DS( )。
选项:
A: >0
B: =0
C: <0
D: 无法确定
答案: 【 >0】
13、单选题:
100℃下,将1 mol始态为100℃、101.325 kPa的液体水,在真空密闭刚性容器中完全蒸发为100℃、101.325 kPa水蒸气,则此过程的DA( )。
选项:
A: >0
B: =0
C: <0
D: 无法确定
答案: 【 <0】
14、单选题:
恒温、恒压、反应进度为1 mol时,化学反应系统的DrSm =( )。
选项:
A: 
B: 
C: 
D: 0
答案: 【
】
15、单选题:

选项:
A: >
B: =
C: <
D: ≤
答案: 【 <】
16、单选题:
某绝热密闭刚性容器中,某一化学反应发生后,容器内的温度升高,压力增大,则此过程的DU( )。
选项:
A: >0
B: =0
C: <0
D: 无法确定
答案: 【 =0】
17、单选题:

选项:
A: 增大
B: 减小
C: 不变
D: 增大或者不变
答案: 【 增大】
18、单选题:

选项:
A: 增大
B: 减小
C: 不变
D: 增大或不变
答案: 【 不变】
19、单选题:

选项:
A: >
B: =
C: <
D: 无法确定
答案: 【 <】
20、单选题:
对于理想气体,下列关系式中正确的是( )。
选项:
A: 
B: 
C: 
D: 
答案: 【
】
21、单选题:

选项:
A: –V/ T
B: 
C: –Cp/ p
D: 
答案: 【
】
22、单选题:
加压的CO2气体快速通过节流阀而膨胀,若该过程可视为绝热,则过程DS( )0。
选项:
A: >
B: =
C: <
D: ≤
答案: 【 >】
23、单选题:
理想气体节流膨胀过程中DU( )0。
选项:
A: >
B: =
C: <
D: ≤
答案: 【 =】
24、单选题:
某液体的正常沸点为110℃,该温度下的摩尔蒸发焓为33.38 kJ×mol-1。则该液体在80℃时的饱和蒸气压为( )kPa。设蒸气可视为理想气体,液相的体积相对于气相体积可以忽略不计,摩尔蒸发焓为常数。
选项:
A: 41.6
B: 101.325
C: 34.04
D: 0.000116
答案: 【 41.6】
25、单选题:
某纯物质处于气、液平衡,若其气化焓DvapHm>0,则温度升高时其平衡压力( )。
选项:
A: 减小
B: 不变
C: 增大
D: 减小或不变
答案: 【 增大】
26、单选题:

选项:
A: 上升
B: 下降
C: 不变
D: 先上升后下降
答案: 【 下降】
备案号:冀ICP备20010840号 2020-2099辉辉网络科技 All Rights Reserved