

1、单选题:
以下说法中错误的是( )
选项:
A: 理论力学是研究物体机械运动一般规律的科学。
B: 理论力学与物理中力学部分的主要区别在于理论力学的研究对象和研究方法更加面向工程实际。
C: 刚体是理论力学中的重要概念,理论力学的研究对象只能是刚体。
D: 静力学五个公理是导出静力学中其他定理和定律的基础。
答案: 【 刚体是理论力学中的重要概念,理论力学的研究对象只能是刚体。】
2、单选题:
以下关于加减平衡力系原理及其推论的说法中,错误的是( )
选项:
A: 在已知力系上加上或减去任意一个或几个平衡力系,并不改变原力系对刚体的作用。
B: 力的可传性是指作用于刚体上的力,可以沿着它的作用线移到刚体内任意一点,并不改变该力对刚体的作用。
C: 作用在刚体上的力实质上是一个滑动矢量。
D: 由三力平衡汇交定理可知,一个刚体如果仅受三个力的作用,若刚体保持平衡的话,则三个力的作用线必相交于一点,并且这三个力位于同一平面上。
答案: 【 由三力平衡汇交定理可知,一个刚体如果仅受三个力的作用,若刚体保持平衡的话,则三个力的作用线必相交于一点,并且这三个力位于同一平面上。】
3、单选题:
以下关于静力学中的约束概念的说法中,正确的是( )
选项:
A: 约束就是对被约束物体的限制,它可以是一个物体,也可以是一个条件。
B: 所谓理想约束是指约束中只有理想约束力的约束。
C: 物体的真实运动起决于作用在物体上的主动力。
D: 主动力是指那些能够使物体产生运动或运动趋势的力,比如重力、载荷力等等。
答案: 【 主动力是指那些能够使物体产生运动或运动趋势的力,比如重力、载荷力等等。】
4、单选题:
以下关于铰链约束的说法中,正确的是( )
选项:
A: 光滑铰链约束类型中包含径向轴承、光滑圆柱铰链、固定铰支座、光滑球铰链等。
B: 光滑铰链约束和光滑球铰链约束本质上都是光滑接触约束,约束力其实只有一个。
C: 光滑圆柱铰链中,销钉所串起来的两个构件它们所受到的约束力是一对作用力和反作用力,如果表示成正交分量的形式,则是两对作用力和反作用力。
D: 光滑铰链、球铰链、止推轴承这几种工程中的常见约束,虽然约束力可以用两个或者三个正交分力表示,但约束力本质上都是一个力。
答案: 【 光滑铰链约束和光滑球铰链约束本质上都是光滑接触约束,约束力其实只有一个。】
5、单选题:
以下关于工程中的常见约束的说法中,错误的是( )
选项:
A: 链条约束与皮带约束类似,约束力只能沿着链条的方向背离被约束的物体。
B: 滚动支座约束中,构件受到垂直于光滑面的支持力,约束结构的特点决定了其约束力的方向只能是垂直于接触面指向被约束物体。
C: 控制门或者窗户开关的合页(蝶铰链)可以视作是一个光滑圆柱铰链约束。
D: 绝对的理想约束在实际工程中是不存在的。
答案: 【 滚动支座约束中,构件受到垂直于光滑面的支持力,约束结构的特点决定了其约束力的方向只能是垂直于接触面指向被约束物体。】
1、单选题:
如图所示结构中,不计各杆的自重,请问AB杆的受力,画法正确的是哪一个()。


选项:
A: 
B: 
C: 
D: 
答案: 【
】
2、单选题:
如图所示结构中,不计各杆的自重,请问整体结构的受力,画法正确的是哪一个( )。

选项:
A: 
B: 
C: 
D: 
答案: 【
】
3、多选题:
图示结构中,F1作用在D点的销钉上, 请问CD的受力图画法正确的是()。

选项:
A: D点不带销钉:
B: D点不带销钉:
C: D点连着销钉:
D: D点连着销钉:
答案: 【 D点不带销钉:
;
D点连着销钉:
】
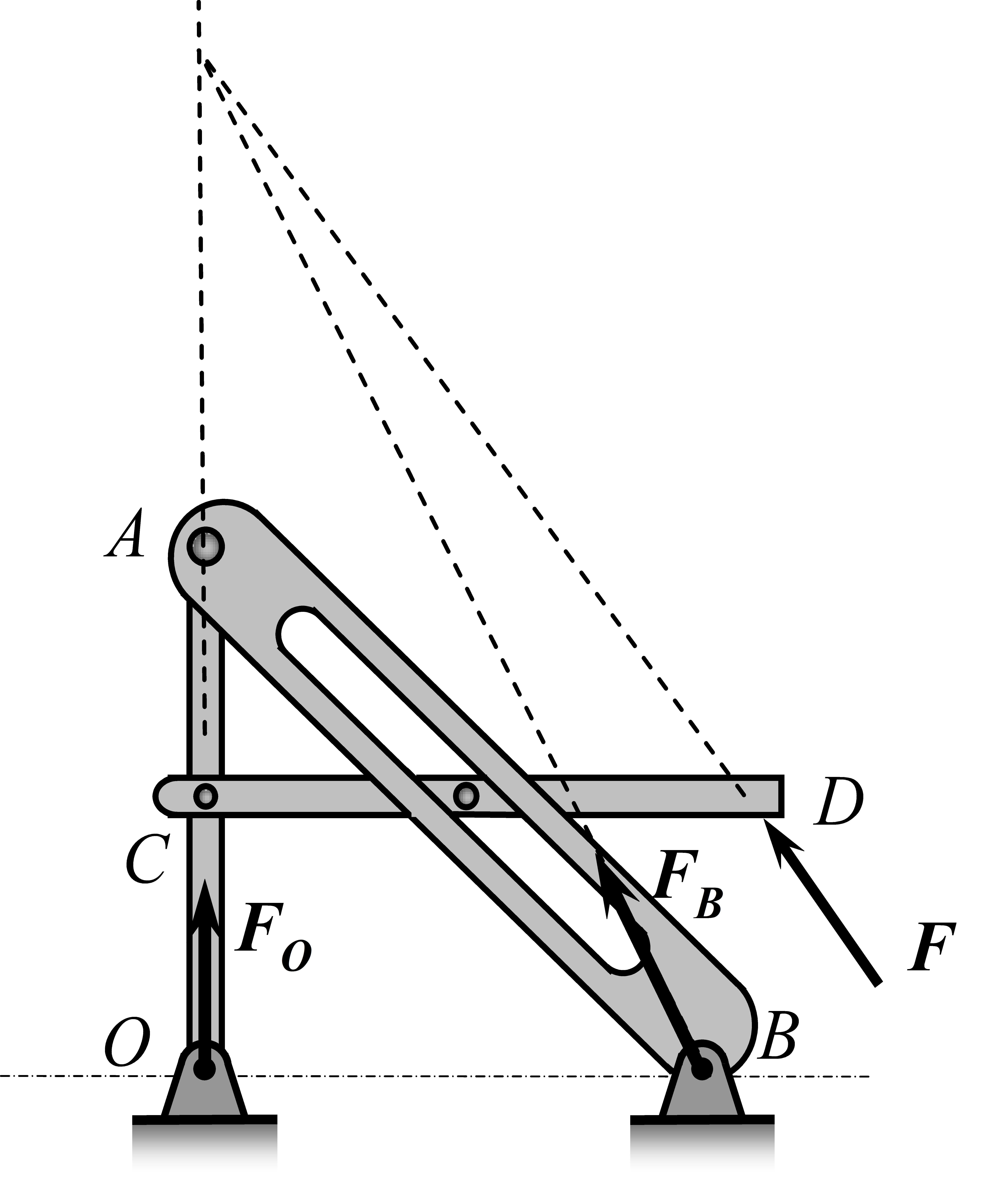
4、多选题:
图示结构中, AB杆的受力图画法正确的是()。

选项:
A: 不考虑CB杆的受力情况,单独考虑AB杆,不带销钉:
B: 不考虑CB杆的受力情况,单独考虑AB杆,不带销钉:
C: 不考虑CB杆的受力情况,单独考虑AB杆,连着销钉:
D: 考虑CB杆的受力情况,分析AB杆,连着销钉:
答案: 【 不考虑CB杆的受力情况,单独考虑AB杆,不带销钉:
;
不考虑CB杆的受力情况,单独考虑AB杆,连着销钉:
;
考虑CB杆的受力情况,分析AB杆,连着销钉:
】
1、单选题:
图示系统无摩擦,球重为P,三角木块重量不计,挡板G高度为h。为使系统处于平衡,下述说法正确的是 ( )

选项:
A: 能使系统平衡的h值是唯一的。
B: 任意h值都能使系统平衡。
C: 无论h取何值,系统均不能平衡。
D: 只要h值在某范围内,系统就处于平衡。
答案: 【 只要h值在某范围内,系统就处于平衡。】
2、单选题:
图示系统AB杆与铅直线夹角为θ,AB为均质杆,圆销C是固定的,无摩擦。下述说法正确的是( )

选项:
A: 能使AB杆平衡的θ值是唯一的。
B: 能使AB杆平衡的θ值不是唯一的,而是在某一个范围。
C: 任何θ值都不能使AB杆平衡。
D: 只要AB杆我的重心在销子C的外侧(即在BC之间),则任意小于90度的θ值都能使AB杆平衡。
答案: 【 能使AB杆平衡的θ值是唯一的。】
3、多选题:
图中各物块自重及摩擦均不计,物块受力偶作用,其力偶矩的大小皆为M,方向如图。则关于A、B两点约束力的大小和方向说法中正确的是( ).

选项:
A: FA和 FB一定皆为0,不存在方向的问题。
B: 力偶必须由力偶平衡,故FA和FB必等值、反向形成力偶矩不为0的力偶。
C: FA和FB必等值、反向、共线。
D: FA和FB的大小不为0。
答案: 【 FA和FB必等值、反向、共线。;
FA和FB的大小不为0。】
1、单选题:
机起落架尺寸如图所示(单位mm),A、B、C均为铰接,杆OA垂直于A、B连线。当飞机等速直线滑行时,地面作用于轮上有铅直正压力FN=30kN,水平摩擦力FS=5kN,滚动摩擦力偶M=2kN·m,各杆自重不计。则杆BC的受力大小为()。

选项:
A: 22.4kN,受压力.
B: 10.9kN,受压力.
C: 27.2kN, 受压力.
D: 6.1kN,受压力.
答案: 【 10.9kN,受压力.】
2、多选题:
图中物块及各杆重量不计,物块厚度不计,无摩擦,各图中1, 2两杆平行,则关于各图中1、2、3杆的受力分析中说法正确的是( )。

选项:
A: 图(a)中1、2杆受拉力,3杆受压力。
B: 图(b)中1杆受拉力,2杆受压力,3杆受压力。
C: 图(c)中1杆受拉力,2杆受压力,3杆不受力。
D: 图(d)中1杆受拉力,2杆受压力,3杆受拉力。
答案: 【 图(c)中1杆受拉力,2杆受压力,3杆不受力。;
图(d)中1杆受拉力,2杆受压力,3杆受拉力。】
1、单选题:
如图所示,用三根杆连接成一构件,各连接点均为铰链,B处接触表面光滑,不计各杆的重量。图中尺寸单位为m。则铰链D处所受到的力为( ).

选项:
A: 67.1kN
B: 56.2kN
C: 84kN
D: 72.8kN
答案: 【 67.1kN】
2、单选题:
图示结构位于铅垂面内,由杆AB、CD及斜T形杆BCE组成,不计各杆自重。已知载荷F和M,及尺寸a。则固定端A处的约束力为().

选项:
A: FAx= F-M/2a, FAy=2F-M/2a,MA=2Fa-M/2
B: FAx=F-M/2a, FAy=2F-M/2a
C: FAx=2F-M/2a, FAy=F-M/2a
D: FAx=2F-M/2a, FAy=F-M/2a,MA=Fa-M/2
答案: 【 FAx=2F-M/2a, FAy=F-M/2a,MA=Fa-M/2】
3、单选题:
平面悬臂桁架所受载荷如图所示。则1、2、3杆的内力为().

选项:
A: F1=-5.33F(受压),F2=2F(受拉),F3=-1.67F(受压)
B: F1=-3.55F(受压),F2=2F(受拉),F3=-3.33F(受压)
C: F1=-3.55F(受压),F2=1.67(受拉),F3=-1.11F(受压)
D: F1=-3.55F(受压),F2=1.67(受拉),F3=-3.33F(受压)
答案: 【 F1=-3.55F(受压),F2=1.67(受拉),F3=-1.11F(受压)】
1、单选题:
图示六杆支撑一水平板ABCD,在板角D处受向上铅直力P作用。求各杆的内力(并标出是拉力还是压力),设板和杆的自重不计,答案正确的是()

选项:
A: F1=-P (受拉),F3=P(受压), F5=-P (受拉), F2=F4=F6=0
B: F1=P (受压),F3=P(受压), F5=-P (受拉), F2=F4=F6=0
C: F1=-P (受拉),F3=P(受压), F2=F4= F5=F6=0
D: F1=-P (受拉),F5=-P (受拉), F2= F3=F4= F6=0
答案: 【 F1=-P (受拉),F3=P(受压), F5=-P (受拉), F2=F4=F6=0】
2、单选题:
均质块尺寸如图,其重心位置为()

选项:
A: xC=21.72mm, yC=40.69mm, zC=-23.62mm
B: xC=23.61mm, yC=42.83mm, zC=-22.62mm
C: xC=20.03mm, yC=39.35mm, zC=-24.57mm
D: xC=25.75mm, yC=41.95mm, zC=-21.54mm
答案: 【 xC=21.72mm, yC=40.69mm, zC=-23.62mm】
3、多选题:
如图所示的正方体上A点作用一个力F,沿棱方向。 以下关于力系的简化说法中正确的是()

选项:
A: 能在B、C两处各加上一个不为零的力,使力系向A点简化的主矩为零。
B: 能在C点加上一个不为零的力,使力系向B点简化的主矢为零。
C: 能在B、C两处各加上一个不为零的力,使力系平衡。
D: 在任何一点加上力螺旋都不能使力系平衡。
E: 能在B、C两处各加上一个力偶,使力系平衡。
F: 能在B点加上一个力,在C处各加上一个力偶,使力系平衡。
答案: 【 能在B、C两处各加上一个不为零的力,使力系向A点简化的主矩为零。;
能在C点加上一个不为零的力,使力系向B点简化的主矢为零。;
在任何一点加上力螺旋都不能使力系平衡。;
能在B点加上一个力,在C处各加上一个力偶,使力系平衡。】
4、多选题:
下列关于空间力系的说法中,正确的是()
选项:
A: 力系向A点简化得到一个主矢,向B点简化仅得到一个主矩,这是有可能的。
B: 力系向A点简化得到一个主矢和一个主矩,而向B点简化仅得到一个力是有可能的。
C: 力系向A点简化得到一个主矢和一个主矩,而向B点简化也有可能仅得到一个力偶。
D: 力系向A点简化得到一个力螺旋,而向B点简化可能仅得到一个力。
E: 任意空间力系总可以用两个力来与之等效。
答案: 【 力系向A点简化得到一个主矢和一个主矩,而向B点简化仅得到一个力是有可能的。;
任意空间力系总可以用两个力来与之等效。】
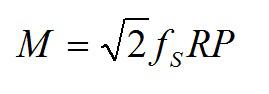
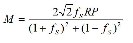
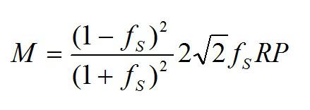
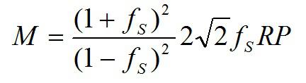
1、单选题:
如图在V型槽中放一重为P的圆柱,摩擦系数为fS,圆柱半径为R。欲使圆柱转动,在上面加上一个矩为M的力偶,力偶矩最小为()。

选项:
A: 
B: 
C: 
D: 
答案: 【
】
2、单选题:
均质长板AD重为P,长4m,用一短板BC支撑,如图所示。若AC=BC=3m,AB=1.55m,BC板的自重不计。A、B、C处摩擦角各为多大才能使之平衡()。

选项:
A: A处16º6’,B处30º,C处60º
B: A处16º6’,B处15º,C处60º
C: A处7º38’,B处15º,C处60º
D: A处8º26’,B处15º,C处60º
答案: 【 A处7º38’,B处15º,C处60º】
3、单选题:
如图所示,在搬运重物时,常在板下面垫以滚子。已知重物重量为P=10kN,滚子重量P1=P2=0.1kN,半径为r=0.3m,滚子与重物间的滚阻系数为δ1=2mm,与地面间的滚阻系数为δ2=5mm,则拉动重物时水平力F
备案号:冀ICP备20010840号 2020-2099辉辉网络科技 All Rights Reserved