

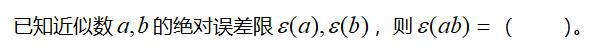
1、单选题:

选项:
A: 
B: 
C: 
D: 
答案: 【
】
2、单选题:
3.142和3.141分别作为π的近似数具有( )位有效数字。
选项:
A: 4和3
B: 3和2
C: 3和4
D: 4和4
答案: 【 4和3】
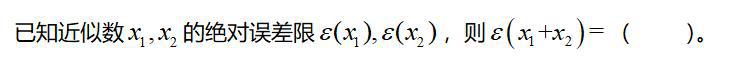
3、单选题:

选项:
A: 
B: 
C: 
D: 
答案: 【
】
4、单选题:

选项:
A: 
B: 
C: 
D: 
答案: 【
】
5、单选题:
舍入误差是( )产生的误差。
选项:
A: 只取有限位数
B: 模型准确值与用数值方法求得的准确值
C: 观察与测量
D: 数学模型准确值与实际值
答案: 【 只取有限位数】
6、单选题:

选项:
A: 模型误差
B: 观测误差
C: 截断误差
D: 舍入误差
答案: 【 截断误差】
7、单选题:

选项:
A: 
B: 
C: 
D: 
答案: 【
】
8、单选题:
( )的3位有效数字是0.236×10²。
选项:
A: 0.0023549×10³
B: 235.54×10ˉ¹
C: 235.418
D: 2354.82×10ˉ²
答案: 【 235.54×10ˉ¹】
9、单选题:

选项:
A: 
B: 
C: 
D: 
答案: 【
】
10、多选题:
数值计算方法的计算对象是( )
选项:
A: 有精确计算公式而无法用手工计算的数学问题
B: 理论上无解的数学问题
C: 理论上有解而无计算公式的数学问题
D: 根据实际问题建立的数学模型
答案: 【 有精确计算公式而无法用手工计算的数学问题;
理论上有解而无计算公式的数学问题】
11、多选题:
为了减少和控制误差,在构造算法时,通常要注意哪些原则( )
选项:
A: 避免大数吃掉小数
B: 避免两个相近的数相减
C: 避免小分母
D: 选用稳定的算法
答案: 【 避免大数吃掉小数;
避免两个相近的数相减;
避免小分母;
选用稳定的算法】
12、判断题:
计算方法主要研究截断误差和舍入误差。( )
选项:
A: 正确
B: 错误
答案: 【 正确】
13、判断题:

选项:
A: 正确
B: 错误
答案: 【 正确】
14、判断题:

选项:
A: 正确
B: 错误
答案: 【 错误】
15、填空题:
3.141580是π的有( )位有效数字的近似值。
答案: 【 5】
16、填空题:
-873.65000是舍入得到的近似值,它有( )位有效数字。
答案: 【 8】
17、填空题:
近似值x*=0.453关于精确值x=0.4529有( )位有效数字;
答案: 【 3】
1、单选题:
3.1416是π的有( )位有效数字的近似值。
选项:
A: 3
B: 4
C: 5
D: 不确定
答案: 【 5】
2、单选题:
0.001230是舍入得到的近似值,它有( )位有效数字。
选项:
A: 3
B: 4
C: 5
D: 6
答案: 【 4】
1、单选题:
用
近似表示sin(x)所产生的误差是( )误差。
选项:
A: 舍入误差
B: 观测误差
C: 模型误差
D: 截断误差
答案: 【 截断误差】
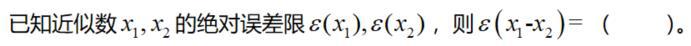
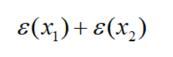
1、单选题:

选项:
A: 
B: 
C: 
D: 
答案: 【
】
1、判断题:

选项:
A: 正确
B: 错误
答案: 【 正确】
1、判断题:
在后续的计算过程中,误差逐步递增的算法是稳定的算法。
选项:
A: 正确
B: 错误
答案: 【 错误】
1、判断题:
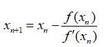
Newton迭代法的基本思想就是把非线性方程线性化,用线性方程的解逐步逼近非线性方程的解。
选项:
A: 正确
B: 错误
答案: 【 正确】
2、填空题:

答案: 【 3】
1、判断题:
非线性方程的求根方法中,正割法收敛速度比Newton迭代法多计算一个函数。
选项:
A: 正确
B: 错误
答案: 【 错误】
1、填空题:

答案: 【 2】
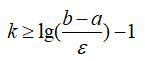
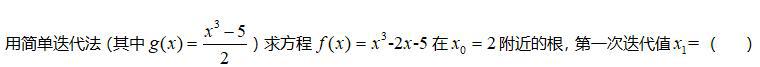
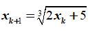
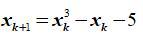
1、单选题:

选项:
A: 
B: 
C: 
D: 
答案: 【
】
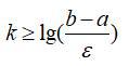
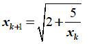
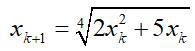
1、单选题:

选项:
A: 
B: 
C: 
D: 
答案: 【 
】
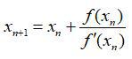
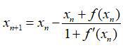
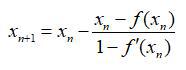
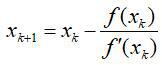
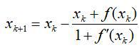
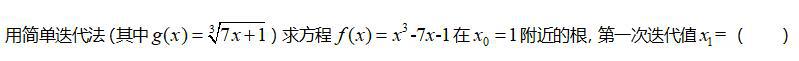
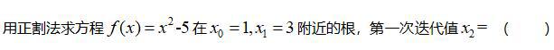
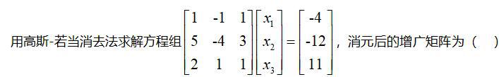
2、单选题:
设f(x)可微,求方程f(x)=0的正割法是( )
选项:
A: 
B: 
C: 
D: 
答案: 【
】
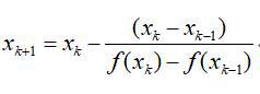
3、单选题:

选项:
A: 0
B: 1
C: 2
D: 3
答案: 【 2】
4、单选题:

选项:
A: 
B: 
C: 
D: 
答案: 【
】
5、单选题:

选项:
A: 0
B: 1
C: 2
D: 3
答案: 【 2】
6、单选题:

选项:
A: y=x与y=g(x)交点的横坐标
B: y=g(x)与x轴交点的横坐标
C: y=x与x轴的交点的横坐标
D: y=x与y=g(x)的交点
答案: 【 y=x与y=g(x)交点的横坐标】
7、单选题:

选项:
A: 超线性
B: 平方
C: 线性
D: 三次
答案: 【 平方】
8、多选题:
以下对非线性方程的求根方法的描述,哪些是不正确的( )
选项:
A: 二分法简单和易操作,收敛性有保证,收敛速度快
B: 不动点迭代法收敛速度快,是超线性收敛
C: Newton迭代法在单根的情况下,收敛速度较快,是平方收敛,如果是重根,则是线性收敛
D: Newton迭代公式中需要求导,可以用正割法避免求导,但需要两个初值。
答案: 【 二分法简单和易操作,收敛性有保证,收敛速度快;
不动点迭代法收敛速度快,是超线性收敛】
9、多选题:
以下对非线性方程的求根方法中哪些是线性收敛的?
选项:
A: 二分法
B: 不动点迭代法
C: Newton迭代法在单根的情况下
D: Newton迭代法在重根的情况下
答案: 【 不动点迭代法;
Newton迭代法在重根的情况下】
10、判断题:
若x*是f(x)=0的重根,则牛顿不收敛。
选项:
A: 正确
B: 错误
答案: 【 错误】
11、判断题:
正割法用 f(x)的值近似求f'(x),避免直接求f'(x) ,从而少算一个函数值。
选项:
A: 正确
B: 错误
答案: 【 正确】
12、判断题:
若f(a)f(b)<0 ,则f(x)在(a,b)内一定有根。
选项:
A: 正确
B: 错误
答案: 【 错误】
13、判断题:
非线性方程的求根方法中,正割法收敛速度比Newton迭代法快。
选项:
A: 正确
B: 错误
答案: 【 错误】
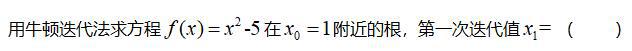
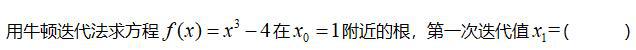
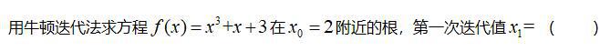
14、填空题:

答案: 【 1】
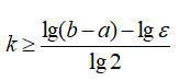
15、填空题:

答案: 【 1.5】
16、填空题:

答案: 【 2】
1、单选题:

选项:
A: 
B: 
C: 
D: 
答案: 【
】
1、单选题:

选项:
A: 
备案号:冀ICP备20010840号 2020-2099辉辉网络科技 All Rights Reserved