

1、单选题:
热是一种 ( )
选项:
A: 无质量物质
B: 有质量物质
C: 运动形态
D: 无法确定
答案: 【 运动形态】
2、单选题:
以下哪项内容不属于热力学研究内容()
选项:
A: 热力学基本定律
B: 流体状态函数计算
C: 化学反应速度
D: 过程能量计算
答案: 【 化学反应速度】
3、单选题:
热力学第三定律表述为:在热力学温度为()时,一切完美晶体熵值为零。
选项:
A: 0 ℃
B: 绝对0 K
C: 273 K
D: 晶体熔点
答案: 【 绝对0 K】
4、单选题:
范德华方程与R-K方程均是常见立方型方程,对于摩尔体积V存在三个实根或者一个实根,当存在三个实根时,最大V值是()。
选项:
A: 饱和液体体积
B: 饱和蒸汽体积
C: 无物理意义
D: 饱和液体与饱和蒸汽混合体积
答案: 【 饱和蒸汽体积】
5、单选题:
超临界流体是下列温度和压力满足( )条件下存在的物质。
选项:
A: 高于Tc和高于Pc。
B: 高于Tc,但低于Pc。
C: 低于Tc,但高于Pc。
D: 正好等于Tc和Pc。
答案: 【 高于Tc和高于Pc。】
6、单选题:
建立状态方程意义和作用,以下叙述不正确的是( )。
选项:
A: 可以解决由于实验P-V-T数据有限无法全面了解流体P-V-T行为问题
B: 可以解决实验P-V-T数据精确度不高问题
C: 可以从容易获得物性数据(P, V, T, x)来推算较难测定数据(H, U, S, G)
D: 可以解决由于P-V-T实验数据离散不便于求导和积分,无法获得实验数据点以外P-V-T问题。
答案: 【 可以解决实验P-V-T数据精确度不高问题】
7、单选题:
T温度下某过热蒸汽压强P( )
选项:
A: 大于T下饱和蒸汽压
B: 小于T下饱和蒸汽压
C: 等于T下饱和蒸汽压
D: 根据具体物质确定
答案: 【 小于T下饱和蒸汽压】
8、单选题:
维里方程中第二维里系数B代表()
选项:
A: 温度影响
B: 两个分子之间相互作用对于理想性的偏差
C: 分子体积
D: 分子形状
答案: 【 两个分子之间相互作用对于理想性的偏差】
9、单选题:
纯流体在一定温度下,如压力高于该温度下饱和蒸汽压,则此物质状态为( )。
选项:
A: 气相状态
B: 超临界状态
C: 液相状态
D: 不能确定,需要根据具体数据计算。
答案: 【 液相状态】
10、判断题:
纯物质饱和液体摩尔体积随着温度升高而增大,饱和蒸汽摩尔体积随着温度升高而减小。
选项:
A: 正确
B: 错误
答案: 【 正确】
11、判断题:
纯物质由蒸汽变为液体必须经历冷凝的相变化过程。
选项:
A: 正确
B: 错误
答案: 【 错误】
12、判断题:
根据热力学第一定律,能量守恒,因此功能全部转化为热,热也能完全转化为功。
选项:
A: 正确
B: 错误
答案: 【 错误】
13、判断题:
统计热力学又被称为分子热力学,既要研究分子内作用力,又要研究分子间作用力。
选项:
A: 正确
B: 错误
答案: 【 正确】
14、判断题:
对于某个流体,RK方程和van der Waals方程中参数a和b一样。
选项:
A: 正确
B: 错误
答案: 【 错误】
15、判断题:
临界温度和临界压力定义分别是气体加压液化时所允许最高温度和最高压力。
选项:
A: 正确
B: 错误
答案: 【 错误】
16、判断题:
通过修正理想气体行为可以研究真实流体热力学性质。
选项:
A: 正确
B: 错误
答案: 【 正确】
17、判断题:
纯物质P-V图临界等温线在临界点处斜率和曲率都等于1。
选项:
A: 正确
B: 错误
答案: 【 错误】
1、单选题:
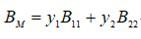
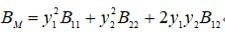
维里方程被用于二元混合物时,第二维里系数B混合规则为 ( )。
选项:
A: 
B: 
C: 
D: 
答案: 【
】
2、单选题:
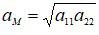
RK方程被用于二元混合物时,RK常数a 混合规则为 ( )。
选项:
A: 
B: 
C: 
D: 
答案: 【
】
3、单选题:
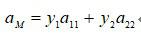
RK方程被用于二元混合物时,RK常数b混合规则为 ( )。
选项:
A: 
B: 
C: 
D: 
答案: 【
】
4、单选题:
计算混合物临界参数时,Kay规则适用于 ( )。
选项:
A: 维里方程
B: RK方程
C: RKS方程
D: Pitzer三参数压缩因子图
答案: 【 Pitzer三参数压缩因子图】
5、单选题:
偏心因子表征了分子 ( )。
选项:
A: 极性
B: 形状
C: 挥发程度
D: 体积
答案: 【 形状】
6、单选题:
Pitzer提出的由偏心因子ω计算第二维里系数普遍化关系式是 ( )。
选项:
A: 
B: 
C: 
D: 
答案: 【
】
7、单选题:
混合气体第二维里系数是 的函数。
选项:
A: T和P
B: 仅为T
C: T和组成
D: P和组成
答案: 【 T和组成】
8、单选题:
普遍化第二维里系数和Pitzer三参数压缩因子图适用范围不同,其中普遍化第二维里系数适用条件为Vr ( )。
选项:
A: 大于或等于2
B: 小于2
C: 大于2
D: 与偏心因子有关
答案: 【 大于或等于2】
9、单选题:
Lydersen三参数压缩因子图,以 为第三参数。
选项:
A: 偏心因子
B: 压缩因子
C: 临界压缩因子
D: 对比温度
答案: 【 临界压缩因子】
10、单选题:
所谓普遍化状态方程,则用对比参数代替方程中变量T、P和V,消去状态方程中 ( ),适用于任何气体状态方程。
选项:
A: 压缩因子
B: 对比温度
C: 偏心因子
D: 气体特性常数
答案: 【 气体特性常数】
11、单选题:
我国学者提出的,在合成氨等工程设计中得到广泛使用的状态方程是( )。
选项:
A: 马丁-侯方程
B: BWR方程
C: BWRS方程
D: PR方程
答案: 【 马丁-侯方程】
12、判断题:
著名的马丁-侯方程适用于氨、水等强极性流体,但不适合量子气体。
选项:
A: 正确
B: 错误
答案: 【 错误】
13、判断题:
在使用立方型状态方程计算混合流体P-V-T关系时,需要先使用kay规则计算混合物临界参数,并进一步计算方程参数a和b。
选项:
A: 正确
B: 错误
答案: 【 错误】
14、判断题:
两参数压缩因子图仅适用于简单球形流体,为了提高其计算精度,引入第三参数。
选项:
A: 正确
B: 错误
答案: 【 正确】
15、判断题:
通过将立方型状态方程普遍化可以求出不同方程对应的临界压缩因子。
选项:
A: 正确
B: 错误
答案: 【 正确】
16、判断题:
计算混合流体P-V-T关系时,通常采用经验混合规则,因此不同状态方程有不同混合规则,但同一个状态方程仅有一种混合规则。
选项:
A: 正确
B: 错误
答案: 【 错误】
17、判断题:
压缩液体体积常从饱和液体体积(或密度)出发,通过进一步计算其比值或差值而获得。
选项:
A: 正确
B: 错误
答案: 【 正确】
18、判断题:
所有物质偏心因子均大于0。
选项:
A: 正确
B: 错误
答案: 【 错误】
19、判断题:
为了提高简单对比态原理计算精度,提出了三参数对比态原理,所提出第三参数有两种,它们是偏心因子和压缩因子。
选项:
A: 正确
B: 错误
答案: 【 错误】
20、判断题:
常用液体P-V-T关系包括两大类,分别是饱和液体和过冷液体。
选项:
A: 正确
B: 错误
答案: 【 正确】
21、判断题:
所谓混合规则,是将状态方程中常数项表示为混合物组成和纯物质参数项的函数关系。
选项:
A: 正确
B: 错误
答案: 【 正确】
1、单选题:
剩余
的念是表示同温同压下( )的差别。
选项:
A: 真实溶液与理想溶液
B: 真实气体与理想气体
C: 真实流体与理想气体
D: 真实溶液与真实气体
答案: 【 真实流体与理想气体】
2、单选题:
对单位质量、定组成均相流体体系,在非流动条件下,错误的热力学基本关系式是( )。
选项:
A: dH = TdS + Vdp
B: dU = SdT–pdV
C: dG = -SdT + Vdp
D: dA = -SdT–pdV
答案: 【 dU = SdT–pdV】
3、单选题:
利用麦克斯韦关系式,其目的是将难测( )与易测( )联系起来。
选项:
A: H,U,S,G; x, y
B: S;P, V, T
C: H, U, S, G; P, V, T
D: S; x, y
答案: 【 S;P, V, T 】
4、单选题:
对于dG=-SdT+VdP等热力学基本方程,说法错误的是( )。
选项:
A: 能用被于气体,也能被用于液体或固相。
B: 只能被用于可逆过程,不能被用于不可逆过程。
C: 既可被用于可逆过程,又可被用于不可逆过程。
D: 既被用于均相系统,也可被用于非均相系统。
答案: 【 只能被用于可逆过程,不能被用于不可逆过程。】
5、单选题:
选项:
A: 大于零
B: 小于零
C: 等于零
D: 无法确定
答案: 【 大于零】
6、单选题:
根据剩余性质概念,当P→0时,实际气体
为( )
选项:
A: 大于零
B: 等于零
C: 小于零
D: 无法确定
答案: 【 等于零】
7、单选题:

选项:
A: 0
B: 
C: 
D: 无法确定
答案: 【
】
8、单选题:
热力学基本关系式dH=TdS+Vdp适用条件是( )。
选项:
A: 敞开系统
B: 封闭系统
C: 理想气体
D: 理想混合物
答案: 【 封闭系统】
9、单选题:
等压条件下,熵随温度变化可以用( )来表示。
选项:
A: 体积
B: 定容热容
C: 定压热容
D: 摩尔体积
答案: 【 定压热容】
10、判断题:
理想气体热力学性质都只是温度的函数。( )
选项:
A: 正确
B: 错误
答案: 【 错误】
11、判断题:
dU=TdS-PdV只能被用在恒质量体系可逆过程,不可逆过程不适用。( )
选项:
A: 正确
B: 错误
答案: 【 错误】
12、判断题:
某气体在由5 MPa、100 ℃状态到0.1 MPa、100 ℃状态变化中性质变化ΔS就是剩余熵(  
备案号:冀ICP备20010840号 2020-2099辉辉网络科技 All Rights Reserved